California Jury Instructions
04 Negligence
200 Ratings
Last updated: 9/24/2020
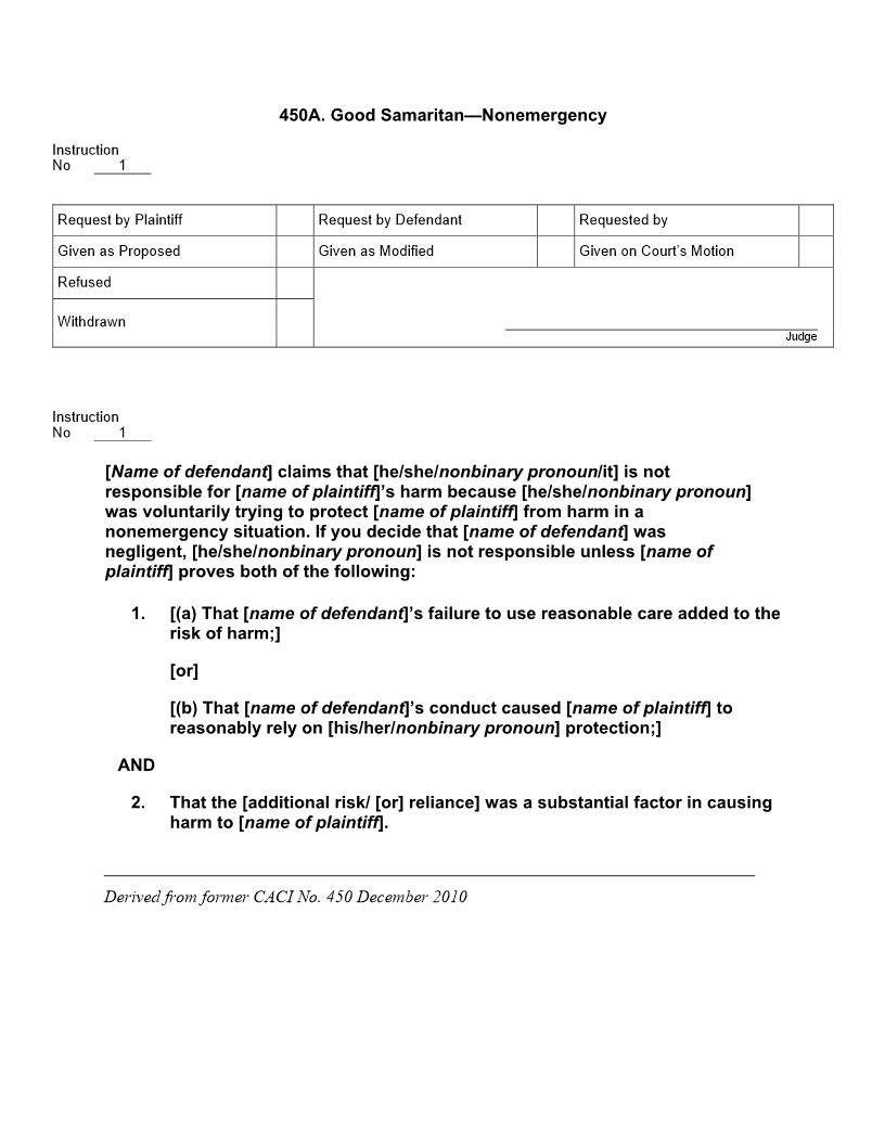
450A. Good Samaritan Nonemergency
Start Your Free Trial $ 13.99What you get:
- Instant access to fillable Microsoft Word or PDF forms.
- Minimize the risk of using outdated forms and eliminate rejected fillings.
- Largest forms database in the USA with more than 80,000 federal, state and agency forms.
- Download, edit, auto-fill multiple forms at once in MS Word using our Forms Workflow Ribbon
- Trusted by 1,000s of Attorneys and Legal Professionals
Description
Instruction No 1 Request by Plaintiff Request by Defendant Requested by Given as Proposed Given as Modified Given on Court222s Motion Refused Withdrawn Judge Instruction No 1 Derived from former CACI No. 450 December 2010
Related forms
-
401. Basic Standard of Care
California Jury Instructions/Negligence/ -
402. Standard of Care for Minors
California Jury Instructions/04 Negligence/ -
404. Intoxication
California Jury Instructions/04 Negligence/ -
405. Comparative Fault of Plaintiff
California Jury Instructions/04 Negligence/ -
407. Comparative Fault of Decedent
California Jury Instructions/04 Negligence/ -
411. Reliance on Good Conduct of Others
California Jury Instructions/04 Negligence/ -
412. Duty of Care Owed Children
California Jury Instructions/04 Negligence/ -
413. Custom or Practice
California Jury Instructions/04 Negligence/ -
414. Amount of Caution Required In Dangerous Situations
California Jury Instructions/04 Negligence/ -
415. Employee Required to Work in Dangerous Situations
California Jury Instructions/04 Negligence/ -
416. Amount of Caution Required in Transmitting Electric Power
California Jury Instructions/04 Negligence/ -
417. Special Doctrines Res ipsa loquitur
California Jury Instructions/04 Negligence/ -
419. Presumption of Negligence per se (Causation Only at Issue)
California Jury Instructions/04 Negligence/ -
420. Negligence per se Rebuttal of the Presumption of Negligence (Violation Excused)
California Jury Instructions/04 Negligence/ -
421. Negligence per se Rebuttal of the Presumption of Negligence (Violation of Minor Excused)
California Jury Instructions/04 Negligence/ -
422. Providing Alcoholic Beverages to Obviously Intoxicated Minors (Bus. Prof. Code, 25602.1)
California Jury Instructions/04 Negligence/ -
423. Public Entity Liability for Failure to Perform Mandatory Duty
California Jury Instructions/04 Negligence/ -
424. Negligence Not Contested Essential Factual Elements
California Jury Instructions/04 Negligence/ -
425. Gross Negligence Explained
California Jury Instructions/04 Negligence/ -
426. Negligent Hiring Supervision Or Retention Of Employee
California Jury Instructions/04 Negligence/ -
427. Furnishing Alcoholic Beverages to Minors (Civ. Code, 1714(d))
California Jury Instructions/04 Negligence/ -
428. Parental Liability (Nonstatutory)
California Jury Instructions/04 Negligence/ -
429. Negligent Sexual Transmission of Disease
California Jury Instructions/04 Negligence/ -
451. Affirmative Defense Contractual Assumption of Risk
California Jury Instructions/04 Negligence/ -
431. Causation Multiple Causes
California Jury Instructions/04 Negligence/ -
432. Affirmative Defense Causation Third Party Conduct as Superseding Cause
California Jury Instructions/04 Negligence/ -
434. Alternative Causation
California Jury Instructions/04 Negligence/ -
450A. Good Samaritan Nonemergency
California Jury Instructions/04 Negligence/ -
450B. Good Samaritan Scene of Emergency
California Jury Instructions/04 Negligence/ -
450C. Negligent Undertaking
California Jury Instructions/04 Negligence/ -
453. Injury Incurred in Course of Rescue
California Jury Instructions/04 Negligence/ -
460. Strict Liability for Ultrahazardous Activities Essential Factual Elements
California Jury Instructions/04 Negligence/ -
461. Strict Liability for Injury Caused by Wild Animal Essential Factual Elements
California Jury Instructions/04 Negligence/ -
462. Strict Liability for Injury Caused by Domestic Animal With Dangerous Propensities Essential Factual Elements
California Jury Instructions/04 Negligence/ -
463. Dog Bite Statute (Civ. Code, 3342) Essential Factual Elements
California Jury Instructions/04 Negligence/ -
473. Primary Assumption of Risk-Exception to Nonliability-Occupation Involving Inherent Risk
California Jury Instructions/04 Negligence/ -
418. Presumption of Negligence per se
California Jury Instructions/04 Negligence/ -
430. Causation Substantial Factor
California Jury Instructions/04 Negligence/ -
435. Causation for Asbestos-Related Cancer Claims
California Jury Instructions/04 Negligence/ -
440. Negligent Use Nondeadly Force Arrest Other Seizure Essential Factual Elements
California Jury Instructions/04 Negligence/ -
433. Affirmative Defense Causation Intentional Tort or Criminal Act as Superseding Cause
California Jury Instructions/04 Negligence/ -
452. Sudden Emergency
California Jury Instructions/04 Negligence/ -
400. Negligence Essential Factual Elements
California Jury Instructions/04 Negligence/ -
456. Defendant Estopped From Asserting Statute of Limitations Defense
California Jury Instructions/04 Negligence/ -
457. Statute of Limitations Equitable Tolling Other Prior Proceeding
California Jury Instructions/04 Negligence/ -
406. Apportionment of Responsibility
California Jury Instructions/04 Negligence/ -
454. Affirmative Defense Statute of Limitations
California Jury Instructions/04 Negligence/ -
455. Statute of Limitations Delayed Discovery
California Jury Instructions/04 Negligence/ -
470. Primary Assumption of Risk-Exception to Nonliability-Coparticipant in Activity
California Jury Instructions/04 Negligence/ -
471. Primary Assumption of Risk-Exception to Nonliability-Instructors Trainers or Coaches
California Jury Instructions/04 Negligence/ -
472. Primary Assumption of Risk-Exception to Nonliability-Facilities Owners Operators Event Sponsors
California Jury Instructions/04 Negligence/ -
403. Standard Of Care For Person With A Physical Disability
California Jury Instructions/04 Negligence/ -
441. Negligent Use Of Deadly Force By Peace Officer Essential Factual Elements
California Jury Instructions/04 Negligence/ -
VF 400. Negligence Single Defendant
California Jury Instructions/04 Negligence/ -
VF 401. Negligence Single Defendant Plaintiffs Negligence At Issue Others Not Issue
California Jury Instructions/04 Negligence/ -
VF 402. Negligence Fault Of Plaintiff And Others At Issue
California Jury Instructions/04 Negligence/ -
VF 403. Primary Assumption Of Risk Liability Of Coparticipant
California Jury Instructions/04 Negligence/ -
VF 404. Primary Assumption Of Risk Liability Of Instructors Trainers Or Coaches
California Jury Instructions/04 Negligence/ -
VF 405. Primary Assumption Of Risk Liability Of Facilities Owners Operators Event Sponsors
California Jury Instructions/04 Negligence/ -
VF 406. Negligence Providing Alcoholic Beverages To Obviously Intoxicated Minor
California Jury Instructions/04 Negligence/ -
VF 407. Strict Liability Ultrahazardous Activities
California Jury Instructions/04 Negligence/ -
VF 408. Strict Liability For Domestic Animal With Dangerous Propensities
California Jury Instructions/04 Negligence/ -
VF 409. Dog Bite Statute (Civ. Code, § 3342)
California Jury Instructions/04 Negligence/ -
VF 410. Statute Of Limitations Reasonable Investigation Would Not Have Disclosed Facts
California Jury Instructions/04 Negligence/ -
VF 411. Parental Liability (Nonstatutory)
California Jury Instructions/04 Negligence/
Form Preview
Sorry, we couldn't download the pdf file.
Our Products
Contact Us
Success: Your message was sent.
Thank you!




