Last updated: 3/22/2017
ADA Disability Access Litigation-Order {ADR-22}
Start Your Free Trial $ 5.99What you get:
- Instant access to fillable Microsoft Word or PDF forms.
- Minimize the risk of using outdated forms and eliminate rejected fillings.
- Largest forms database in the USA with more than 80,000 federal, state and agency forms.
- Download, edit, auto-fill multiple forms at once in MS Word using our Forms Workflow Ribbon
- Trusted by 1,000s of Attorneys and Legal Professionals
Description
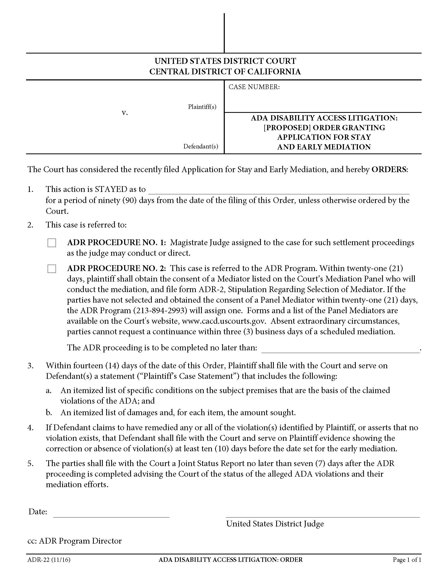
ADR-22, ADA DISABILITY ACCESS LITIGATION: [PROPOSED] ORDER GRANTING APPLICATION FOR STAY AND EARLY MEDIATION, An ADA Disability Access Litigation: [Proposed] Order Granting Application for Stay and Early Mediation is a court order that may be issued in a federal district court in the United States regarding a case involving allegations of violations of the Americans with Disabilities Act (ADA). In this type of order, the defendant in the case may file an application for a stay and early mediation, which essentially requests a pause in the litigation proceedings in order to participate in mediation with the plaintiff. The purpose of the mediation is to attempt to reach a resolution to the case without the need for a full trial. If the court grants the defendant's application, the order will require that the case be stayed, meaning that all litigation proceedings are temporarily suspended, while the parties engage in mediation. The order may also include a timeline for the mediation process, such as the deadline for selecting a mediator, scheduling the mediation session, and reporting the results of the mediation to the court. The purpose of this type of order is to encourage the parties to engage in a collaborative process to reach a resolution of the case that is satisfactory to both parties, without the need for a full trial. This approach can save time and resources for both parties, and can also help to reduce the backlog of cases in the court system. Overall, an ADA Disability Access Litigation: [Proposed] Order Granting Application for Stay and Early Mediation is a tool to facilitate early resolution of ADA accessibility disputes, while also preserving the rights of individuals with disabilities to equal access to public accommodations. www.FormsWorkflow.com





