California Jury Instructions
12 Products Liability
200 Ratings
Last updated: 7/12/2021
1205. Strict Liability Failure to Warn Essential Factual Elements
Start Your Free Trial $ 13.99What you get:
- Instant access to fillable Microsoft Word or PDF forms.
- Minimize the risk of using outdated forms and eliminate rejected fillings.
- Largest forms database in the USA with more than 80,000 federal, state and agency forms.
- Download, edit, auto-fill multiple forms at once in MS Word using our Forms Workflow Ribbon
- Trusted by 1,000s of Attorneys and Legal Professionals
Description
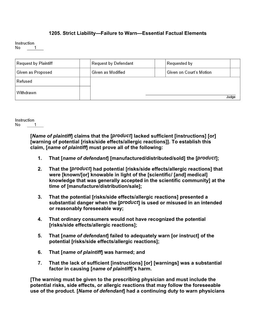
Instruction No 1 Request by Plaintiff Request by Defendant Requested by Given as Proposed Given as Modified Given on Court222s Motion Refused Withdrawn Judge Instruction No 1 productproductproductproductInstruction No 1 Request by Plaintiff Request by Defendant Requested by Given as Proposed Given as Modified Given on Court222s Motion Refused Withdrawn Judge Instruction No 1 New September 2003; Revised April 2009, December 2009, June 2011, December 2011
Related forms
-
1207B. Strict Liability Comparative Fault of Third Person
California Jury Instructions/12 Products Liability/ -
1208. Component Parts Rule
California Jury Instructions/12 Products Liability/ -
1200. Strict Liability Essential Factual Elements
California Jury Instructions/12 Products Liability/ -
1207A. Strict Liability Comparative Fault of Plaintiff
California Jury Instructions/12 Products Liability/ -
1224. Negligence Negligence for Product Rental or Standard of Care
California Jury Instructions/12 Products Liability/ -
1232. Implied Warranty of Fitness for a Particular Purpose Essential Factual Elements
California Jury Instructions/12 Products Liability/ -
1233. Implied Warranty of Merchantability for Food Essential Factual Elements
California Jury Instructions/12 Products Liability/ -
1240. Affirmative Defense to Express Warranty Not Basis of Bargain
California Jury Instructions/12 Products Liability/ -
1241. Affirmative Defense Exclusion or Modification of Express Warranty
California Jury Instructions/12 Products Liability/ -
1242. Affirmative Defense Exclusion of Implied Warranties
California Jury Instructions/12 Products Liability/ -
1243. Notification or Reasonable Time
California Jury Instructions/12 Products Liability/ -
1201. Strict Liability Manufacturing Defect Essential Factual Elements
California Jury Instructions/12 Products Liability/ -
1202. Strict Liability Manufacturing Defect Explained
California Jury Instructions/12 Products Liability/ -
1205. Strict Liability Failure to Warn Essential Factual Elements
California Jury Instructions/12 Products Liability/ -
1203. Strict Liability Design Defect Consumer Expectation Test Essential Factual Elements
California Jury Instructions/12 Products Liability/ -
1206. Strict Liability Failure to Warn Products Containing
California Jury Instructions/12 Products Liability/ -
1220. Negligence Essential Factual Elements
California Jury Instructions/12 Products Liability/ -
1221. Negligence Basic Standard of Care
California Jury Instructions/12 Products Liability/ -
1222. Negligence Manufacturer or Supplier Duty to Warn Essential Factual Elements
California Jury Instructions/12 Products Liability/ -
1230. Express Warranty Essential Factual Elements
California Jury Instructions/12 Products Liability/ -
1244. Affirmative Defense Sophisticated User
California Jury Instructions/12 Products Liability/ -
1245. Affirmative Defense Product Misuse or Modification
California Jury Instructions/12 Products Liability/ -
1248. Affirmative Defense Inherently Unsafe Consumer Product (Civ. Code, 1714.45)
California Jury Instructions/12 Products Liability/ -
1249. Affirmative Defense-Reliance on Knowledgeable Intermediary
California Jury Instructions/12 Products Liability/ -
1223. Negligence Recall or Retrofit
California Jury Instructions/12 Products Liability/ -
1231. Implied Warranty of Merchantability Essential Factual Elements
California Jury Instructions/12 Products Liability/ -
1204. Strict Liability Design Defect Risk Benefit Test Essential Factual Elements Shifting Burden of Proof
California Jury Instructions/12 Products Liability/ -
VF 1200. Strict Products Liability Manufacturing Defect Comparative Fault At Issue
California Jury Instructions/12 Products Liability/ -
VF 1201. Strict Products Liability Design Defect Affirmative Defense Misuse Or Modification
California Jury Instructions/12 Products Liability/ -
VF 1202. REVOKED Strict Products Liability Design Defect Risk-Benefit Test
California Jury Instructions/12 Products Liability/ -
VF 1203. Strict Products Liability Failure To Warn
California Jury Instructions/12 Products Liability/ -
VF 1204. Products Liability Negligence Comparative Fault Of Plaintiff At Issue
California Jury Instructions/12 Products Liability/ -
VF 1205. Products Liability Negligent Failure To Warn
California Jury Instructions/12 Products Liability/ -
VF 1206. Products Liability Express Warranty Affirmative Defense Not Basis Of Bargain
California Jury Instructions/12 Products Liability/ -
VF 1207. Products Liability Implied Warranty Of Merchantability Affirmative Defense Exclusion Of Implied Warranties
California Jury Instructions/12 Products Liability/ -
VF 1208. Products Liability Implied Warranty Of Fitness For A Particular Purpose
California Jury Instructions/12 Products Liability/ -
1246. Affirmative Defense Design Defect Government Contractor
California Jury Instructions/12 Products Liability/ -
1247. Affirmative Defense Failure to Warn Government Contractor
California Jury Instructions/12 Products Liability/
Form Preview
Sorry, we couldn't download the pdf file.
Our Products
Contact Us
Success: Your message was sent.
Thank you!




