California Jury Instructions
42 Uniform Fraudulent Transfer Act
Last updated: 6/14/2024
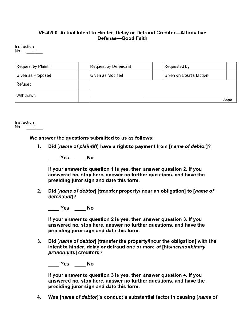
VF 4200. Actual Intent to Hinder Delay or Defraud Creditor Affirmative Defense Good Faith
Start Your Free Trial $ 6.00What you get:
- Instant access to fillable Microsoft Word or PDF forms.
- Minimize the risk of using outdated forms and eliminate rejected fillings.
- Largest forms database in the USA with more than 80,000 federal, state and agency forms.
- Download, edit, auto-fill multiple forms at once in MS Word using our Forms Workflow Ribbon
- Trusted by 1,000s of Attorneys and Legal Professionals
Description
Related forms
Our Products





