Last updated: 4/30/2025
Request To Reset-Advance-Set Case Resolution Conference {FL092}
Start Your Free Trial $ 13.99What you get:
- Instant access to fillable Microsoft Word or PDF forms.
- Minimize the risk of using outdated forms and eliminate rejected fillings.
- Largest forms database in the USA with more than 80,000 federal, state and agency forms.
- Download, edit, auto-fill multiple forms at once in MS Word using our Forms Workflow Ribbon
- Trusted by 1,000s of Attorneys and Legal Professionals
Description
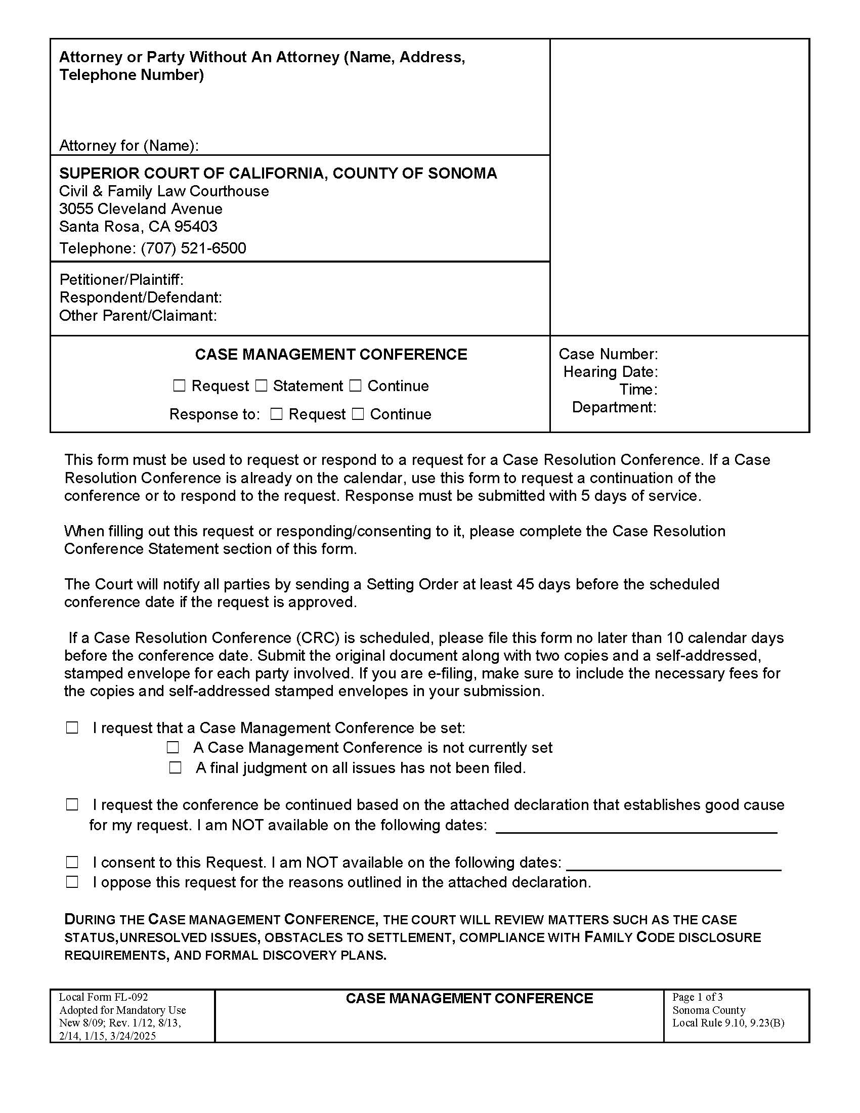
FL-092 - CASE MANAGEMENT CONFERENCE. This form must be used to request or respond to a request for a Case Resolution Conference. If a Case Resolution Conference is already on the calendar, use this form to request a continuation of the conference or to respond to the request. Response must be submitted with 5 days of service. When filling out this request or responding/consenting to it, please complete the Case Resolution Conference Statement section of this form. The Court will notify all parties by sending a Setting Order at least 45 days before the scheduled conference date if the request is approved. If a Case Resolution Conference (CRC) is scheduled, please file this form no later than 10 calendar days before the conference date. Submit the original document along with two copies and a self-addressed, stamped envelope for each party involved. If you are e-filing, make sure to include the necessary fees for the copies and self-addressed stamped envelopes in your submission. Adopted for Mandatory Use. www.FormsWorkflow.com





