Alabama
Secretary Of State
General
Last updated: 9/26/2023
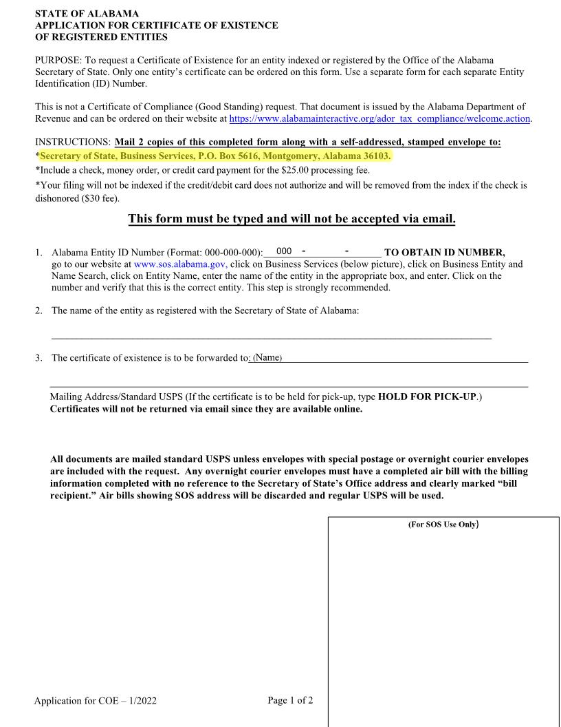
Application for Certificate of Existence {COE}
Start Your Free Trial $ 5.99What you get:
- Instant access to fillable Microsoft Word or PDF forms.
- Minimize the risk of using outdated forms and eliminate rejected fillings.
- Largest forms database in the USA with more than 80,000 federal, state and agency forms.
- Download, edit, auto-fill multiple forms at once in MS Word using our Forms Workflow Ribbon
- Trusted by 1,000s of Attorneys and Legal Professionals
Description
Application for Certificate of Existence {COE} www.FormsWorkFlow.com
Related forms
Our Products





