Colorado
Statewide
Domestic Relations
200 Ratings
Last updated: 2/2/2024
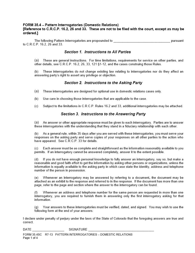
Pattern Interrogatories (Domestic Relations) {35.4}
Start Your Free Trial $ 17.99What you get:
- Instant access to fillable Microsoft Word or PDF forms.
- Minimize the risk of using outdated forms and eliminate rejected fillings.
- Largest forms database in the USA with more than 80,000 federal, state and agency forms.
- Download, edit, auto-fill multiple forms at once in MS Word using our Forms Workflow Ribbon
- Trusted by 1,000s of Attorneys and Legal Professionals
Description
FORM 35.4 Pattern Interrogatories (Domestic Relations) www.FormsWorkflow.com
Related forms
-
Motion For Clerk Of Court To Transfer Title
Colorado/Statewide/Domestic Relations/ -
Motion For Temporary Orders
Colorado/Statewide/Domestic Relations/ -
Motion To Appoint Legal Representative
Colorado/Statewide/Domestic Relations/ -
Notice To Employer To Deduct For Health Insurance
Colorado/Statewide/Domestic Relations/ -
Notice To Insurance Provider Of Court Ordered Health Insurance Coverage
Colorado/Statewide/Domestic Relations/ -
Obligors Request For Immediate Activation Of An Income Assignment
Colorado/Statewide/Domestic Relations/ -
Order For Clerk Of Court To Transfer Title Pursuant To CRCP 70
Colorado/Statewide/Domestic Relations/ -
Order Re Petitioners Motion To Dismiss
Colorado/Statewide/Domestic Relations/ -
Order To Dismiss Re Stipulate Motion
Colorado/Statewide/Domestic Relations/ -
Order
Colorado/Statewide/Domestic Relations/ -
Stipulated Motion To Dismiss
Colorado/Statewide/Domestic Relations/ -
Stipulation For Immediate Activation Of An Income Assignment
Colorado/Statewide/Domestic Relations/ -
Stipulation Regarding Child Support Modification
Colorado/Statewide/Domestic Relations/ -
Verified Motion To Dismiss By Petitioner
Colorado/Statewide/Domestic Relations/ -
Order To Issue Citation And Citation To Show Cause
Colorado/Statewide/Domestic Relations/ -
Temporary Orders
Colorado/Statewide/Domestic Relations/ -
Temporary Orders Agreement
Colorado/Statewide/Domestic Relations/ -
Motion For Genetic Testing
Colorado/Statewide/Domestic Relations/ -
Notice Of Domestic Relations Initial Status Conference
Colorado/Statewide/Domestic Relations/ -
Notice Of Domestic Relations Status Conference
Colorado/Statewide/Domestic Relations/ -
Order For Genetic Testing
Colorado/Statewide/Domestic Relations/ -
Verified Entry Of Support Judgment
Colorado/Statewide/Domestic Relations/ -
Verified Motion And Affidavit For Citation For Contempt Of Court
Colorado/Statewide/Domestic Relations/ -
Stipulation Regarding Appointing Decision Maker
Colorado/Statewide/Domestic Relations/ -
Summons For Registration Of Foreign Decree
Colorado/Statewide/Domestic Relations/ -
Order Re Modification Of Child Support
Colorado/Statewide/Domestic Relations/ -
Motion For Change Of Venue
Colorado/Statewide/Domestic Relations/ -
Order For Change Of Venue Pursuant To Colorado Rules Of Civil Procedure 98(c)(1) And 98(e)
Colorado/Statewide/Domestic Relations/ -
Mandatory Disclosure Form 35.1 Reference To 16.2 (e)(2)
Colorado/Statewide/Domestic Relations/ -
Motion To Compel
Colorado/Statewide/Domestic Relations/ -
Court Authorization For Financial Disclosure
Colorado/Statewide/Domestic Relations/ -
Motion Re Exemption From Mediation Or ADR Order (Domestic Relations Case)
Colorado/Statewide/Domestic Relations/ -
Order Re Exemption From Mediation Or ADR Domestic Relations Case Order
Colorado/Statewide/Domestic Relations/ -
Order Re Modification Or Restriction Of Parenting Time
Colorado/Statewide/Domestic Relations/ -
Order Re Motion To Relocate Minor Children
Colorado/Statewide/Domestic Relations/ -
Order Re Stipulated Case Management Plan
Colorado/Statewide/Domestic Relations/ -
Stipulated Case Management Plan
Colorado/Statewide/Domestic Relations/ -
Stipulation Regarding Parenting Time Modification
Colorado/Statewide/Domestic Relations/ -
Verified Pleading Affidavit For Grandparent Visitation
Colorado/Statewide/Domestic Relations/ -
Income Withholding For Support
Colorado/Statewide/Domestic Relations/ -
Motion Or Stipulation To Modify Petition
Colorado/Statewide/Domestic Relations/ -
Writ In Aid Of Enforcement And Notice Of Hearing
Colorado/Statewide/Domestic Relations/ -
Order Re Motion To Compel Pursuant To C.R.C.P. 16.2
Colorado/Statewide/Domestic Relations/ -
Order Re Abduction Prevention Measures Pursuant To Section 14-13.5-101 C.R.S.
Colorado/Statewide/Domestic Relations/ -
Order Re Parenting Time
Colorado/Statewide/Domestic Relations/ -
Order Re Modification To Custody Or Decision-Making Responsibilities
Colorado/Statewide/Domestic Relations/ -
Order Re Motion Or Stipulation To Modify Petition
Colorado/Statewide/Domestic Relations/ -
Order Re Parentage Pursuant To Sections 14-10-122(6) And 19-4-107.3 C.R.S.
Colorado/Statewide/Domestic Relations/ -
Order To Confirm Foreign Decree
Colorado/Statewide/Domestic Relations/ -
Petition To Register Foreign Decree
Colorado/Statewide/Domestic Relations/ -
Stipulated Motion
Colorado/Statewide/Domestic Relations/ -
Pattern Requests For Production Of Documents (Domestic Relations)
Colorado/Statewide/Domestic Relations/ -
Verified Motion To Modify Or Set Aside Order Determining Parentage
Colorado/Statewide/Domestic Relations/ -
Motion To Terminate Child Support
Colorado/Statewide/Domestic Relations/ -
Order For Name Restoration
Colorado/Statewide/Domestic Relations/ -
Verified Motion Concerning Parenting Time Disputes
Colorado/Statewide/Domestic Relations/ -
Affidavit For Decree Without Appearance Civil Union
Colorado/Statewide/Domestic Relations/ -
Consent to Assignment to Magistrate
Colorado/Statewide/Domestic Relations/ -
Decree Of Dissolution Of Civil Union
Colorado/Statewide/Domestic Relations/ -
Motion Stipulation To Modify Petition For Civil Union
Colorado/Statewide/Domestic Relations/ -
Motion To Convert Legal Separation To Decree Of Dissolution
Colorado/Statewide/Domestic Relations/ -
Order Re Exemption From Mediation
Colorado/Statewide/Domestic Relations/ -
Order To Convert Separation To Dissolution (Civil Union)
Colorado/Statewide/Domestic Relations/ -
Petition Motion For Abduction Prevention Measures
Colorado/Statewide/Domestic Relations/ -
Request For Attorney Withdrawal
Colorado/Statewide/Domestic Relations/ -
Summons For Dissolution Of Civil Union Or Legal Separation
Colorado/Statewide/Domestic Relations/ -
Summons To Disclaim Paternity
Colorado/Statewide/Domestic Relations/ -
Verified Motion and Affidavit for Name Restoration
Colorado/Statewide/Domestic Relations/ -
Motion To Convert Decree Of Legal Separation To Decree Of Dissolution
Colorado/Statewide/Domestic Relations/ -
Petition For Underage Marriage
Colorado/Statewide/Domestic Relations/ -
Mediation Or Alternative Dispute Resolution Order (Domestic Relations Case)
Colorado/Statewide/Domestic Relations/ -
Return of Service (Foreign Decree) {JDF 1222(b)}
Colorado/Statewide/Domestic Relations/ -
Return Of Service (Paternity) {JDF 1502(b)}
Colorado/Statewide/Domestic Relations/ -
Return Of Service (To Disclaim Paternity) {JDF 1515(b)}
Colorado/Statewide/Domestic Relations/ -
Waiver And Acceptance Of Service (Foreign Decree) {JDF 1222(a)}
Colorado/Statewide/Domestic Relations/ -
Waiver And Acceptance Of Service {JDF 1602(a)}
Colorado/Statewide/Domestic Relations/ -
Waiver Of Service (Paternity) {JDF 1502(a)}
Colorado/Statewide/Domestic Relations/ -
Waiver Of Service (To Disclaim Paternity) {JDF 1515(a)}
Colorado/Statewide/Domestic Relations/ -
Return Of Service
Colorado/1 Statewide/Domestic Relations/ -
Motion To Modify Child Support
Colorado/Statewide/Domestic Relations/ -
Order For Absentee Testimony
Colorado/Statewide/Domestic Relations/ -
Motion For Absentee Testimony
Colorado/Statewide/Domestic Relations/ -
Motion Re Exemption From Mediation
Colorado/Statewide/Domestic Relations/ -
Petition To Dissolve Civil Union
Colorado/Statewide/Domestic Relations/ -
Order Granting Petition For Underage Marriage
Colorado/1 Statewide/Domestic Relations/ -
Response To Petition For Dissolution Or Legal Separation Of Civil Union
Colorado/Statewide/Domestic Relations/ -
Sworn Financial Statement
Colorado/Statewide/Domestic Relations/ -
Application For State Paid Professional
Colorado/1 Statewide/Domestic Relations/ -
Certificate Of Compliance Mediation ADR
Colorado/Statewide/Domestic Relations/ -
Motion Or Stipulation To Modify Or Terminate Maintenance
Colorado/1 Statewide/Domestic Relations/ -
Order To Modify Or Terminate Maintenance
Colorado/Statewide/Domestic Relations/ -
Petition To Disclaim Paternity
Colorado/1 Statewide/Domestic Relations/ -
Final Order For Parentage
Colorado/1 Statewide/Domestic Relations/ -
Affidavit Of Arrears
Colorado/Statewide/Domestic Relations/ -
Summons In Paternity
Colorado/Statewide/Domestic Relations/ -
Objection To The Activation Of An Income Assignment
Colorado/Statewide/Domestic Relations/ -
Motion For Evaluation And Report
Colorado/Statewide/Domestic Relations/ -
Objection To Non-Disclosure Of Information
Colorado/Statewide/Domestic Relations/ -
Request For Findings For PRE Complaint
Colorado/Statewide/Domestic Relations/ -
Domestic Relations Order For PERA Benefit Plan Or Modification
Colorado/Statewide/Domestic Relations/ -
Supporting Schedules For Assets - Form 35.3
Colorado/Statewide/Domestic Relations/ -
Notice Of Change Regarding Contact Information
Colorado/Statewide/Domestic Relations/ -
Pretrial Statement
Colorado/Statewide/Domestic Relations/ -
PERA Agreement For Domestic Relations Order
Colorado/Statewide/Domestic Relations/ -
ICWA Declaration Of Non-Indian Heritage (Domestic And Probate)
Colorado/Statewide/Domestic Relations/ -
Motion And Affidavit To Change Decision Making
Colorado/Statewide/Domestic Relations/ -
Motion To Modify Or Restrict Parenting Time
Colorado/Statewide/Domestic Relations/ -
Verified Motion Or Stipulation To Relocate Minor Child(ren)
Colorado/Statewide/Domestic Relations/ -
Order For An Evaluation And Report
Colorado/Statewide/Domestic Relations/ -
Motion For Appointment Of Child And Family Investigator
Colorado/Statewide/Domestic Relations/ -
Order Appointing Child And Family Investigator
Colorado/Statewide/Domestic Relations/ -
Motion To Intervene
Colorado/Statewide/Domestic Relations/ -
Order To Intervene
Colorado/Statewide/Domestic Relations/ -
Mandatory Disclosure RE Appointment
Colorado/Statewide/Domestic Relations/ -
Certificate Of Compliance With Mandatory Financial Disclosures
Colorado/Statewide/Domestic Relations/ -
Notice To Set Hearing
Colorado/Statewide/Domestic Relations/ -
Notice Of Hearing
Colorado/Statewide/Domestic Relations/ -
Certificate Of Service
Colorado/Statewide/Domestic Relations/ -
Domestic Relations Case Information Sheet
Colorado/Statewide/Domestic Relations/ -
Application For Reduced Fees - Mediation
Colorado/Statewide/Domestic Relations/ -
Pattern Interrogatories (Domestic Relations)
Colorado/Statewide/Domestic Relations/ -
Motion For
Colorado/Statewide/Domestic Relations/ -
Order Appointing Legal Representative Of The Child
Colorado/Statewide/Domestic Relations/ -
Response To
Colorado/Statewide/Domestic Relations/ -
Affidavit For Decree Without Appearance
Colorado/Statewide/Domestic Relations/ -
Petition For Annulment
Colorado/Statewide/Domestic Relations/ -
Waiver Of Service (Invalidity)
Colorado/Statewide/Domestic Relations/ -
Return Of Service (Annulment)
Colorado/Statewide/Domestic Relations/ -
Decree (Annulment)
Colorado/Statewide/Domestic Relations/ -
Decree Of Dissolution Of Marriage Or Legal Separation
Colorado/Statewide/Domestic Relations/ -
Return Of Service Divorce
Colorado/Statewide/Domestic Relations/ -
Waiver Of Service (Divorce)
Colorado/Statewide/Domestic Relations/ -
Summons For Divorce Or Legal Separation
Colorado/Statewide/Domestic Relations/ -
Petition For Divorce Or Legal Separation
Colorado/Statewide/Domestic Relations/ -
Motion For Service By Publication
Colorado/Statewide/Domestic Relations/ -
Motion To Waive Fees
Colorado/1 Statewide/Domestic Relations/ -
Order About Alternate Service
Colorado/Statewide/Domestic Relations/ -
Property And Financial Agreement - Separation Agreement
Colorado/Statewide/Domestic Relations/ -
Response To The Petition (Annulment)
Colorado/Statewide/Domestic Relations/ -
Response To The Petition Divorce
Colorado/Statewide/Domestic Relations/ -
Petition For Parental Responsibilities
Colorado/Statewide/Domestic Relations/ -
Summons
Colorado/Statewide/Domestic Relations/ -
Waiver Of Service
Colorado/Statewide/Domestic Relations/ -
Return Of Service
Colorado/Statewide/Domestic Relations/ -
Response To The Petition
Colorado/Statewide/Domestic Relations/ -
Order For Parental Responsibilities
Colorado/Statewide/Domestic Relations/ -
Summons
Colorado/Statewide/Domestic Relations/ -
Finding And Order Concerning Payment Of Fees
Colorado/Statewide/Domestic Relations/ -
Parenting Plan
Colorado/Statewide/Domestic Relations/ -
Support Order
Colorado/Statewide/Domestic Relations/
Form Preview
Sorry, we couldn't download the pdf file.
Our Products
Contact Us
Success: Your message was sent.
Thank you!




