Last updated: 9/8/2021
Order Regarding Return Of Firearms {CR-225}
Start Your Free Trial $ 5.99What you get:
- Instant access to fillable Microsoft Word or PDF forms.
- Minimize the risk of using outdated forms and eliminate rejected fillings.
- Largest forms database in the USA with more than 80,000 federal, state and agency forms.
- Download, edit, auto-fill multiple forms at once in MS Word using our Forms Workflow Ribbon
- Trusted by 1,000s of Attorneys and Legal Professionals
Description
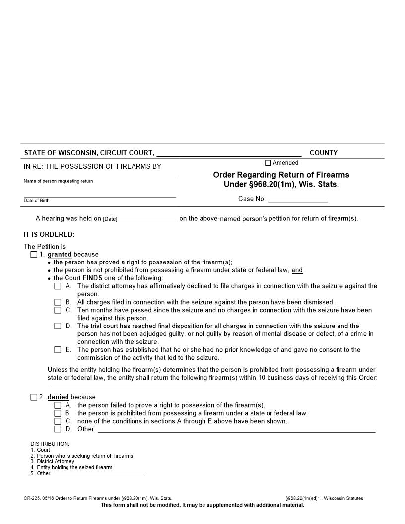
STATE OF WISCONSIN, CIRCUIT COURT, IN RE: THE POSSESSION OF FIREARMS BY Name of person requesting return COUNTY Amended Order Regarding Return of Firearms under § 968.20(1m), Wis. Stats. Case No. Date of Birth A hearing was held on [Date] IT IS ORDERED: on the above-named person's petition for return of firearm(s). 1. The petition is granted because: The person has proved a right to possession of the firearm(s). The person is not prohibited from possessing a firearm under state or federal law. and the Court FINDS one of the following: A. The district attorney has affirmatively declined to file charges in connection with the seizure against the person. B. All charges filed in connection with the seizure against the person have been dismissed. C. Ten months have passed since the seizure and no charges in connection with the seizure have been filed against this person. D. The trial court has reached final disposition for all charges in connection with the seizure and the person has not been adjudged guilty, or not guilty by reason of mental disease or defect, of a crime in connection with the seizure. E. The person has established that he or she had no prior knowledge of and gave no consent to the commission of the activity that led to the seizure. Unless the entity holding the firearm(s) determines that the person is prohibited from possessing a firearm under state or federal law, the entity shall return the following firearm(s) within 10 business days of receiving this order: 2. The petition is denied because: A. The person failed to prove a right to possession of the firearm(s). B. The person is prohibited from possessing a firearm under a state or federal law. C. None of the conditions in sections A through E above have been shown. D. Other: THIS IS A FINAL ORDER FOR PURPOSES OF APPEAL. BY THE COURT: Circuit Court Judge Title (Print or Type Name if not eSigned) DISTRIBUTION: 1. Court 2. Person who is seeking return of firearms 3. District Attorney 4. Entity holding the seized firearm 5. Other: Date CR-225, 05/16 Order to Return Firearms under §968.20(1m), Wis. Stats. §968.20(1m)(d)1., Wisconsin Statutes American LegalNet, Inc. www.FormsWorkFlow.com This form shall not be modified. It may be supplemented with additional material.
Related forms
-
Order Denying Petition For Supervised Release
Wisconsin/Statewide/Circuit Court/Criminal/ -
Order For Exemption
Wisconsin/Statewide/Circuit Court/Criminal/ -
Order For Supervised Release Plan
Wisconsin/Statewide/Circuit Court/Criminal/ -
Original Adult Court Jurisdiction Order
Wisconsin/Statewide/Circuit Court/Criminal/ -
Order For Examination Under 971.17(4)(c) (Not Guilty By Reason Of Mental Disease Or Defect)
Wisconsin/Statewide/Circuit Court/Criminal/ -
Order For Predisposition Investigation (Not Guilty By Reason Of Mental Disease Or Defect)
Wisconsin/Statewide/Circuit Court/Criminal/ -
Order For Supplementary Mental Examination (Not Guilty By Reason Of Mental Disease Or Defect)
Wisconsin/Statewide/Circuit Court/Criminal/ -
Verification Of Date Of Release To Extended Supervision
Wisconsin/Statewide/Circuit Court/Criminal/ -
Order On Petition For Determination Of Eligibility For The Substance Abuse Program
Wisconsin/Statewide/Circuit Court/Criminal/ -
Petition For Determination Of Eligibility For The Substance Abuse Program
Wisconsin/Statewide/Circuit Court/Criminal/ -
Order On Petition To Expunge Court Record Of Conviction
Wisconsin/Statewide/Circuit Court/Criminal/ -
Order For Competency Examination By Department Of Health Services
Wisconsin/Statewide/Circuit Court/Criminal/ -
Order Concerning Sentence Adjustment
Wisconsin/Statewide/Circuit Court/Criminal/ -
Order Directing Compensation For Special Prosecutor
Wisconsin/Statewide/Circuit Court/Criminal/ -
Order On Petition For Civil Judgment For Restitution-Court Ordered Financial Obligations
Wisconsin/Statewide/Circuit Court/Criminal/ -
DA Response On Petition For Sentence Adjustment
Wisconsin/1 Statewide/Circuit Court/Criminal/ -
Petition For Positive Adjustment Time
Wisconsin/Statewide/Circuit Court/Criminal/ -
Petition For Sentence Adjustment
Wisconsin/Statewide/Circuit Court/Criminal/ -
Petition To Modify Bifurcated Sentence (Geriatric-Extraordinary Health Condition)
Wisconsin/Statewide/Circuit Court/Criminal/ -
Petition To Modify Court Imposed Conditions Of Extended Supervision
Wisconsin/Statewide/Circuit Court/Criminal/ -
Request For Appointment Of Special Prosecutor
Wisconsin/Statewide/Circuit Court/Criminal/ -
Order On Competency
Wisconsin/Statewide/Circuit Court/Criminal/ -
Order On Petition To Revoke Conditional Release (Not Guilty By Reason Of Mental Disease Or Defect)
Wisconsin/Statewide/Circuit Court/Criminal/ -
Referral By Department Of Corrections To Sentencing Court (Geriatric-Extraordinary Health Condition)
Wisconsin/Statewide/Circuit Court/Criminal/ -
Order For Supervised Release
Wisconsin/Statewide/Circuit Court/Criminal/ -
Appointment Of Special Prosecutor Under Chapter 978
Wisconsin/Statewide/Circuit Court/Criminal/ -
Judgment And Commitment Order For Sexually Violent Person
Wisconsin/Statewide/Circuit Court/Criminal/ -
Notice To DA On Petition For Sentence Adjustment
Wisconsin/1 Statewide/Circuit Court/Criminal/ -
Order Concerning Sentence Modification (Geriatric-Extraordinary Health Condition)
Wisconsin/Statewide/Circuit Court/Criminal/ -
Order For Conditional Release Plan (Not Guilty By Reason Of Mental Disease Or Defect)
Wisconsin/Statewide/Circuit Court/Criminal/ -
Order Modifying Court Imposed Conditions Of Extended Supervision
Wisconsin/Statewide/Circuit Court/Criminal/ -
Order Regarding Return Of Firearms
Wisconsin/Statewide/Circuit Court/Criminal/ -
Written Explanation Of Determinate Life Sentence
Wisconsin/Statewide/Circuit Court/Criminal/ -
Order-Judgment (Order Extending Probation For Unpaid Court Obligations-Restitution)
Wisconsin/Statewide/Circuit Court/Criminal/ -
Petition And Stipulation To Waive Appearance And Hearing
Wisconsin/Statewide/Circuit Court/Criminal/ -
Order For Examination (Not Guilty By Reason Of Mental Disease Or Defect)
Wisconsin/Statewide/Circuit Court/Criminal/ -
Order For Validated Risk Assessment{CR-288}
Wisconsin/Statewide/Circuit Court/Criminal/ -
Order Concerning Positive Adjustment Time
Wisconsin/Statewide/Circuit Court/Criminal/ -
Petition For Early Discharge From Probation
Wisconsin/Statewide/Circuit Court/Criminal/ -
Order Of Commitment (Not Guilty By Reason Of Mental Disease Or Defect)
Wisconsin/Statewide/Circuit Court/Criminal/ -
Order On Petition For Early Discharge From Probation
Wisconsin/Statewide/Circuit Court/Criminal/ -
Notice Of Right To Seek Postconviction Relief
Wisconsin/Statewide/Circuit Court/Criminal/ -
Written Explanation Of Determinate Sentence
Wisconsin/Statewide/Circuit Court/Criminal/ -
Plea Questionnaire - Waiver Of Rights
Wisconsin/Statewide/Circuit Court/Criminal/ -
Waiver Of Right To Attorney
Wisconsin/Statewide/Circuit Court/Criminal/ -
Notice Of Hearing (Criminal-Traffic)
Wisconsin/Statewide/Circuit Court/Criminal/ -
Order For Placement (Not Guilty By Reason Of Mental Disease Or Defect)
Wisconsin/Statewide/Circuit Court/Criminal/ -
Petition For Civil Judgment For Restitution-Court Ordered Financial Obligations
Wisconsin/Statewide/Circuit Court/Criminal/ -
Oath And Consent To Serve As Special Prosecutor
Wisconsin/Statewide/Circuit Court/Criminal/ -
Petition Directing Compensation For Special Prosecutor
Wisconsin/Statewide/Circuit Court/Criminal/ -
Probable Cause Statement And Judicial Determination
Wisconsin/1 Statewide/Circuit Court/Criminal/ -
Petition For Exemption
Wisconsin/Statewide/Circuit Court/Criminal/ -
Verification Of Time Served
Wisconsin/Statewide/Circuit Court/Criminal/ -
Department Of Corrections Approval To File Petition For Determination Of Eligibility For The Substance Abuse Program
Wisconsin/Statewide/Circuit Court/Criminal/ -
Petition To Expunge Court Record
Wisconsin/Statewide/Circuit Court/Criminal/ -
Verification Of Positive Adjustment Time Earned
Wisconsin/Statewide/Circuit Court/Criminal/ -
Order Of Commitment For Treatment (Incompetency)
Wisconsin/Statewide/Circuit Court/Criminal/ -
Victim Notice Of Rights
Wisconsin/Statewide/Circuit Court/Criminal/ -
Victim Notification Card
Wisconsin/Statewide/Circuit Court/Criminal/
Form Preview
Contact Us
Success: Your message was sent.
Thank you!




