Last updated: 8/13/2021
Summons-Foreign And Domestic Attachment {CIV_SUM_02_A}
Start Your Free Trial $ 6.00What you get:
- Instant access to fillable Microsoft Word or PDF forms.
- Minimize the risk of using outdated forms and eliminate rejected fillings.
- Largest forms database in the USA with more than 80,000 federal, state and agency forms.
- Download, edit, auto-fill multiple forms at once in MS Word using our Forms Workflow Ribbon
- Trusted by 1,000s of Attorneys and Legal Professionals
Description
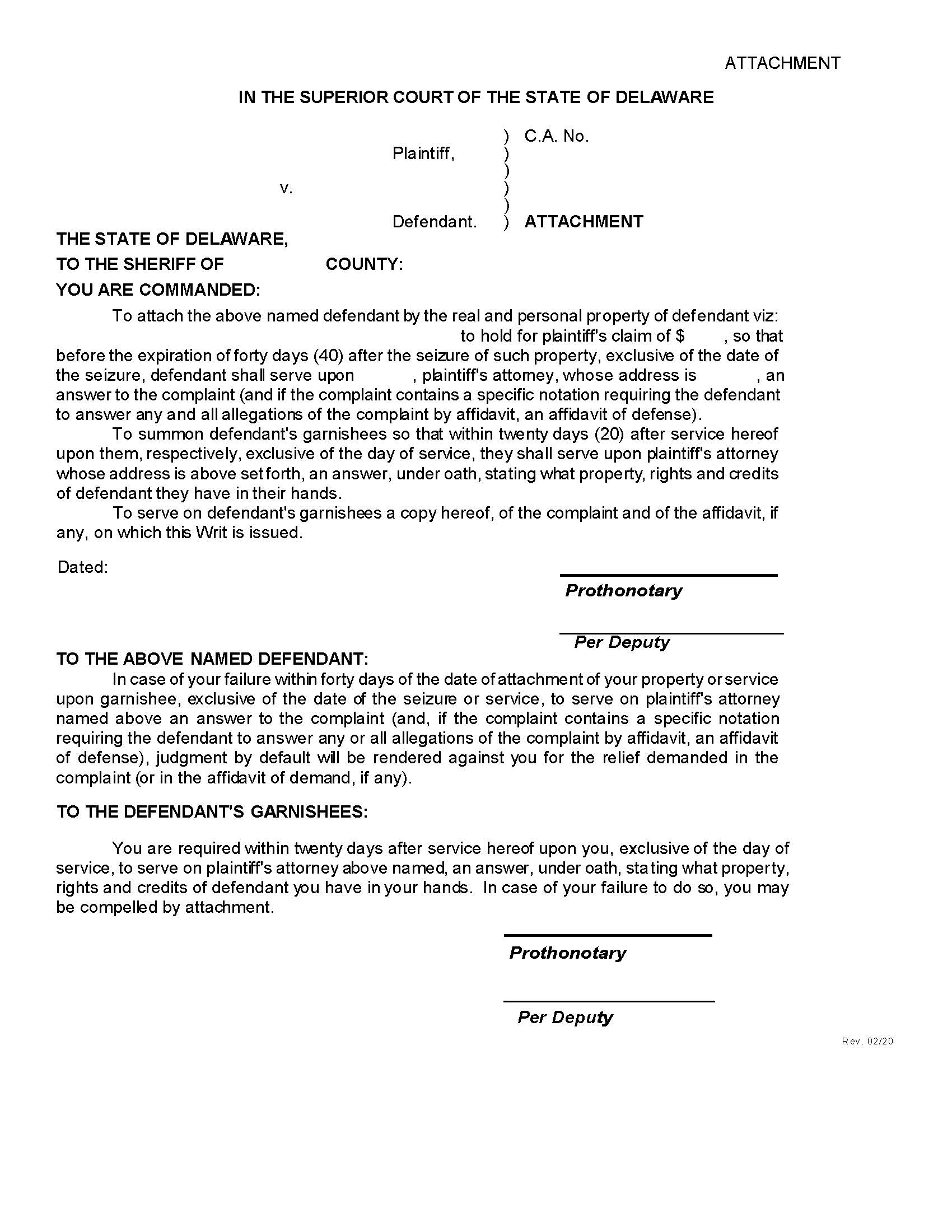
ATTACHMENT. This form is used in the Superior Court of the State of Delaware to initiate a legal process by which a plaintiff seeks to secure or seize a defendant's real or personal property in order to satisfy a potential judgment. The form commands the sheriff to attach specified property belonging to the defendant and to notify any garnishees—third parties holding property or assets of the defendant—to disclose what assets they possess. It outlines the timeframes for both the defendant and the garnishees to respond: the defendant must answer the complaint within forty days of the attachment, and the garnishees must provide a sworn answer within twenty days of service. Failure to comply with these deadlines can result in a default judgment against the defendant or enforcement measures against the garnishees. www.FormsWorkflow.com
Related forms
-
Mechanics Lien (Scire Facias Sur Mechanics Lien)
Delaware/Statewide/Superior Court/ -
Media Electronic Devices-Form And Guidelines
Delaware/Statewide/Superior Court/ -
Cover Document To Be Served With Order And Notice Of Scheduling Hearing
Delaware/Statewide/Superior Court/ -
Form 30 (Civil Rule 5(b)(1))-Interrogatories Personal Injury
Delaware/1 Statewide/Superior Court/ -
Affidavit In Support Of Compliance With The Cares Act
Delaware/1 Statewide/Superior Court/ -
Bail Motion For Relief As Bondsperson With Instructions
Delaware/Statewide/Superior Court/ -
HB 222 Cover Document To Be Served With Order
Delaware/1 Statewide/Superior Court/ -
HB 222 Order On Petitioners Request To Re-Schedule Hearing LPVO
Delaware/1 Statewide/Superior Court/ -
HB 222 Order And Notice Of Scheduled Hearing Following JP Ct Issuance
Delaware/1 Statewide/Superior Court/ -
HB 222 Order Regarding Respondents Request To Re-Schedule Hearing On Petition LPVO
Delaware/1 Statewide/Superior Court/ -
HB 222 Order To Schedule Hearing On Request To Terminate
Delaware/1 Statewide/Superior Court/ -
HB 222 Petitioners Request To Reschedule Hearing On Petition LPVO
Delaware/1 Statewide/Superior Court/ -
HB 222 Respondents Request To Reschedule Hearing On Petition LPVO
Delaware/1 Statewide/Superior Court/ -
HB 302 Respondents Request To Reschedule Hearing On Petition WRO
Delaware/1 Statewide/Superior Court/ -
HB 302 Motion For Additional Time To File Petition WRO
Delaware/1 Statewide/Superior Court/ -
HB 302 Order Granting Order Of Relinquishment WRO
Delaware/1 Statewide/Superior Court/ -
HB 302 Notice Of Petition And Order Scheduling Hearing-Cover Document
Delaware/1 Statewide/Superior Court/ -
HB 302 Order Regarding Petitioners Request To Re-Schedule Hearing On Petition WRO
Delaware/1 Statewide/Superior Court/ -
HB 302 Order On Petitioners Motion For Additional Time To File Petition
Delaware/1 Statewide/Superior Court/ -
HB 302 Order Denying Petition For Order Of Relinquishment WRO
Delaware/1 Statewide/Superior Court/ -
HB 302 Petitioners Request To Reschedule Hearing On Petition WRO
Delaware/1 Statewide/Superior Court/ -
HB 302 Petition WRO
Delaware/1 Statewide/Superior Court/ -
HB 302 Order To Schedule Hearing On Petition WRO
Delaware/1 Statewide/Superior Court/ -
HB 302 Order Regarding Respondents Request To Re-Schedule Hearing On Petition WRO
Delaware/1 Statewide/Superior Court/ -
Pro Hac Vice Admission (Form 40)
Delaware/1 Statewide/Superior Court/ -
Reduction-Modification Of Sentence Motion
Delaware/1 Statewide/Superior Court/ -
Weapons Reference Questionnaire (Concealed Deadly Weapon)
Delaware/1 Statewide/Superior Court/ -
Appeal From Court of Common Pleas
Delaware/1 Statewide/Superior Court/ -
Arraignment By Prior Pleading And Entry Of Appearance (New Castle)
Delaware/1 Statewide/Superior Court/ -
Appeal From An Administrative Agency
Delaware/1 Statewide/Superior Court/ -
Attorney Document Request
Delaware/1 Statewide/Superior Court/ -
Application For Access To Court Records
Delaware/1 Statewide/Superior Court/ -
Bankruptcy Notice Of And Certificate Of Service (Form 47)
Delaware/1 Statewide/Superior Court/ -
Bail Registration Form (For Bail Agent Or Business Entity)
Delaware/1 Statewide/Superior Court/ -
Bail Affidavit By Individual Owner Posting Cash Security
Delaware/1 Statewide/Superior Court/ -
Complaint Form (Policy And Procedure With English And Spanish Forms)
Delaware/1 Statewide/Superior Court/ -
Certification Of Unknown Defendant(s) (Form 33)
Delaware/1 Statewide/Superior Court/ -
Civil Form 46 For Pretrial Stipulations (Form 46)
Delaware/1 Statewide/Superior Court/ -
Form 48-Rule 107(h)(2)(B)
Delaware/1 Statewide/Superior Court/ -
Industrial Accident Board Appeal (Workmans Compensation)
Delaware/1 Statewide/Superior Court/ -
In Forma Pauperis Affidavit In Support Of Application To Proceed
Delaware/1 Statewide/Superior Court/ -
Post Conviction Relief (Motion For Postconviction Relief)
Delaware/1 Statewide/Superior Court/ -
Request For Physical Exam (Form 34)
Delaware/1 Statewide/Superior Court/ -
Mediators Report
Delaware/1 Statewide/Superior Court/ -
Return Of Property Petition With Instructions
Delaware/1 Statewide/Superior Court/ -
Praecipe (Civil With Sample)
Delaware/1 Statewide/Superior Court/ -
Mortgage Foreclosure Mediation Writ (Automated Residential)
Delaware/1 Statewide/Superior Court/ -
Restoration Of Drivers License-Petition With Instructions
Delaware/1 Statewide/Superior Court/ -
Summons-Plaintiff Third-Party
Delaware/1 Statewide/Superior Court/ -
Summons-Defendant Third-Party
Delaware/1 Statewide/Superior Court/ -
Summons-Foreign And Domestic Attachment
Delaware/1 Statewide/Superior Court/ -
Trade Business And Fictitious Name Termination Affidavit
Delaware/1 Statewide/Superior Court/ -
Subpoena Civil-Form (Out of State Subpoena In A Civil Case)
Delaware/1 Statewide/Superior Court/ -
Writ Levari Facias Mechanics Lien
Delaware/1 Statewide/Superior Court/ -
Trade Business And Fictitious Name Registration Certificate
Delaware/1 Statewide/Superior Court/ -
Weapons Application For New-Renewal License To Carry A Concealed A Deadly Weapon
Delaware/1 Statewide/Superior Court/ -
Trade Business And Fictitious Name Supplemental Registration Change
Delaware/1 Statewide/Superior Court/ -
Unemployment Insurance Appeal Board Appeal (UIAB)
Delaware/1 Statewide/Superior Court/ -
Writ Levari Facias Real Estate
Delaware/1 Statewide/Superior Court/ -
Writ Testatum Fi Fa
Delaware/1 Statewide/Superior Court/ -
Writ-Writ Of Possession (Superior Court)
Delaware/1 Statewide/Superior Court/ -
Expungement Order Granting-In Part and Denying In Part Form
Delaware/1 Statewide/Superior Court/ -
Expungement Petition Form
Delaware/1 Statewide/Superior Court/ -
Expungement Petition Form Additional Charges Extension Sheet
Delaware/Statewide/Superior Court/ -
Expungement New Order Granting After Pardon
Delaware/1 Statewide/Superior Court/ -
Expungement Order Denying After Hearing Form
Delaware/1 Statewide/Superior Court/ -
Expungement Order Granting Form
Delaware/1 Statewide/Superior Court/ -
Continuance Request
Delaware/1 Statewide/Superior Court/ -
Expungement Order Denying-No Hearing Form
Delaware/1 Statewide/Superior Court/ -
Transcript Request Form
Delaware/Statewide/Superior Court/ -
Satisfaction Of Judgment-Attorney Duly Constituted Form
Delaware/Statewide/Superior Court/ -
Sex Offender Tier Redesignation Or Relief
Delaware/1 Statewide/Superior Court/ -
Civil Case Information Statement (CIS)
Delaware/1 Statewide/Superior Court/ -
Affidavit Of Consent Of Non-Petitioning Parent
Delaware/Statewide/Superior Court/ -
Minor Settlement Affidavit Of Petitioner For Annuity
Delaware/Statewide/Superior Court/ -
Minor Settlement Notice Of Petition For Minor Tort Settlement
Delaware/Statewide/Superior Court/ -
Minor Settlement Order For Annuity
Delaware/Statewide/Superior Court/ -
Minor Settlement Petition For Approval Annuity
Delaware/Statewide/Superior Court/ -
Minor Settlement Petition For Approval UTMA Account
Delaware/Statewide/Superior Court/ -
Minor Settlement UTMA Account Order
Delaware/Statewide/Superior Court/ -
UTMA Account Annuity Order
Delaware/Statewide/Superior Court/
Form Preview
Contact Us
Success: Your message was sent.
Thank you!




