Last updated: 6/25/2025
Materials For Trustees {LBF-33}
Start Your Free Trial $ 14.00What you get:
- Instant access to fillable Microsoft Word or PDF forms.
- Minimize the risk of using outdated forms and eliminate rejected fillings.
- Largest forms database in the USA with more than 80,000 federal, state and agency forms.
- Download, edit, auto-fill multiple forms at once in MS Word using our Forms Workflow Ribbon
- Trusted by 1,000s of Attorneys and Legal Professionals
Description
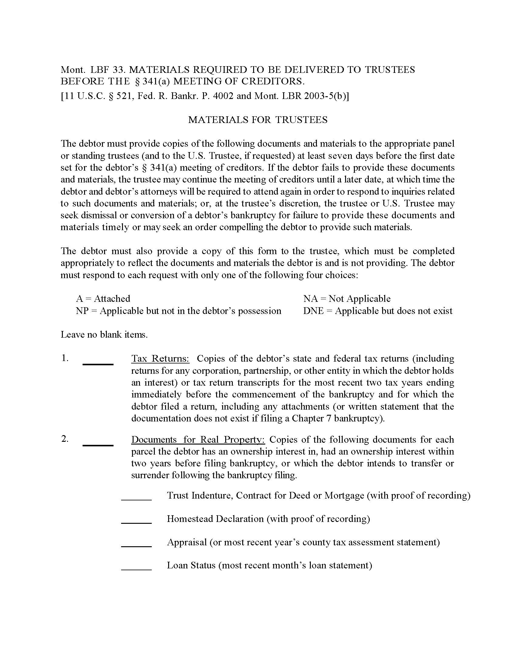
Mont. LBF 33 - MATERIALS REQUIRED TO BE DELIVERED TO TRUSTEES BEFORE THE § 341(a) MEETING OF CREDITORS. The debtor must provide copies of the following documents and materials to the appropriate panel or standing trustees (and to the U.S. Trustee, if requested) at least seven days before the first date set for the debtor’s § 341(a) meeting of creditors. If the debtor fails to provide these documents and materials, the trustee may continue the meeting of creditors until a later date, at which time the debtor and debtor’s attorneys will be required to attend again in order to respond to inquiries related to such documents and materials; or, at the trustee’s discretion, the trustee or U.S. Trustee may seek dismissal or conversion of a debtor’s bankruptcy for failure to provide these documents and materials timely or may seek an order compelling the debtor to provide such materials. The debtor must also provide a copy of this form to the trustee, which must be completed appropriately to reflect the documents and materials the debtor is and is not providing. The debtor must respond to each request with only one of the following four choices. [11 U.S.C. § 521, Fed. R. Bankr. P. 4002 and Mont. LBR 2003-5(b)]. www.FormsWorkflow.com
Related forms
-
Application For Continuance Of Section 341(a) Meeting Of Creditors
Montana/Federal/Bankruptcy Court/ -
Attorney Retention Agreement (Chapter 7)
Montana/Federal/Bankruptcy Court/ -
Debtors Consent To Creditors Motion To Modify Stay
Montana/Federal/Bankruptcy Court/ -
Disposition Of Application For Continuance Of Section 341(a) Meeting
Montana/Federal/Bankruptcy Court/ -
Notice Of Delinquent Monthly Operating Report
Montana/Federal/Bankruptcy Court/ -
Notice Of Withdrawal As Temporary Counsel For Debtor(s)
Montana/Federal/Bankruptcy Court/ -
Notification By Office Of U.S. Trustee Of Debtors Payment Of Quarterly Fees
Montana/Federal/Bankruptcy Court/ -
Trustees Consent To Creditors Motion To Modify Stay
Montana/Federal/Bankruptcy Court/ -
Trustees Notice Of Debtors Failure To Appear At Section 341(a) Meeting
Montana/Federal/Bankruptcy Court/ -
Notice Of Delinquent Quarterly Fees
Montana/Federal/Bankruptcy Court/ -
Statement Of Domestic Support Obligation(s)
Montana/Federal/Bankruptcy Court/ -
Chapter 12 Plan
Montana/Federal/Bankruptcy Court/ -
Motion For Final Decree In Chapter 11 Case
Montana/Federal/Bankruptcy Court/ -
Motion For Rule 2004 Examination
Montana/Federal/Bankruptcy Court/ -
Motion For Valuation Of Security
Montana/Federal/Bankruptcy Court/ -
Motion To Assume Or Reject Executory Contract Or Unexpired Lease
Montana/Federal/Bankruptcy Court/ -
Motion To Avoid Lien Under 11 USC Section 522f
Montana/Federal/Bankruptcy Court/ -
Motion To Dismiss Convert
Montana/Federal/Bankruptcy Court/ -
Motion To Modify Stay And Notice
Montana/Federal/Bankruptcy Court/ -
Notice Of Continuance Of Section 341a Meeting Of Creditors
Montana/Federal/Bankruptcy Court/ -
Notice Of Conversion To Chapter 7
Montana/Federal/Bankruptcy Court/ -
Notice Of Late Filed Claim
Montana/Federal/Bankruptcy Court/ -
Notice Of Trustees Intent To Abandon Property
Montana/Federal/Bankruptcy Court/ -
Objection To Claim Of Exemption
Montana/Federal/Bankruptcy Court/ -
Objection To Proof Of Claim
Montana/Federal/Bankruptcy Court/ -
Order Approving Stipulation And Modifying Stay
Montana/Federal/Bankruptcy Court/ -
Order For Rule 2004 Examination
Montana/Federal/Bankruptcy Court/ -
Order Granting Motion To Modify Stay
Montana/Federal/Bankruptcy Court/ -
Order Of Disposition
Montana/Federal/Bankruptcy Court/ -
Request For In Person Hearing
Montana/Federal/Bankruptcy Court/ -
Application for Professional Fees And Costs
Montana/Federal/Bankruptcy Court/ -
Attorney Retention Agreement Chapter 13
Montana/Federal/Bankruptcy Court/ -
Application To Approve Employment Of Professional And Affidavit
Montana/Federal/Bankruptcy Court/ -
Debtors Electronic Noticing Request (DeBN)
Montana/Federal/Bankruptcy Court/ -
Request For Special Notice
Montana/Federal/Bankruptcy Court/ -
Stipulation To Modify Stay
Montana/Federal/Bankruptcy Court/ -
Debtors Notice Of Amendment To Schedules
Montana/Federal/Bankruptcy Court/ -
Notice Of Compliance
Montana/Federal/Bankruptcy Court/ -
Materials For Trustees
Montana/Federal/Bankruptcy Court/ -
Chapter 13 Plan
Montana/Federal/Bankruptcy Court/ -
Notice Of Application For Professional Fees And Costs
Montana/Federal/Bankruptcy Court/
Form Preview
Contact Us
Success: Your message was sent.
Thank you!




