Last updated: 11/3/2025
Petition For Registration Of Foreign Adoption Order (And Name Change) {28}
Start Your Free Trial $ 13.99What you get:
- Instant access to fillable Microsoft Word or PDF forms.
- Minimize the risk of using outdated forms and eliminate rejected fillings.
- Largest forms database in the USA with more than 80,000 federal, state and agency forms.
- Download, edit, auto-fill multiple forms at once in MS Word using our Forms Workflow Ribbon
- Trusted by 1,000s of Attorneys and Legal Professionals
Description
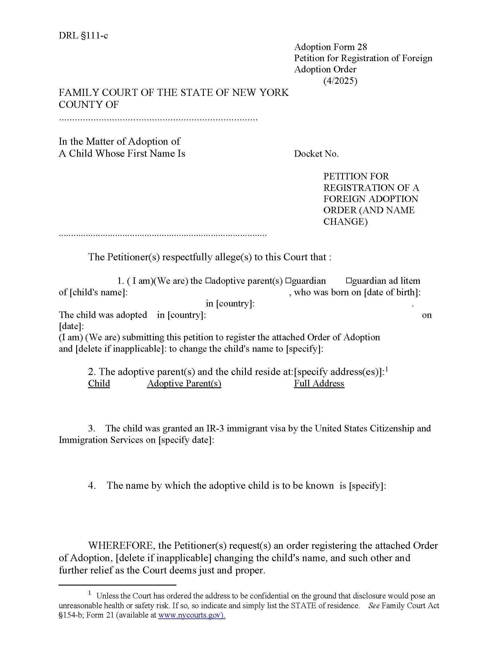
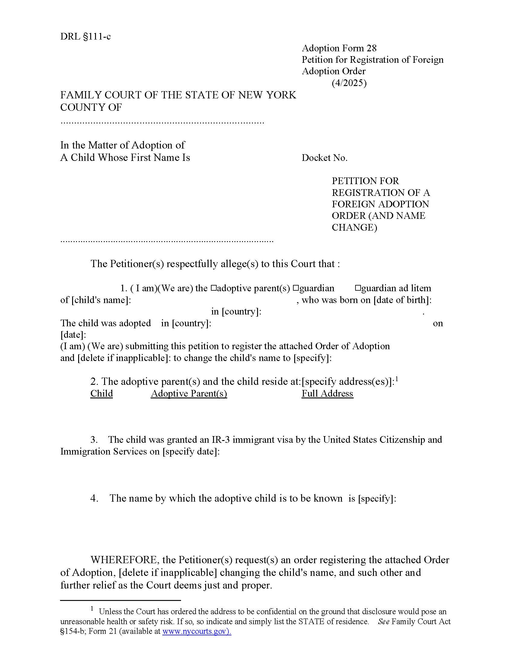
Adoption Form 28 - PETITION FOR REGISTRATION OF A FOREIGN ADOPTION ORDER (AND NAME CHANGE). This form is used in the New York State Family Court to register a foreign adoption decree and, if applicable, to legally change the child’s name. The form is typically filed by adoptive parents, guardians, or guardians ad litem to have a foreign adoption recognized in New York, allowing for the issuance of a New York State Certificate of Adoption and other legal documentation. Petitioners must provide identifying information about the child, adoptive parents, country and date of the foreign adoption, and details of the IR-3 immigrant visa granted by U.S. Citizenship and Immigration Services. The form includes a verification section that must be signed under penalty of perjury. DRL '111-c. www.FormsWorkflow.com
Related forms
-
Affidavit Of Financial Disclosure Parents (Agency)
New York/Statewide/Adoption/ -
Affidavit Of Financial Disclosure Parents (Private Placement)
New York/Statewide/Adoption/ -
Agreement Of Adoption (Private Placement)
New York/Statewide/Adoption/ -
Agreement Of Adoption And Consent (Agency)
New York/Statewide/Adoption/ -
Certificate Of Adoption
New York/Statewide/Adoption/ -
Childs Medical History (Agency Or Private Placement)
New York/Statewide/Adoption/ -
Consent Of Child Over 14 (Agency)
New York/Statewide/Adoption/ -
Consent Of Child Over 14 (Private Placement)
New York/Statewide/Adoption/ -
Extra Judicial Consent (Birth Or Legal Parent Private Placement Step Parent)
New York/Statewide/Adoption/ -
Judicial Consent (Birth Or Legal Parent Private Placement)
New York/Statewide/Adoption/ -
Notice (Denial Of Withdrawal Of Application Removal Of Child)
New York/Statewide/Adoption/ -
Notice (Temporary Guardianship)
New York/Statewide/Adoption/ -
Order (Certification As A Qualified Adoptive Parent)
New York/Statewide/Adoption/ -
Order (Conditional Certification As Qualified Adoptive Parent)
New York/Statewide/Adoption/ -
Order Directing Service Of Notice
New York/Statewide/Adoption/ -
Order For Certified Copy Of Adoption Order (Before Sealing Of Records)
New York/Statewide/Adoption/ -
Order Of Adoption (Agency)
New York/Statewide/Adoption/ -
Order Removing Child From Adoptive Home
New York/Statewide/Adoption/ -
Order To Show Cause (Removal Of Child From Adoptive Home)
New York/Statewide/Adoption/ -
Report Of Investigation (Private Placement)
New York/Statewide/Adoption/ -
Notice Of Proposed Adoption
New York/Statewide/Adoption/ -
Order Of Adoption (Private Placement)
New York/Statewide/Adoption/ -
Affidavit Regarding Status Of Appeal (Agency)
New York/Statewide/Adoption/ -
Order Determing Petition For Enforcement Of Post-Adoption Contact Agreement (After Finalization)
New York/Statewide/Adoption/ -
Order Of Incorporation Of Post-Adoption Contact Agreement (Agency)
New York/Statewide/Adoption/ -
Order For Investigation
New York/Statewide/Adoption/ -
Determination Of Family Court Judge Regarding Venue
New York/Statewide/Adoption/ -
Notice Of Petition For Access To Sealed Adoption Records
New York/Statewide/Adoption/ -
Order Regarding Venue
New York/Statewide/Adoption/ -
Waiver Of Notice Of Petition For Access To Sealed Adoption Records
New York/Statewide/Adoption/ -
Order Of Adoption (And Name Change)
New York/Statewide/Adoption/ -
Judicial Consent Of Birth Of Legal Parent To Adoption By Step-Parent)
New York/Statewide/Adoption/ -
Extrajudicial Consent (Birth Or Legal Parent - Private Placement)
New York/Statewide/Adoption/ -
Order For Child Protective Inquiry
New York/Statewide/Adoption/ -
Order Of Adoption Family Court Surrogate Court Request Form
New York/Statewide/Adoption/ -
Order (Temporary Guardianship Of The Person)
New York/Statewide/Adoption/ -
Order On Application For Certified Copy Of Adoption Order (After Sealing Of Records)
New York/Statewide/Adoption/ -
Order Of Publication (Agency)
New York/Statewide/Adoption/ -
Consent To Adult Adoption By Adoptee
New York/Statewide/Adoption/ -
Petition For Adult Adoption
New York/Statewide/Adoption/ -
Adoption Information Registry Birth Parent Registration Form
New York/Statewide/Adoption/ -
NYS Unified Court System Attorneys Affirmation
New York/Statewide/Adoption/ -
Affirmation Regarding Venue
New York/Statewide/Adoption/ -
Affidavit Of Service For Petition For Access To Sealed Adoption Records
New York/Statewide/Adoption/ -
Order On Petition For Access To Sealed Adoption Records
New York/Statewide/Adoption/ -
Affirmation Identifying Party
New York/Statewide/Adoption/ -
Affirmation (Change Of Circumstance Since Certification As Qualified Adoptive Parent) (Private Placement)
New York/Statewide/Adoption/ -
Affirmation And Report Disinterested Person Certification Proceeding Private Placement
New York/Statewide/Adoption/ -
Addendum To OCFS 4156 Request For SCR Report Private Adoption
New York/Statewide/Adoption/ -
Petition For Adoption (Private Placement)
New York/Statewide/Adoption/ -
Petition For Temporary Guardianship
New York/Statewide/Adoption/ -
Affirmation Change Of Circumstances Since Certification As Qualified Adoptive Parent
New York/Statewide/Adoption/ -
Petition (Certification As A Qualified Adoptive Parent)
New York/Statewide/Adoption/ -
Petition For Extension Of Expired Certification (Private Placement)
New York/Statewide/Adoption/ -
Petition For Access To Sealed Adoption Records
New York/Statewide/Adoption/ -
Petition For Registration Of Foreign Adoption Order (And Name Change)
New York/Statewide/Adoption/ -
Verified Schedule (Agency)
New York/Statewide/Adoption/ -
Petition For Adoption (Agency)
New York/Statewide/Adoption/ -
Petition For Enforcement Of Post-Adoption Contact Agreement (After Finalization)
New York/Statewide/Adoption/ -
Application For Certified Copy Of Adoption Order (After Sealing Of Records)
New York/Statewide/Adoption/ -
Application For Certified Copy Of Adoption Order (Before Sealing Of Records)
New York/Statewide/Adoption/ -
Supplemental Affirmation (Private Placement)
New York/Statewide/Adoption/ -
Supplemental Affirmation (Agency)
New York/Statewide/Adoption/ -
Affirmation Identifying Party (Agency)
New York/Statewide/Adoption/ -
Affirmation And Consent Of Person Having Lawful Custody (Other Than Birth Or Legal Parent) (Private Placement)
New York/Statewide/Adoption/ -
Affirmation And Report Disinterested Person Extension Of Expired Certification
New York/Statewide/Adoption/
Form Preview
Contact Us
Success: Your message was sent.
Thank you!




