Last updated: 6/26/2025
Order On Motion For Alternative Service
Start Your Free Trial $ 14.00What you get:
- Instant access to fillable Microsoft Word or PDF forms.
- Minimize the risk of using outdated forms and eliminate rejected fillings.
- Largest forms database in the USA with more than 80,000 federal, state and agency forms.
- Download, edit, auto-fill multiple forms at once in MS Word using our Forms Workflow Ribbon
- Trusted by 1,000s of Attorneys and Legal Professionals
Description
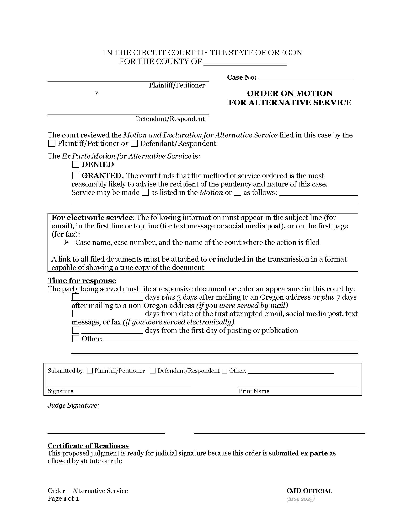
ORDER ON MOTION FOR ALTERNATIVE SERVICE. This form is used by an Oregon circuit court to respond to a party’s request for permission to serve legal documents using alternative methods when traditional service (such as personal delivery or mail) is not possible. This form reflects the court’s decision—either granting or denying the motion—and outlines how service must be carried out if approved. If granted, the order will confirm that the proposed method is the most reasonably likely to notify the other party of the case and may authorize service by email, text message, social media, fax, publication, or posting. The court may also provide specific instructions for how the documents should be labeled and delivered to ensure proper notice. The order sets deadlines by which the party being served must respond or appear in the case, depending on the method of service used. www.FormsWorkflow.com
Related forms
-
Acceptance Of Service
Oregon/Statewide/Circuit Court/Civil -
Affidavit In Support Of Motion Prohibiting Disclosure
Oregon/Statewide/Circuit Court/Civil -
Application For Review Of Waived Or Deferred Fees
Oregon/Statewide/Circuit Court/Civil -
Appointment Of GAL Packet Petitioner vs Respondent
Oregon/Statewide/Circuit Court/Civil -
Appointment Of GAL Packet
Oregon/Statewide/Circuit Court/Civil -
Certificate Of Alternative Service
Oregon/Statewide/Circuit Court/Civil -
Certificate Of Service Mailing
Oregon/Statewide/Circuit Court/Civil -
Certificate Of Service
Oregon/Statewide/Circuit Court/Civil -
Consumer Debt Collection Disclosure
Oregon/Statewide/Circuit Court/Civil -
Declaration Of Non-incapacitated And Non-military Service
Oregon/Statewide/Circuit Court/Civil -
Declaration Of Publication
Oregon/Statewide/Circuit Court/Civil -
Judgment Regarding Deferred Or Waived Fees
Oregon/Statewide/Circuit Court/Civil -
Modification Of GAL Packet
Oregon/Statewide/Circuit Court/Civil -
Modification Of GAL Petitoner vs Respondent
Oregon/Statewide/Circuit Court/Civil -
Motion For Order Prohibiting Disclosure Of Personal Information
Oregon/Statewide/Circuit Court/Civil -
Motion For Streamlined Trial
Oregon/Statewide/Circuit Court/Civil -
Motion To Set Aside Residential Eviction Judgment
Oregon/Statewide/Circuit Court/Civil -
Notice Of Entry Awarding Punitive Damages
Oregon/Statewide/Circuit Court/Civil -
Notice Of Limited Scope Representation
Oregon/Statewide/Circuit Court/Civil -
Notice Of Proposed Judgment Or Order
Oregon/Statewide/Circuit Court/Civil -
Notice Of Termination Of Limited Scope Representation
Oregon/Statewide/Circuit Court/Civil -
Order Prohibiting Disclosure Of Personal Information
Oregon/Statewide/Circuit Court/Civil -
Satisfaction Of Money Award
Oregon/Statewide/Circuit Court/Civil -
Small Claims Declaration Of Non-compliance
Oregon/Statewide/Circuit Court/Civil -
Summons For Service By Publication
Oregon/Statewide/Circuit Court/Civil -
Small Claims Certificate Of Service By Mail
Oregon/Statewide/Circuit Court/Civil -
Small Claim Agreement
Oregon/Statewide/Circuit Court/Civil -
Small Claim Judgment
Oregon/Statewide/Circuit Court/Civil -
Small Claims Motion For Default Judgment
Oregon/Statewide/Circuit Court/Civil -
Residential Eviction Summons
Oregon/Statewide/Circuit Court/Civil -
Residential Eviction General Judgment
Oregon/Statewide/Circuit Court/Civil -
Petition To Remove Discriminatory Provisions From Title
Oregon/Statewide/Circuit Court/Civil -
Small Claims Defendant Response
Oregon/Statewide/Circuit Court/Civil -
Small Claim and Notice
Oregon/Statewide/Circuit Court/Civil -
Residential Eviction Complaint
Oregon/Statewide/Circuit Court/Civil -
Answer To Residential Eviction
Oregon/Statewide/Circuit Court/Civil -
Order On Motion For Alternative Service
Oregon/Statewide/Circuit Court/Civil -
Motion For Alternative Service
Oregon/Statewide/Circuit Court/Civil
Form Preview
Contact Us
Success: Your message was sent.
Thank you!




