Last updated: 11/19/2020
Statement Of Transferee To Accompany Application For Consent To Transfer Securities {DFPI-260.151(b)}
Start Your Free Trial $ 13.99What you get:
- Instant access to fillable Microsoft Word or PDF forms.
- Minimize the risk of using outdated forms and eliminate rejected fillings.
- Largest forms database in the USA with more than 80,000 federal, state and agency forms.
- Download, edit, auto-fill multiple forms at once in MS Word using our Forms Workflow Ribbon
- Trusted by 1,000s of Attorneys and Legal Professionals
Description
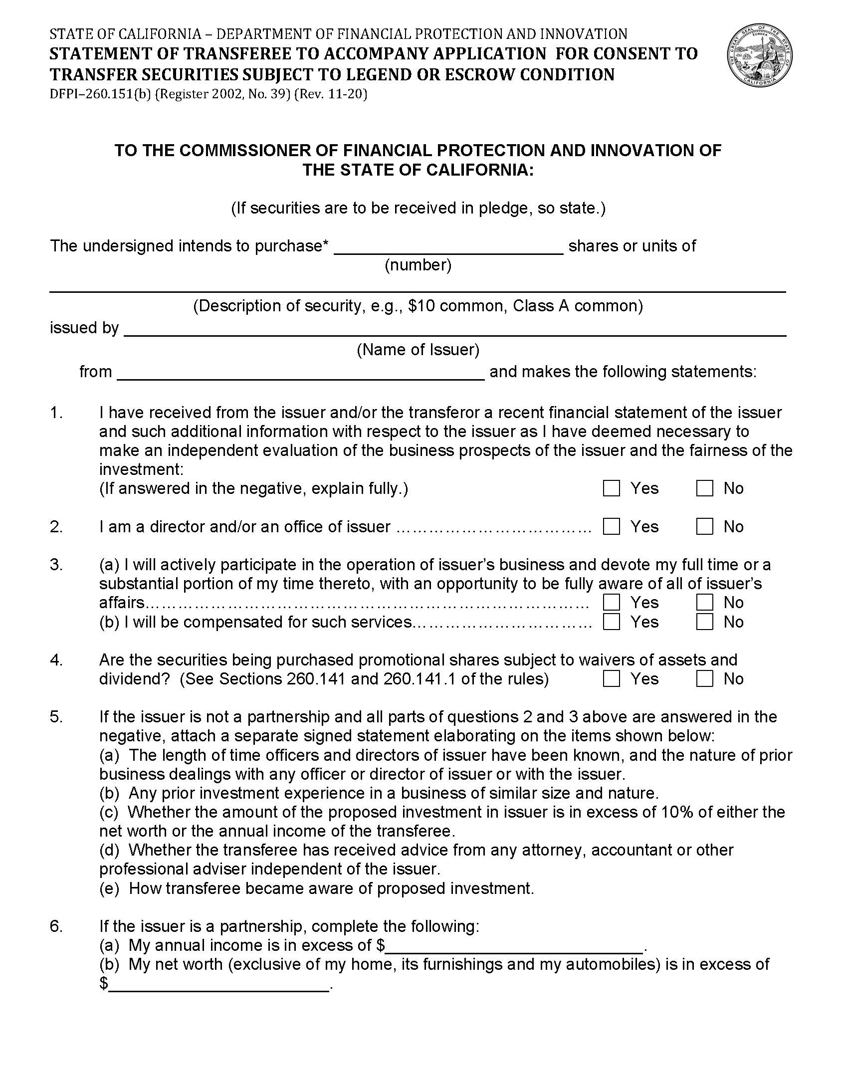
DFPI-260.151(b), STATEMENT OF TRANSFEREE TO ACCOMPANY APPLICATION FOR CONSENT TO TRANSFER SECURITIES SUBJECT TO LEGEND OR ESCROW CONDITION, Include rights, warrants, and options and the securities to be transferred upon exercise thereof. If the transferee is other than an individual, the name of the entity should be typed or printed beside the signature line exactly as shown in Item 4 of the Transferor’s Application (Form 260.151). The signature should show the name and title of the person authorized to sign for the transferee. (Register 2002, No. 39) (Rev. 11-20). www.FormsWorkflow.com
Related forms
-
Notice Of Issuance Of Securities By An Investment Company
California/Secretary Of State/Blue Sky/Securities Regulation Division/ -
Request For Designation As An Exempt Organization Pursuant To Subdivision (K)
California/Secretary Of State/Blue Sky/Securities Regulation Division/ -
Request For Order Of Exemption Pursuant To Subdivision (l) Of Section 25100
California/Secretary Of State/Blue Sky/Securities Regulation Division/ -
Notice Of Issuance Of Shares Pursuant To Subdivision (H) Of Section 25102
California/Secretary Of State/Blue Sky/Securities Regulation Division/ -
Consent To Service Of Process
California/Secretary Of State/Blue Sky/Securities Regulation Division/ -
Notice Of Exchange Transaction Or Entity Conversion Pursuant To Corporations Code Section 25103(h)
California/Secretary Of State/Blue Sky/Securities Regulation Division/ -
Notice Of Transaction Under Rule 260.105.33 And-Or 260.105.34
California/Secretary Of State/Blue Sky/Securities Regulation Division/ -
Facing Page
California/Secretary Of State/Blue Sky/Securities Regulation Division/ -
Application For Qualification By Coordination
California/Secretary Of State/Blue Sky/Securities Regulation Division/ -
Instructions for Application for Qualification of Issuer Transactions by Notification (Section 260.112)
California/Secretary Of State/Blue Sky/Securities Regulation Division/ -
Instructions For Application By Permit
California/Secretary Of State/Blue Sky/Securities Regulation Division/ -
Application For Qualification Of Recapitalizations And Reorganizations
California/Secretary Of State/Blue Sky/Securities Regulation Division/ -
Facing Page For Qualification Of Nonissuer Transaction By Notification
California/Secretary Of State/Blue Sky/Securities Regulation Division/ -
Contractual Periodic Payment Plan Standards Guidelines
California/5 Secretary Of State/Blue Sky/Securities Regulation Division/ -
Notice Of Release Of Securities From Escrow
California/Secretary Of State/Blue Sky/Securities Regulation Division/ -
Semi-Annual Report Pursuant To Section 25146
California/5 Secretary Of State/Blue Sky/Securities Regulation Division/ -
Application For Consent To Transfer Securities
California/Secretary Of State/Blue Sky/Securities Regulation Division/ -
Statement Of Transferee To Accompany Application For Consent To Transfer Securities
California/Secretary Of State/Blue Sky/Securities Regulation Division/ -
Consent To Service Of Process
California/Secretary Of State/Blue Sky/Securities Regulation Division/ -
Minimum Financial Requirement Worksheet
California/Secretary Of State/Blue Sky/Securities Regulation Division/ -
Small Corporate Offering Registration Form
California/Secretary Of State/Blue Sky/Securities Regulation Division/ -
Application For Approval As To Form Of An Offer To Repurchase A Security
California/Secretary Of State/Blue Sky/Securities Regulation Division/ -
Application For Removal Of Condition
California/Secretary Of State/Blue Sky/Securities Regulation Division/ -
Customer Authorization Of Disclosure Of Financial Records
California/Secretary Of State/Blue Sky/Securities Regulation Division/ -
First Notice Of Transaction Pursuant To Corporations Code Section 25102(n)
California/Secretary Of State/Blue Sky/Securities Regulation Division/ -
Real Estate Related Information Required Pursuant To Corporations Code Section 25102.2
California/Secretary Of State/Blue Sky/Securities Regulation Division/ -
Second Notice Of Transaction Pursuant To Corporations Code Section 25102(n)
California/Secretary Of State/Blue Sky/Securities Regulation Division/ -
California Crowdfunding Exemption Notice
California/Secretary Of State/Blue Sky/Securities Regulation Division/ -
Notice Of Transaction Pursuant To Corporations Code Section 25102(f)
California/Secretary Of State/Blue Sky/Securities Regulation Division/ -
Limited Offering Exemption Notice Packet Corporations Code
California/5 Secretary Of State/Blue Sky/Securities Regulation Division/ -
Notice Of Issuance Of Securities Pursuant To Subdivision (O) Of Section 25102
California/Secretary Of State/Blue Sky/Securities Regulation Division/
Form Preview
Contact Us
Success: Your message was sent.
Thank you!




