Last updated: 5/27/2022
4200. Actual Intent To Hinder Delay Defraud Creditor - Essential Factual Elements
Start Your Free Trial $ 5.99What you get:
- Instant access to fillable Microsoft Word or PDF forms.
- Minimize the risk of using outdated forms and eliminate rejected fillings.
- Largest forms database in the USA with more than 80,000 federal, state and agency forms.
- Download, edit, auto-fill multiple forms at once in MS Word using our Forms Workflow Ribbon
- Trusted by 1,000s of Attorneys and Legal Professionals
Description
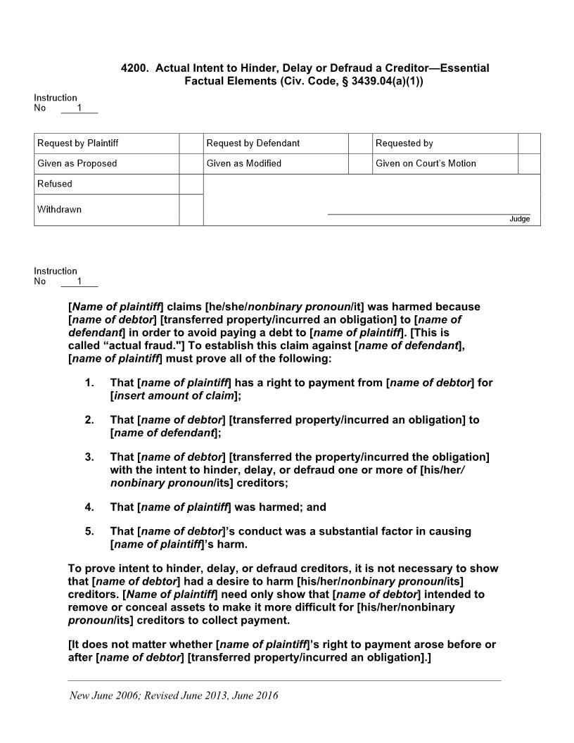
4200. Actual Intent to Hinder, Delay or Defraud a Creditor--Essential Factual Elements (Civ. Code, § 3439.04(a)(1)) Instruction No 1 Request by Plaintiff Given as Proposed Refused Withdrawn Request by Defendant Given as Modified Requested by Given on Court's Motion Judge Instruction No 1 [Name of plaintiff] claims [he/she/it] was harmed because [name of debtor] [transferred property/incurred an obligation] to [name of defendant] in order to avoid paying a debt to [name of plaintiff]. [This is called "actual fraud."] To establish this claim against [name of defendant], [name of plaintiff] must prove all of the following: 1. 2. 3. That [name of plaintiff] has a right to payment from [name of debtor] for [insert amount of claim]; That [name of debtor] [transferred property/incurred an obligation] to [name of defendant]; That [name of debtor] [transferred the property/incurred the obligation] with the intent to hinder, delay, or defraud one or more of [his/her/its] creditors; That [name of plaintiff] was harmed; and That [name of debtor]'s conduct was a substantial factor in causing [name of plaintiff]'s harm. 4. 5. To prove intent to hinder, delay, or defraud creditors, it is not necessary to show that [name of debtor] had a desire to harm [his/her/its] creditors. [Name of plaintiff] need only show that [name of debtor] intended to remove or conceal assets to make it more difficult for [his/her/its] creditors to collect payment. [It does not matter whether [name of plaintiff]'s right to payment arose before or after [name of debtor] [transferred property/incurred an obligation].] _____________________________________________________________________________ New June 2006; Revised June 2013, June 2016





