Last updated: 12/7/2024
Order-Referral To ADR {ADR-12}
Start Your Free Trial $ 13.99What you get:
- Instant access to fillable Microsoft Word or PDF forms.
- Minimize the risk of using outdated forms and eliminate rejected fillings.
- Largest forms database in the USA with more than 80,000 federal, state and agency forms.
- Download, edit, auto-fill multiple forms at once in MS Word using our Forms Workflow Ribbon
- Trusted by 1,000s of Attorneys and Legal Professionals
Description
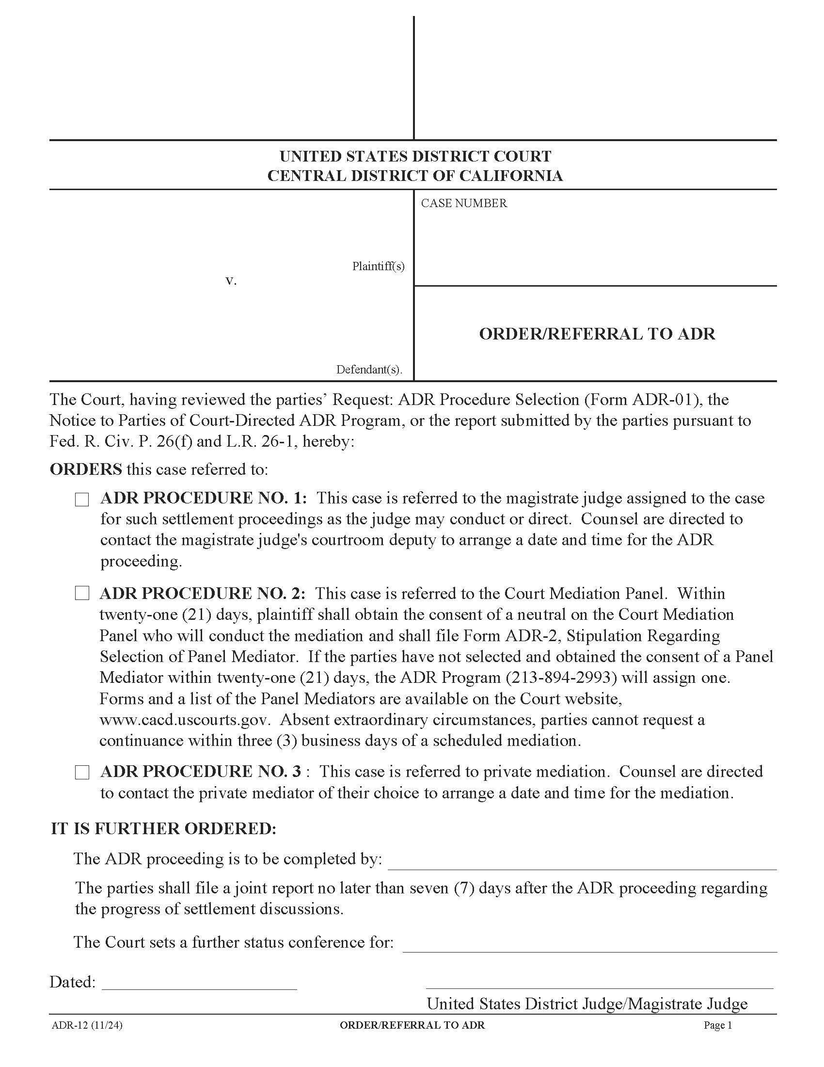
ADR-12, ORDER/REFERRAL TO ADR. This form is a court order referring a case to an Alternative Dispute Resolution (ADR) program. ADR is a way to resolve legal disputes outside of court through methods like mediation, arbitration, or settlement conferences. The order specifies three possible ADR procedures: ADR PROCEDURE NO. 1: This case is referred to the magistrate judge assigned to the case for such settlement proceedings as the judge may conduct or direct. Counsel are directed to contact the magistrate judge's courtroom deputy to arrange a date and time for the ADR proceeding. ADR PROCEDURE NO. 2: This case is referred to the Court Mediation Panel. Within twenty-one (21) days, plaintiff shall obtain the consent of a neutral on the Court Mediation Panel who will conduct the mediation and shall file Form ADR-2, Stipulation Regarding Selection of Panel Mediator. If the parties have not selected and obtained the consent of a Panel Mediator within twenty-one (21) days, the ADR Program (213-894-2993) will assign one. Forms and a list of the Panel Mediators are available on the Court website, www.cacd.uscourts.gov. Absent extraordinary circumstances, parties cannot request a continuance within three (3) business days of a scheduled mediation. ADR PROCEDURE NO. 3 : This case is referred to private mediation. Counsel are directed to contact the private mediator of their choice to arrange a date and time for the mediation. www.FormsWorkflow.com





