Last updated: 8/18/2020
Chapter 12 Debtor(s) Certifications Regarding Domestic Support Obligations {O-1228}
Start Your Free Trial $ 13.99What you get:
- Instant access to fillable Microsoft Word or PDF forms.
- Minimize the risk of using outdated forms and eliminate rejected fillings.
- Largest forms database in the USA with more than 80,000 federal, state and agency forms.
- Download, edit, auto-fill multiple forms at once in MS Word using our Forms Workflow Ribbon
- Trusted by 1,000s of Attorneys and Legal Professionals
Description
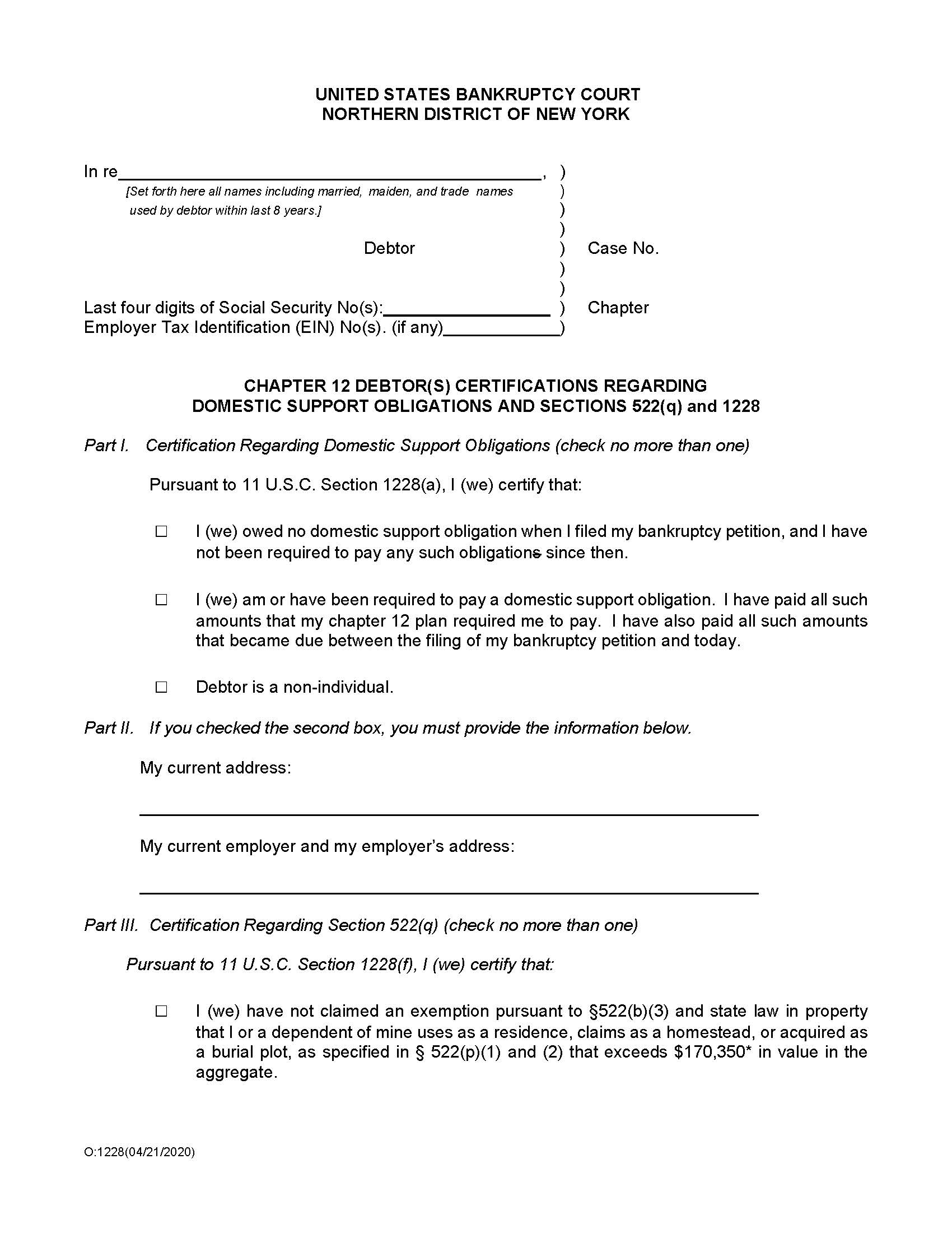
CHAPTER 12 DEBTOR(S) CERTIFICATIONS REGARDING DOMESTIC SUPPORT OBLIGATIONS AND SECTIONS 522(q) and 1228. This form is used in the United States Bankruptcy Court for the Northern District of New York for Chapter 12 debtors to certify their status regarding domestic support obligations and exemptions under Section 522(q). It includes three parts: certification of whether the debtor owed or has paid domestic support obligations, certification of whether the debtor has claimed exemptions in property that exceed a certain value and whether any proceedings are pending that could affect these claims, and a signature section where the debtor or an authorized representative must sign under penalty of perjury to confirm the truthfulness of the information. www.FormsWorkflow.com
Related forms
-
Certification Of Mailing Matrix
New York/Federal/Bankruptcy Court/Northern District/ -
Summary Of Attachments And Certificate Of Service
New York/Federal/Bankruptcy Court/Northern District/ -
Certification Pursuant To Local Bankruptcy Rule 3015-1
New York/Federal/Bankruptcy Court/Northern District/ -
Application For Payment Of Unclaimed Funds
New York/Federal/Bankruptcy Court/Northern District/ -
Certification Of Payment History On Note And Mortgage
New York/Federal/Bankruptcy Court/Northern District/ -
Adjournment Request-Withdrawal-Settlement Notification-Related Motions (Loss Mitigation - Albany-Syracuse)
New York/Federal/Bankruptcy Court/Northern District/ -
Adjournment Request-Withdrawal-Settlement Notification-Related Motions (Loss Mitigation - Utica)
New York/Federal/Bankruptcy Court/Northern District/ -
Order Voiding Junior Mortgage Lien In This Chapter 13 Case
New York/Federal/Bankruptcy Court/Northern District/ -
Order Directing Payment Of Refund
New York/Federal/Bankruptcy Court/Northern District/ -
Chapter 12 Debtor(s) Certifications Regarding Domestic Support Obligations
New York/Federal/Bankruptcy Court/Northern District/ -
Confirmation Hearing Related Request-Notification Form
New York/5 Federal/Bankruptcy Court/Northern District/ -
Motion Related Request-Notification Form
New York/5 Federal/Bankruptcy Court/Northern District/ -
Form For Adjournment Withdrawal Settlement Status Conferences Relief From Stay Confirmation Hearing
New York/5 Federal/Bankruptcy Court/Northern District/ -
Chapter 13 Plan
New York/Federal/Bankruptcy Court/Northern District/ -
Order Confirming Chapter 13 Plan
New York/Federal/Bankruptcy Court/Northern District/ -
Order Avoiding Lien(s) Pursuant To 11 USC Section 522f (Motion)
New York/Federal/Bankruptcy Court/Northern District/ -
Order Avoiding Lien(s) Pursuant To 11 USC Section 522f (Plan)
New York/Federal/Bankruptcy Court/Northern District/ -
Order Terminating Automatic Stay Imposed By 11 USC 362(a)
New York/Federal/Bankruptcy Court/Northern District/ -
Order To Employer To Pay Trustee (NYNB OEPT}
New York/Federal/Bankruptcy Court/Northern District/ -
Order To Vacate Payroll Deduction Order (NYNB OVPDO}
New York/Federal/Bankruptcy Court/Northern District/ -
Rights And Responsibilities Of Chapter 13 Debtors And Their Attorneys
New York/Federal/Bankruptcy Court/Northern District/ -
Change Of Address Form
New York/Federal/Bankruptcy Court/Northern District/ -
Objection To Loss Mitigation Request
New York/Federal/Bankruptcy Court/Northern District/ -
Loss Mitigation Request By Creditor And Certificate Of Service
New York/Federal/Bankruptcy Court/Northern District/ -
Loss Mitigation Request By Debtor(s) And Certificate Of Service
New York/Federal/Bankruptcy Court/Northern District/ -
Stipulation Terminating Loss Mitigation
New York/Federal/Bankruptcy Court/Northern District/ -
Loss Mitigation Status Report
New York/Federal/Bankruptcy Court/Northern District/ -
Loss Mitigation Affidavit Of Creditor And Certificate Of Service
New York/Federal/Bankruptcy Court/Northern District/ -
Order Approving Attorney Fees For Loss Mitigation And Authorizing Payment (Ch 7-11)
New York/Federal/Bankruptcy Court/Northern District/ -
Loss Mitigation Affidavit Of Debtor(s) And Certificate Of Service
New York/Federal/Bankruptcy Court/Northern District/ -
Ex Parte Application Certification In Support Of Approval Loss Mitigation
New York/Federal/Bankruptcy Court/Northern District/ -
Order Approving Attorney Fees For Loss Mitigation And Authorizing Payment (Ch 12-13)
New York/Federal/Bankruptcy Court/Northern District/ -
Order Terminating Loss Mitigation And Final Report
New York/Federal/Bankruptcy Court/Northern District/ -
Stipulation And Order Authorizing Loan Modification Directing Treatment Of Morgage Claim
New York/Federal/Bankruptcy Court/Northern District/ -
Request For Additional Loss Mitigation Conference And Certificate Of Service
New York/Federal/Bankruptcy Court/Northern District/ -
Payment Advice
New York/Federal/Bankruptcy Court/Northern District/ -
Affidavit Of Service (Debtor Refund)
New York/Federal/Bankruptcy Court/Northern District/ -
Adjournment Request For Hearing On Confirmation Of Plan
New York/Federal/Bankruptcy Court/Northern District/ -
Adjournment Request-Withdrawal-Settlement Notification Motion Calendar Matters
New York/Federal/Bankruptcy Court/Northern District/ -
Order Approving Application to Appear as Student Practitioner
New York/Federal/Bankruptcy Court/Northern District/ -
Application For Payment Of Debtor Refund
New York/Federal/Bankruptcy Court/Northern District/ -
Order Granting Application For Payment Of Unclaimed Funds
New York/Federal/Bankruptcy Court/Northern District/ -
Chapter 11 Individual Debtors Certification Regarding Domestic Support Obligations
New York/Federal/Bankruptcy Court/Northern District/ -
Declaration Of Sponsor (Admission Pro Hac Vice)
New York/Federal/Bankruptcy Court/Northern District/ -
Chapter 13 Debtors Certifications Domestic Support Obligations Sections 522(q) 1328
New York/Federal/Bankruptcy Court/Northern District/ -
Adversary Proceeding Cover Sheet (NYNB)
New York/Federal/Bankruptcy Court/Northern District/ -
Notice Of Hearing On Objection To Loss Mitigation Request
New York/Federal/Bankruptcy Court/Northern District/ -
Loss Mitigation Order
New York/Federal/Bankruptcy Court/Northern District/ -
Notice Of Time Fixed For Objections To And Chapter 13 Plan Hearing
New York/Federal/Bankruptcy Court/Northern District/
Form Preview
Contact Us
Success: Your message was sent.
Thank you!




