Last updated: 7/28/2023
Order For Report On Petition For Judicial Admission {PCM 215}
Start Your Free Trial $ 13.99What you get:
- Instant access to fillable Microsoft Word or PDF forms.
- Minimize the risk of using outdated forms and eliminate rejected fillings.
- Largest forms database in the USA with more than 80,000 federal, state and agency forms.
- Download, edit, auto-fill multiple forms at once in MS Word using our Forms Workflow Ribbon
- Trusted by 1,000s of Attorneys and Legal Professionals
Description
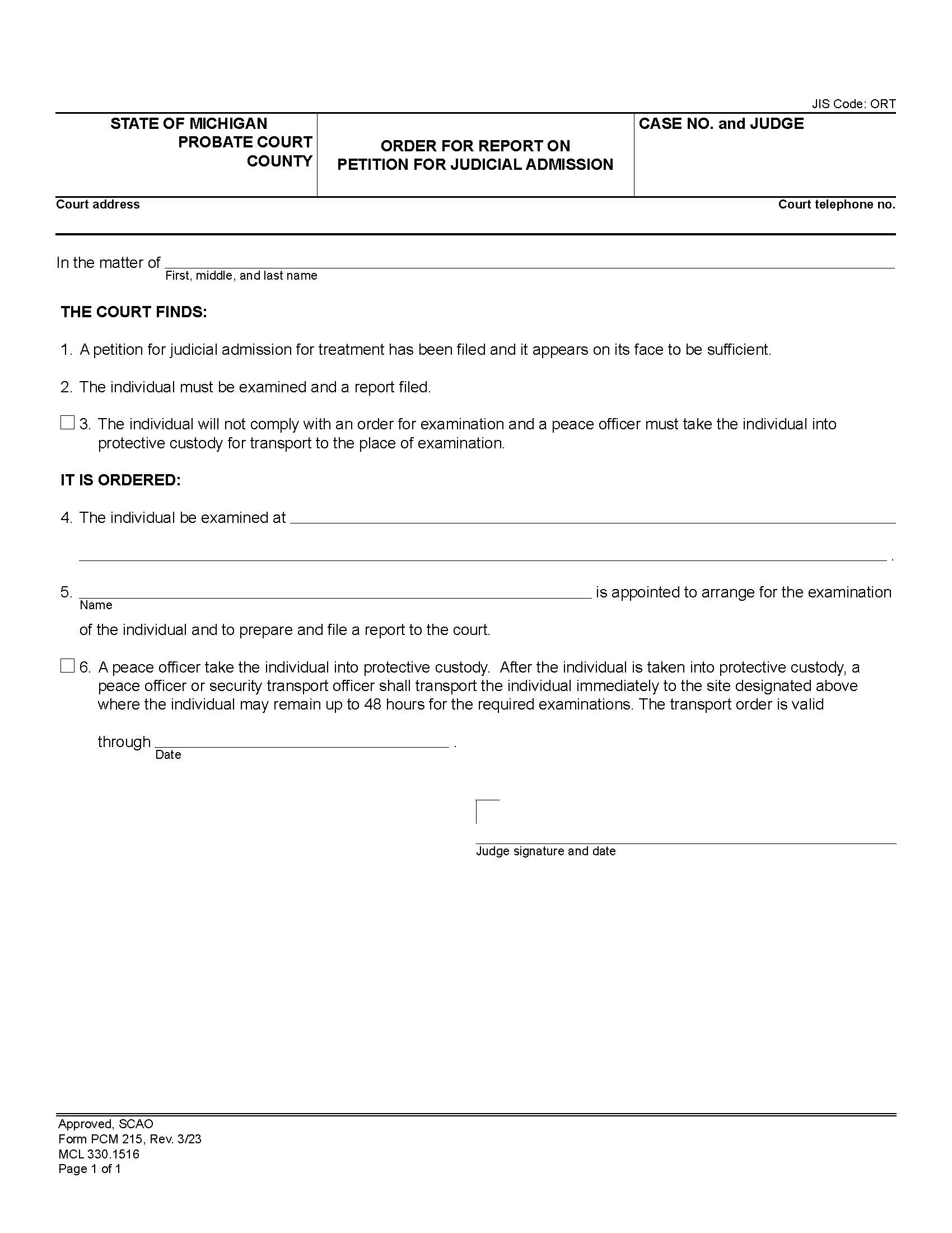
PCM 215 - ORDER FOR REPORT ON PETITION FOR JUDICIAL ADMISSION. This form is used in Michigan's Probate Court when a petition for judicial admission for treatment has been filed. The court orders an examination of the individual and appoints someone to arrange for the examination and prepare a report to the court. If the individual will not comply with the order for examination, a peace officer is ordered to take the individual into protective custody for transport to the examination site. The transport order is valid for a specific period of time, up to 48 hours. Approved, SCAO. MCL 330.1516. www.FormsWorkflow.com
Related forms
-
Certificate Of Legal Counsel Or Waiver Of Attendance
Michigan/Statewide/Mental Health/ -
Notice Of Hearing And Appointment Of Attorney On Objection To Hospitalization
Michigan/Statewide/Mental Health/ -
Notice Of Hearing And Appointment Of Attorney On Petition For Continued Hospitalizaiton Of Minor
Michigan/Statewide/Mental Health/ -
Notice Of Hospitalization And Certification Of Service
Michigan/Statewide/Mental Health/ -
Notice Of Right To Appeal Return From Authorized Leave
Michigan/Statewide/Mental Health/ -
Notice To Attorney Of Return To Hospital From Leave
Michigan/Statewide/Mental Health/ -
Objection To Administrative Admission Developmental Disability
Michigan/Statewide/Mental Health/ -
Objection To Hospitalization Of Minor
Michigan/Statewide/Mental Health/ -
Order Dismissing Petition For Discharge From Judicial Admission
Michigan/Statewide/Mental Health/ -
Order Following Hearing On Appeal Of Return To Hospital
Michigan/Statewide/Mental Health/ -
Order Following Hearing On Petition For Continued Hospitalization Of Minor
Michigan/Statewide/Mental Health/ -
Order Following Hearing On Petition For Judicial Admission
Michigan/Statewide/Mental Health/ -
Supplement To Clinical Certificate On Appeal Of Return To Hospital
Michigan/Statewide/Mental Health/ -
Certification And Report On Petition For Judicial Admission
Michigan/Statewide/Mental Health/ -
Notice Of Right To Object To Hospitalization
Michigan/Statewide/Mental Health/ -
Petition For Discharge From Continuing Treatment
Michigan/Statewide/Mental Health/ -
Order After Hearing On Objection To Hospitalization
Michigan/Statewide/Mental Health/ -
Order Following Hearing On Petition For Discharge Fron Judicial Admission
Michigan/Statewide/Mental Health/ -
Petition For Discharge From Judicial Admission
Michigan/Statewide/Mental Health/ -
Order Following Hearing On Petition For Discharge From Treatment
Michigan/Statewide/Mental Health/ -
Order And Report On Alternative Mental Health Treatement
Michigan/Statewide/Mental Health/ -
Order Following Hearing On Objection By Minor To Hospitalization
Michigan/Statewide/Mental Health/ -
Notice Of Inability To Secure Evaluation
Michigan/Statewide/Mental Health/ -
Six Month Review Report
Michigan/Statewide/Mental Health/ -
Petition For Second Or Continuing Treatment Order
Michigan/Statewide/Mental Health/ -
Petition For Continued Hospitalization of Minor
Michigan/Statewide/Mental Health/ -
Petition For Continuing Mental Health Treatment Order
Michigan/1 Statewide/Mental Health/ -
Petition Regarding Transport Of Minor
Michigan/1 Statewide/Mental Health/ -
Order Regarding Transport Of Minor
Michigan/1 Statewide/Mental Health/ -
Demand For Hearing
Michigan/Statewide/Mental Health/ -
Order For Report After Notification And Report
Michigan/Statewide/Mental Health/ -
Petition For Judicial Admission
Michigan/Statewide/Mental Health/ -
Order To Modify Order For Assisted Outpatient Treatment
Michigan/Statewide/Mental Health/ -
Order For Report On Petition For Judicial Admission
Michigan/Statewide/Mental Health/ -
Notice Of Hearing And Advice Of Rights
Michigan/Statewide/Mental Health/ -
Request To Defer Hearing On Commitment
Michigan/Statewide/Mental Health/ -
Notification Of Noncompliance And Request For Modified Order
Michigan/Statewide/Mental Health/ -
Order After Notice Of Noncompliance With Assisted Outpatient Treatment
Michigan/Statewide/Mental Health/ -
Petition For Mental Health Treatment
Michigan/Statewide/Mental Health/ -
Order For Examination Transport
Michigan/Statewide/Mental Health/ -
Initial Order After Hearing On Petition For Mental Health Treatment
Michigan/Statewide/Mental Health/ -
Second Order For Mental Treatment
Michigan/Statewide/Mental Health/ -
Continuing Order For Mental Health Treatment
Michigan/1 Statewide/Mental Health/ -
Report On Examination And Clinical Certificate
Michigan/Statewide/Mental Health/
Form Preview
Contact Us
Success: Your message was sent.
Thank you!




