California Jury Instructions
12 Products Liability
200 Ratings
Last updated: 7/13/2021
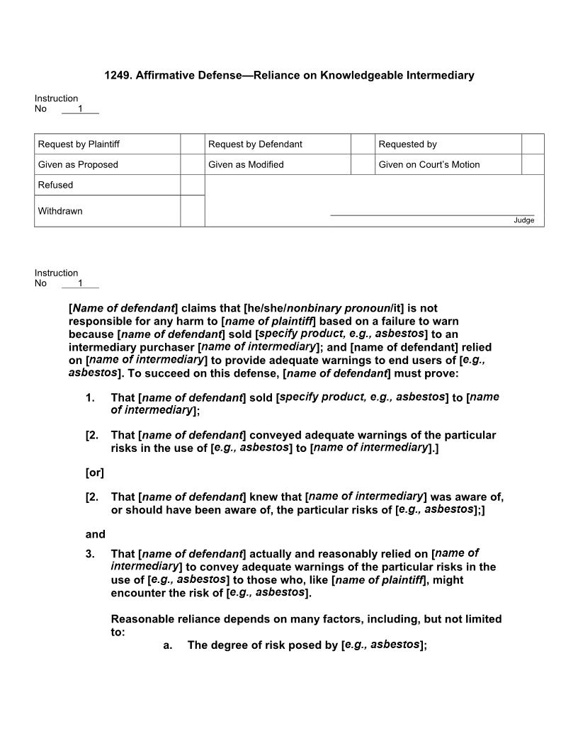
1249. Affirmative Defense-Reliance on Knowledgeable Intermediary
Start Your Free Trial $ 13.99What you get:
- Instant access to fillable Microsoft Word or PDF forms.
- Minimize the risk of using outdated forms and eliminate rejected fillings.
- Largest forms database in the USA with more than 80,000 federal, state and agency forms.
- Download, edit, auto-fill multiple forms at once in MS Word using our Forms Workflow Ribbon
- Trusted by 1,000s of Attorneys and Legal Professionals
Description
specify product, e.g., asbestosname of intermediaryname of intermediarye.g., asbestos specify product, e.g., asbestosname of intermediary e.g., asbestosname of intermediary name of intermediarye.g., asbestos name ofintermediarye.g., asbestose.g., asbestose.g., asbestos e.g., asbestosname of intermediarye.g., asbestosname ofintermediaryname of intermediarye.g., asbestosname of intermediaryname of intermediary New May 2017
Related forms
-
1207B. Strict Liability Comparative Fault of Third Person
California Jury Instructions/12 Products Liability/ -
1208. Component Parts Rule
California Jury Instructions/12 Products Liability/ -
1200. Strict Liability Essential Factual Elements
California Jury Instructions/12 Products Liability/ -
1207A. Strict Liability Comparative Fault of Plaintiff
California Jury Instructions/12 Products Liability/ -
1224. Negligence Negligence for Product Rental or Standard of Care
California Jury Instructions/12 Products Liability/ -
1232. Implied Warranty of Fitness for a Particular Purpose Essential Factual Elements
California Jury Instructions/12 Products Liability/ -
1233. Implied Warranty of Merchantability for Food Essential Factual Elements
California Jury Instructions/12 Products Liability/ -
1240. Affirmative Defense to Express Warranty Not Basis of Bargain
California Jury Instructions/12 Products Liability/ -
1241. Affirmative Defense Exclusion or Modification of Express Warranty
California Jury Instructions/12 Products Liability/ -
1242. Affirmative Defense Exclusion of Implied Warranties
California Jury Instructions/12 Products Liability/ -
1243. Notification or Reasonable Time
California Jury Instructions/12 Products Liability/ -
1201. Strict Liability Manufacturing Defect Essential Factual Elements
California Jury Instructions/12 Products Liability/ -
1202. Strict Liability Manufacturing Defect Explained
California Jury Instructions/12 Products Liability/ -
1205. Strict Liability Failure to Warn Essential Factual Elements
California Jury Instructions/12 Products Liability/ -
1203. Strict Liability Design Defect Consumer Expectation Test Essential Factual Elements
California Jury Instructions/12 Products Liability/ -
1206. Strict Liability Failure to Warn Products Containing
California Jury Instructions/12 Products Liability/ -
1220. Negligence Essential Factual Elements
California Jury Instructions/12 Products Liability/ -
1221. Negligence Basic Standard of Care
California Jury Instructions/12 Products Liability/ -
1222. Negligence Manufacturer or Supplier Duty to Warn Essential Factual Elements
California Jury Instructions/12 Products Liability/ -
1230. Express Warranty Essential Factual Elements
California Jury Instructions/12 Products Liability/ -
1244. Affirmative Defense Sophisticated User
California Jury Instructions/12 Products Liability/ -
1245. Affirmative Defense Product Misuse or Modification
California Jury Instructions/12 Products Liability/ -
1248. Affirmative Defense Inherently Unsafe Consumer Product (Civ. Code, 1714.45)
California Jury Instructions/12 Products Liability/ -
1249. Affirmative Defense-Reliance on Knowledgeable Intermediary
California Jury Instructions/12 Products Liability/ -
1223. Negligence Recall or Retrofit
California Jury Instructions/12 Products Liability/ -
1231. Implied Warranty of Merchantability Essential Factual Elements
California Jury Instructions/12 Products Liability/ -
1204. Strict Liability Design Defect Risk Benefit Test Essential Factual Elements Shifting Burden of Proof
California Jury Instructions/12 Products Liability/ -
VF 1200. Strict Products Liability Manufacturing Defect Comparative Fault At Issue
California Jury Instructions/12 Products Liability/ -
VF 1201. Strict Products Liability Design Defect Affirmative Defense Misuse Or Modification
California Jury Instructions/12 Products Liability/ -
VF 1202. REVOKED Strict Products Liability Design Defect Risk-Benefit Test
California Jury Instructions/12 Products Liability/ -
VF 1203. Strict Products Liability Failure To Warn
California Jury Instructions/12 Products Liability/ -
VF 1204. Products Liability Negligence Comparative Fault Of Plaintiff At Issue
California Jury Instructions/12 Products Liability/ -
VF 1205. Products Liability Negligent Failure To Warn
California Jury Instructions/12 Products Liability/ -
VF 1206. Products Liability Express Warranty Affirmative Defense Not Basis Of Bargain
California Jury Instructions/12 Products Liability/ -
VF 1207. Products Liability Implied Warranty Of Merchantability Affirmative Defense Exclusion Of Implied Warranties
California Jury Instructions/12 Products Liability/ -
VF 1208. Products Liability Implied Warranty Of Fitness For A Particular Purpose
California Jury Instructions/12 Products Liability/ -
1246. Affirmative Defense Design Defect Government Contractor
California Jury Instructions/12 Products Liability/ -
1247. Affirmative Defense Failure to Warn Government Contractor
California Jury Instructions/12 Products Liability/
Form Preview
Sorry, we couldn't download the pdf file.
Our Products
Contact Us
Success: Your message was sent.
Thank you!




