Last updated: 12/22/2023
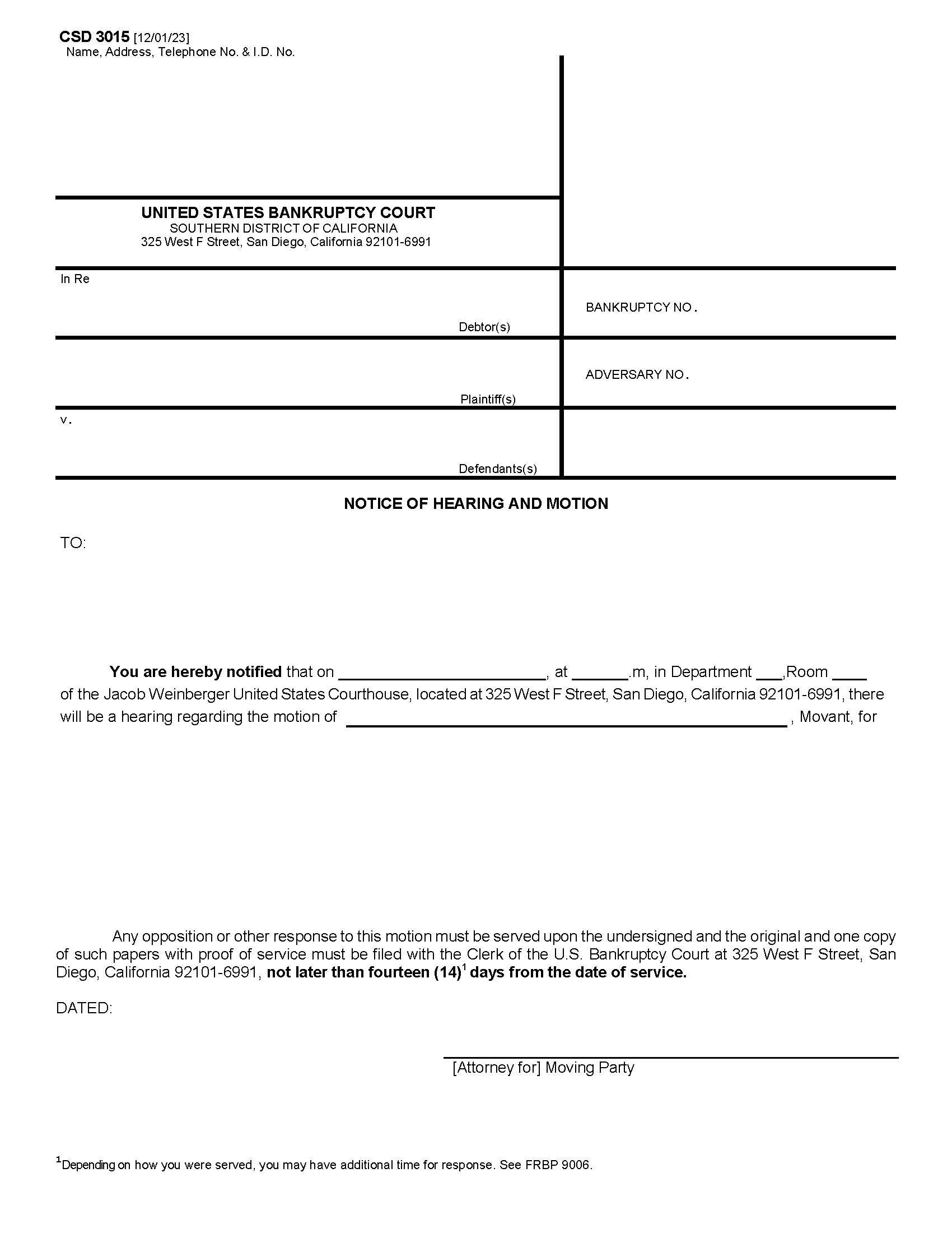
Notice Of Motion And Hearing {CSD 3015}
Start Your Free Trial $ 13.99What you get:
- Instant access to fillable Microsoft Word or PDF forms.
- Minimize the risk of using outdated forms and eliminate rejected fillings.
- Largest forms database in the USA with more than 80,000 federal, state and agency forms.
- Download, edit, auto-fill multiple forms at once in MS Word using our Forms Workflow Ribbon
- Trusted by 1,000s of Attorneys and Legal Professionals
Description
CSD 3015 - NOTICE OF HEARING AND MOTION. This form is used in the United States Bankruptcy Court, Southern District of California to inform the recipient that there will be a hearing regarding a motion filed by the moving party. The notice provides the date, time, and location of the hearing, as well as the name of the moving party and the relief sought. The recipient is also informed that any opposition or response to the motion must be served on the undersigned and filed with the Clerk of the U.S. Bankruptcy Court within fourteen (14) days from the date of service. The form includes a certificate of service, where the person serving the notice certifies how and when the notice was served on the relevant parties, either through the court's electronic filing system, by mail, or by personal delivery, facsimile transmission, overnight delivery, or electronic mail. The certificate of service is signed under penalty of perjury. www.FormsWorkflow.com
Related forms
-
Application By Trustee Debtor-In-Possession To Defer Payment Of Fee For Filing Complaint
California/Federal/USBC Southern/General/ -
Application By Trustee To Defer Payment Of Fee For Motion To Reopen Case
California/Federal/USBC Southern/General/ -
Application By Trustee To Pay Expenses Without Notice To Creditors
California/Federal/USBC Southern/General/ -
Application For The Appointment Of An Appraiser
California/Federal/USBC Southern/General/ -
Application To Employ Auctioneer
California/Federal/USBC Southern/General/ -
Appraisers Application For Compensation And Reimbursement Of Expenses
California/Federal/USBC Southern/General/ -
Caption For Adversary Proceedings
California/Federal/USBC Southern/General/ -
Caption For Bankruptcy Cases
California/Federal/USBC Southern/General/ -
Case Questionnaire In Connection With Mediation Procedure
California/Federal/USBC Southern/General/ -
Declaration By Attorney Representation General Partners Filing Voluntary Petition
California/Federal/USBC Southern/General/ -
Declaration Re Electronic Filing Of Petition Schedules And Statements
California/Federal/USBC Southern/General/ -
Documents Required For Processing An Application For Unclaimed Funds
California/Federal/USBC Southern/General/ -
Excerpts From Local Bankruptcy Rules Specifically Relating To Relief From Stay Motions
California/Federal/USBC Southern/General/ -
Fee Application Summary - Exhibit A
California/Federal/USBC Southern/General/ -
Judgment By Default Disallowing Claim Of Exemptions
California/Federal/USBC Southern/General/ -
Judgment By Default
California/Federal/USBC Southern/General/ -
List Of Exhibits Submitted By Attorney
California/Federal/USBC Southern/General/ -
Memorandum Request For Production Of Claims Register
California/Federal/USBC Southern/General/ -
Memorandum Request To Set Claims Bar Date-Chapter 7 Cases Only
California/Federal/USBC Southern/General/ -
Motion For Relief From Automatic Stay - Real And Personal Property
California/Federal/USBC Southern/General/ -
Motion For Relief From Automatic Stay Unlawful Detainer
California/Federal/USBC Southern/General/ -
Notice Of Change Of Address
California/Federal/USBC Southern/General/ -
Notice Of Related Case
California/Federal/USBC Southern/General/ -
Opposition To Motion For Relief From Automatic Stay
California/Federal/USBC Southern/General/ -
Order Appointing Appraiser
California/Federal/USBC Southern/General/ -
Order Appointing Auctioneer
California/Federal/USBC Southern/General/ -
Order Appointing Mediator And Assignment To Mediation
California/Federal/USBC Southern/General/ -
Order Approving Interim Final Application For Compensation And Reimbursement Of Expenses
California/Federal/USBC Southern/General/ -
Order Converting Case Under Chap 13 To Case Under Chap 7 On Motion By A Party In Interest
California/Federal/USBC Southern/General/ -
Order Converting Case Under Chapter 11 To Case Under Chapter 12
California/Federal/USBC Southern/General/ -
Order Converting Case Under Chapter 7 To Case Under Chapter 12
California/Federal/USBC Southern/General/ -
Order Converting Case Under Chapter 7 To Case Under Chapter 13
California/Federal/USBC Southern/General/ -
Order Converting Chapter 11 Case To Case Under Chapter 7
California/Federal/USBC Southern/General/ -
Order Dismissing Chapter 13 Case After Hearing
California/Federal/USBC Southern/General/ -
Order For Compensation Of Appraiser
California/Federal/USBC Southern/General/ -
Order For Compensation Of Auctioneer
California/Federal/USBC Southern/General/ -
Order On Noncontested Motion Dismissing Chapter 13 Case
California/Federal/USBC Southern/General/ -
Order On Noncontested Motion For Relief From Automatic Stay Real and Personal Property
California/Federal/USBC Southern/General/ -
Order On Noncontested Motion For Relief From Automatic Stay Unlawful Detainer
California/Federal/USBC Southern/General/ -
Order Upon Conversion Of Case Under Chap 12 To Case Under Chap 7 By Debtor
California/Federal/USBC Southern/General/ -
Praecipe
California/Federal/USBC Southern/General/ -
Pre Trial Order
California/Federal/USBC Southern/General/ -
Proof Of Right To Payment Of Dividend From Unclaimed Funds
California/Federal/USBC Southern/General/ -
Report Of Abandonment Of Real Property
California/Federal/USBC Southern/General/ -
Report Of Sale
California/Federal/USBC Southern/General/ -
Request By Trustee For Copywork And Certification Without Prepayment Of Fees
California/Federal/USBC Southern/General/ -
Request For Extension Of Time To Produce Transcript On Appeal And Order Thereon
California/Federal/USBC Southern/General/ -
Request For Issuance Of Writ Of Attachment
California/Federal/USBC Southern/General/ -
Request For Production Of Transcript On Appeal
California/Federal/USBC Southern/General/ -
Request For Services Or Equipment For Participants With Communications Disabilities
California/Federal/USBC Southern/General/ -
Request For Special Charges By Chapter 11 Plan Proponent
California/Federal/USBC Southern/General/ -
Request For Special Charges By Trustee
California/Federal/USBC Southern/General/ -
Request To Review Copy Files By Authorized Copy Service
California/Federal/USBC Southern/General/ -
Roster Of State And Federal Agencies
California/Federal/USBC Southern/General/ -
Summary Of Balloting On Chapter 11 Plan
California/Federal/USBC Southern/General/ -
Trustees Application For Immediate Private Sale Without Notice
California/Federal/USBC Southern/General/ -
Trustees Interim Report Number
California/Federal/USBC Southern/General/ -
Trustees Report Of No Distribution
California/Federal/USBC Southern/General/ -
Order On (Template For Adversaries)
California/Federal/USBC Southern/General/ -
Order On (Template For Cases)
California/Federal/USBC Southern/General/ -
Order On (Lodged Template For Cases)
California/Federal/USBC Southern/General/ -
Order On (Lodged Template For Adversaries)
California/Federal/USBC Southern/General/ -
Case Questionnaire In Connection With Mediation Procedure
California/Federal/USBC Southern/General/ -
Exemplification Certificate
California/Federal/USBC Southern/General/ -
Declaration Re Filing Of Petition Schedules And Statements On Diskette
California/Federal/USBC Southern/General/ -
Application For Order To Appear For Examination
California/Federal/USBC Southern/General/ -
Order Approving Trustees Application To Pay Expenses Without Notice To Creditors
California/Federal/USBC Southern/General/ -
Order Template For Relief From Stay
California/Federal/USBC Southern/General/ -
Order Shortening Time For Hearing On (Template For Adversaries)
California/Federal/USBC Southern/General/ -
Order Shortening Time For Hearing For Relief From Stay
California/Federal/USBC Southern/General/ -
Findings Of Fact And Conclusions Of Law Re (Lodged Template For Adversaries)
California/Federal/USBC Southern/General/ -
Findings Of Fact And Conclusion Of Law (Lodged) For Relief From Stay
California/Federal/USBC Southern/General/ -
Findings Of Fact And Conclusions Of Law Re (Template For Adversaries)
California/Federal/USBC Southern/General/ -
Findings Of Fact And Conclusions Of Law Re (Template For Cases)
California/Federal/USBC Southern/General/ -
Findings Of Fact And Conclusion Of Law For Relief From Stay
California/Federal/USBC Southern/General/ -
Order To Appear For Examination
California/Federal/USBC Southern/General/ -
Exhibit A (To CSD 1181 Required With Fee Notices)
California/Federal/USBC Southern/General/ -
Final Decree
California/Federal/USBC Southern/General/ -
Finding Of Fact And Conclusions Of Law Re (Lodged Template For Cases)
California/Federal/USBC Southern/General/ -
Order Shortening Time For Hearing On (Template For Cases)
California/Federal/USBC Southern/General/ -
Trustees Notice Of Intent To Distribute Estate
California/Federal/USBC Southern/General/ -
Application For Release Of Rent Deposit Pursuant To 11 USC 362(I)
California/Federal/USBC Southern/General/ -
Mediators Certificate Of Compliance (Relief From Stay Motions)
California/Federal/USBC Southern/General/ -
Notice Of Hearing And Motion On Agreement To Reaffirm A Debt
California/Federal/USBC Southern/General/ -
Notice Of Failure To Comply With Filing Requirements
California/Federal/USBC Southern/General/ -
Statement Of Social Security Number (California Southern District)
California/Federal/USBC Southern/General/ -
Order Converting Case Under Chapter 7 To Case Under Chapter 11
California/Federal/USBC Southern/General/ -
Application For Compensation And Confirmation Of Chapter 13 Plan
California/Federal/USBC Southern/General/ -
Application For Confirmation Of Chapter 13 Plan And Order Thereon
California/Federal/USBC Southern/General/ -
Order On Motion For Exemption Re Credit Counseling
California/Federal/USBC Southern/General/ -
Post Confirmation Order Modifying Chapter 13 Plan
California/Federal/USBC Southern/General/ -
Debtors Motion To Value Real Property
California/Federal/USBC Southern/General/ -
Order Granting Debtors Motion To Value Real Property
California/Federal/USBC Southern/General/ -
Reaffirmation Agreement Cover Sheet
California/Federal/USBC Southern/General/ -
Rights And Responsibilities Of Chapter 7 Debtors And Their Attorney
California/Federal/USBC Southern/General/ -
Substitution Of Attorney And Order Thereon
California/Federal/USBC Southern/General/ -
Supplement To Schedule I And-Or J
California/Federal/USBC Southern/General/ -
Chapter 11 Individual Combined Plan Of Reorganization And Disclosure Statemen
California/Federal/USBC Southern/General/ -
Final Decree In Individual Chapter 11 Case
California/Federal/USBC Southern/General/ -
Notice Of Change In Lead Attorney Within Law Firm
California/Federal/USBC Southern/General/ -
Order Granting Conditional Approval Of Individual Chapter 11 Combined Plan
California/Federal/USBC Southern/General/ -
Order On Trustees Application For Immediate Private Sale Without Notice
California/Federal/USBC Southern/General/ -
Certification To Court Of Appeals By All Parties
California/Federal/USBC Southern/General/ -
US Trustees Notice Of Hearing And Motion
California/Federal/USBC Southern/General/ -
Order On Stipulation To Vacate Chapter 7 Filing Fee Waiver
California/Federal/USBC Southern/General/ -
Stipulation To Vacate Chapter 7 Filing Fee Waiver Order
California/Federal/USBC Southern/General/ -
Lodged Order Template For Relief From Stay
California/Federal/USBC Southern/General/ -
Application To Have Chapter 7 Filing Fee Waived
California/Federal/USBC Southern/General/ -
Request For Services Or Equipment In Bankruptcy Court Proceedings
California/Federal/USBC Southern/General/ -
Declaration Of Inmate Filing
California/Federal/USBC Southern/General/ -
Notice Of Appeal And Statement Of Election (Adversary) {CSD 417A(Adv.)}
California/Federal/USBC Southern/General/ -
Special Power Of Attorney
California/Federal/USBC Southern/General/ -
Pre Confirmation Modification To Chapter 13 Plan
California/Federal/USBC Southern/General/ -
Writ Of Attachment
California/Federal/USBC Southern/General/ -
Certification Of Judgment For Registration In Another District
California/Federal/USBC Southern/General/ -
Bill Of Costs
California/Federal/USBC Southern/General/ -
Motion To Be Relieved As Counsel
California/4 Federal/USBC Southern/General/ -
Order Appointing Mediator And Assignment To Mediation
California/4 Federal/USBC Southern/General/ -
Notice Of Conversion Of Case Under Chapter 12 To A Case Under Chapter 7 By Debtor
California/Federal/USBC Southern/General/ -
Notice Of Conversion Of Case Under Chapter 13 To A Case Under Chapter 7 By Debtor
California/Federal/USBC Southern/General/ -
Pro Hac Vice Application And Order Thereon
California/Federal/USBC Southern/General/ -
Order On (Lodged Template For R-S Motions)
California/Federal/USBC Southern/General/ -
Application To Join Voluntary Mediation Panel
California/Federal/USBC Southern/General/ -
Trustees Motion To Dismiss Case And Order
California/Federal/USBC Southern/General/ -
Chapter 13 Plan (Mandatory)
California/Federal/USBC Southern/General/ -
Mandatory Chapter 13 Plan
California/Federal/USBC Southern/General/ -
Corporate Ownership Statement
California/4 Federal/USBC Southern/General/ -
Declaration Regarding Electronic Filing Of Self-Represented Individual
California/Federal/USBC Southern/General/ -
Administrative Procedures
California/Federal/USBC Southern/General/ -
Certificate Of Compliance With Early Conference Of Counsel
California/Federal/USBC Southern/General/ -
Lessors Objection To Debtors Certification And-Or Debtors Continuing Certification
California/Federal/USBC Southern/General/ -
Mediators Certificate Of Compliance
California/Federal/USBC Southern/General/ -
Proof Of Interest
California/Federal/USBC Southern/General/ -
Suggestion Of Death
California/Federal/USBC Southern/General/ -
Notice And Motion On Suggestion Of Death
California/Federal/USBC Southern/General/ -
Application To Pay Filing Fees In Installments
California/Federal/USBC Southern/General/ -
Request For Hearing On Motion For Relief From Automatic Stay And Notice Of Hearing
California/Federal/USBC Southern/General/ -
Request By Debtor For Statement Of Position Of Chapter 13 Trustee
California/Federal/USBC Southern/General/ -
Request And Notice Of Hearing Re Chapter 13 Trustees Notice To Dismiss
California/Federal/USBC Southern/General/ -
Request And Notice Of Hearing
California/Federal/USBC Southern/General/ -
Objection To Confirmation Of Chapter 13 Plan
California/Federal/USBC Southern/General/ -
Notice Of Creditors Named Debtor Added By Amendment Balance Of Schedules
California/Federal/USBC Southern/General/ -
Notice Of Pre-Confirmation Modification To Chapter 13 Plan
California/4 Federal/USBC Southern/General/ -
Notice Of Lodgment
California/Federal/USBC Southern/General/ -
Notice On Hearing On Objection To Confirmation Of Chapter 13 Plan
California/Federal/USBC Southern/General/ -
Notice Of Hearing And Motion To Extend-Impose The Automatic Stay
California/Federal/USBC Southern/General/ -
Notice Of Hearing And Motion For Review And Conditional Approval
California/Federal/USBC Southern/General/ -
Notice Of Hearing And Motion For Approval Of Disclosure Statement Plan Of Reorganization
California/Federal/USBC Southern/General/ -
Notice Of Hearing And Motion (Less All Creditors)
California/Federal/USBC Southern/General/ -
Notice Of Hearing And Motion (All Creditors)
California/Federal/USBC Southern/General/ -
Notice Of Hearing And Motion On Sale Of Property Free And Clear
California/4 Federal/USBC Southern/General/ -
Notice Of Hearing And Debtors Motion To Value Real Property
California/Federal/USBC Southern/General/ -
Certifications Regarding Domestic Support Obligations Section 522(q) And Eligibility For Discharge
California/Federal/USBC Southern/General/ -
Balance Of Schedules Statements And Or Chapter 13 Plan
California/Federal/USBC Southern/General/ -
Request To Enter Default
California/Federal/USBC Southern/General/ -
Proof Of Service Adversary
California/Federal/USBC Southern/General/ -
Order Dismissing Chapter 13 Case On Request By Debtor
California/Federal/USBC Southern/General/ -
Notice Of Motion And Hearing
California/Federal/USBC Southern/General/ -
Chapter 12 Individual Debtors Certifications Regarding Domestic Support Obligations
California/Federal/USBC Southern/General/ -
Attorney Change Of Information Form
California/Federal/USBC Southern/General/ -
Application For Payment Of Unclaimed Funds
California/4 Federal/USBC Southern/General/ -
Request By Debtor For Dismissal Of Chapter 13
California/Federal/USBC Southern/General/ -
Creditor Matrix Instructions
California/Federal/USBC Southern/General/ -
Amendment
California/Federal/USBC Southern/General/ -
Trustees Notice Of Public Sale And Invitation For Better Offer
California/Federal/USBC Southern/General/ -
Trustees Notice Of Proposed Auction
California/Federal/USBC Southern/General/ -
Trustees Notice Of Proposed Abandonment Of Property
California/Federal/USBC Southern/General/ -
Trustees Notice Of Intended Action And Opportunity For Hearing
California/Federal/USBC Southern/General/ -
Objection To Claim And Notice Thereof
California/Federal/USBC Southern/General/ -
Notice To Person With Communications Disabilities
California/Federal/USBC Southern/General/ -
Notice Of Pre Trial Status Conference
California/Federal/USBC Southern/General/ -
Notice Of Objections To Debtors Claim Of Exemptions Opportunity For Hearing
California/Federal/USBC Southern/General/ -
Notice Of Motion For
California/Federal/USBC Southern/General/ -
Notice Of Intended Action And Opportunity For Hearing
California/Federal/USBC Southern/General/ -
Notice Of Filing Of A Motion For Relief From Automatic Stay
California/Federal/USBC Southern/General/ -
Notice Of Chapter 13 Trustees Interim Final Report And Time To File Objections And Release
California/Federal/USBC Southern/General/ -
Certificate Of Cure Of Entire Monetary Default Pursuant To 11 USC 362
California/Federal/USBC Southern/General/ -
Abstract Of Judgment
California/Federal/USBC Southern/General/ -
Chapter 11 Individual Debtors Request For Discharge Certifications Regarding Domestic Support
California/Federal/USBC Southern/General/ -
Declaration In Support Of Request For Issuance Of Writ Of Execution
California/Federal/USBC Southern/General/ -
Motion To Reopen Case
California/Federal/USBC Southern/General/ -
Notice Of Modified Chapter 13 Plan Prior To Confirmation
California/Federal/USBC Southern/General/ -
Notice Of Motion For Exemption And Opportunity For Hearing Re Credit Counseling
California/Federal/USBC Southern/General/ -
Order Reopening Estate
California/Federal/USBC Southern/General/ -
Request For Issuance Of Writ Of Execution
California/Federal/USBC Southern/General/ -
Certificate Of Exigent Circumstances And Motion For Extension Of Time To File
California/Federal/USBC Southern/General/ -
Writ Of Execution
California/Federal/USBC Southern/General/ -
Rights And Responsibilities Of Chapter 13 Debtors And Their Attorneys (Business Case)
California/Federal/USBC Southern/General/ -
Rights And Responsibilities Of Chapter 13 Debtors And Their Attorneys (Consumer Case)
California/Federal/USBC Southern/General/
Form Preview
Contact Us
Success: Your message was sent.
Thank you!




