Last updated: 6/4/2019
Temporary Order Without Minor Children {FA-4127VB}
Start Your Free Trial $ 13.99What you get:
- Instant access to fillable Microsoft Word or PDF forms.
- Minimize the risk of using outdated forms and eliminate rejected fillings.
- Largest forms database in the USA with more than 80,000 federal, state and agency forms.
- Download, edit, auto-fill multiple forms at once in MS Word using our Forms Workflow Ribbon
- Trusted by 1,000s of Attorneys and Legal Professionals
Description
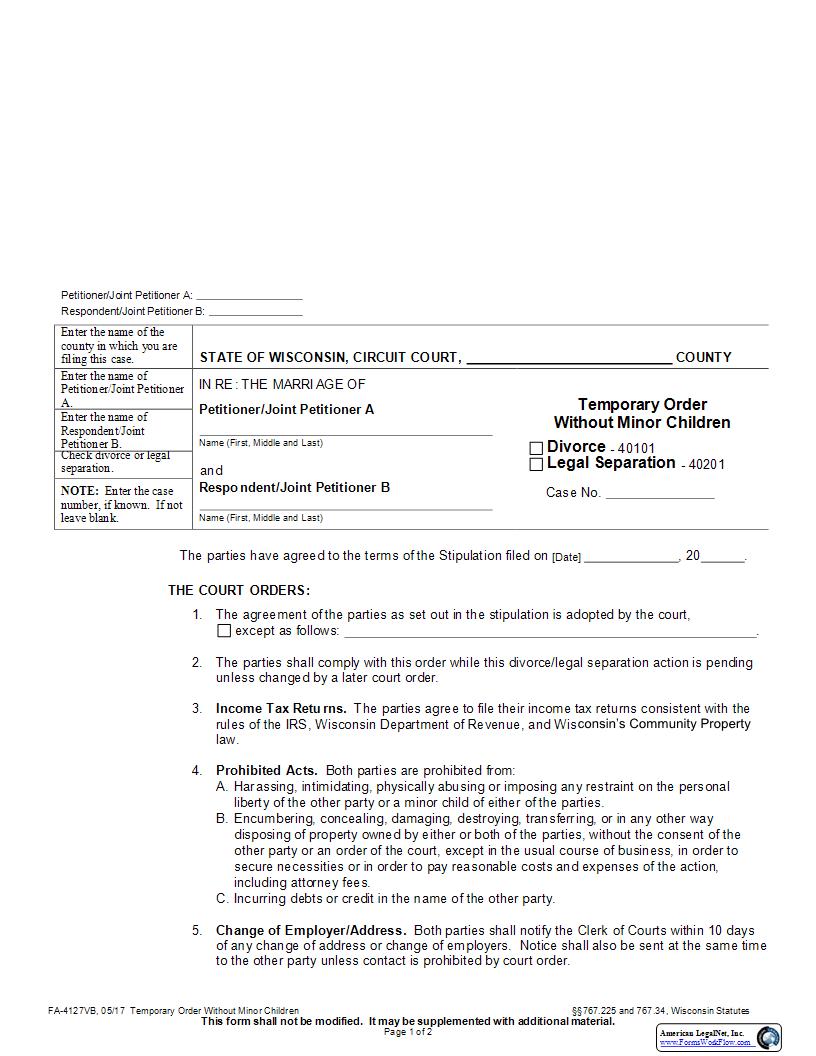
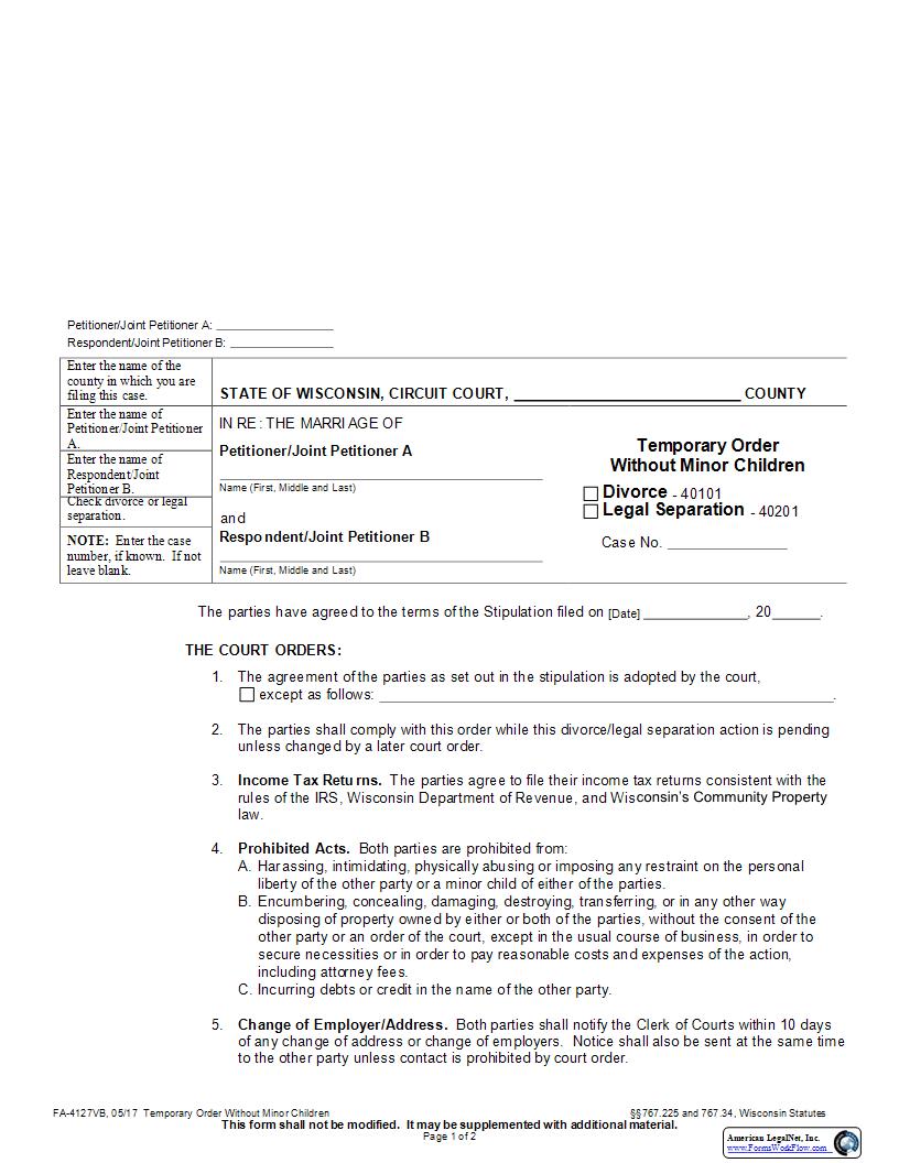
FA-4127VB, 05/17 Temporary Order Without Minor Children 247247767.225 and 767.34, Wisconsin Statutes This form shall not be modified. It may be supplemented with additional material. Page 1 of 2 Petitioner/Joint Petitioner A: Respondent/Joint Petitioner B: Enter the name of the county in which you are filing this case. STATE OF WISCONSIN, CIRCUIT COURT, COUNTY Enter the name of Petitioner/Joint Petitioner A. IN RE: THE MARRIAGE OF Petitioner/Joint Petitioner A Name (First, Middle and Last) and Respondent/Joint Petitioner B Name (First, Middle and Last) Temporary Order Without Minor Children D ivorce - 40101 Legal Separation - 40201 Case No. Enter the name of Respondent/Joint Petitioner B. Check divorce or legal separation. N OTE : Enter the case number, if known. If not leave blank. The parties have agree d to the terms of the Stipulation filed on [Date] , 20 . THE COURT ORDERS: 1. The agreement of the parties as set out in the stipulation is adopted by the court, except as follows: . 2. The parties shall comply with this order while this divorce/legal separation action is pending unless changed by a later court order. 3. Income Tax Returns. The parties agree to file their income tax returns consistent with the rules of the IRS, Wisconsin Department of Revenue, and Wislaw. 4. Prohibited Acts. Both parties are prohibited from: A. Harassing, intimidating, physically abusing or imposing any restraint on the personal liberty of the other party or a minor child of either of the parties. B. Encumbering, concealing, damaging, destroying, transferring, or in any other way disposing of property owned by either or both of the parties, without the consent of the other party or an order of the court, except in the usual course of business, in order to secure necessities or in order to pay reasonable costs and expenses of the action, including attorney fees. C. Incurring debts or credit in the name of the other party. 5. Change of Employer/Address. Both parties shall notify the Clerk of Courts within 10 days of any change of address or change of employers. Notice shall also be sent at the same time to the other party unless contact is prohibited by court order. American LegalNet, Inc. www.FormsWorkFlow.com Petitioner/Joint Petitioner A: Respondent/Joint Petitioner B: FA-4127VB, 05/17 Temporary Order Without Minor Children 247247767.225 and 767.34, Wisconsin Statutes This form shall not be modified. It may be supplemented with additional material. Page 2 of 2 6. Neither party can disconnect any utility services or cause any other essential services of the residence of the other party to be discontinued without written consent of the parties or further order of the court. 7. Each party is responsible for their own future uninsured medical, dental, orthodontic, hospital, psychiatric, counseling, drug and other health expenses, unless otherwise ordered. 8. Both parties shall maintain all current beneficiaries on all life, medical, hospital, automobile, household, or other insurance while this action is pending. 9. This temporary order for maintenance constitutes an assignment of all commissions, earnings, salaries, wages, pension benefits, benefits under ch. 102 or 108, Wis. Stats., and other money due or to be due in the future to the Wisconsin Support Collections Trust Fund as will be sufficient to meet the maintenance ordered here. 10. I9and the employer of the party paying shall be notified of the assignment of income immediately. Failure to abide by these temporary orders is punishable as contempt of court pursuant to ch. 785, Wis. Stats. All temporary orders are made without prejudice to the rights of either party at the time of the final hearing. American LegalNet, Inc. www.FormsWorkFlow.com
Related forms
-
Order To Establish Account And Authorize Transfers
Wisconsin/Statewide/Circuit Court/Family Court/ -
Affidavit To Seal Identifying Information In A Child Custody Proceeding
Wisconsin/Statewide/Circuit Court/Family Court/ -
Confidential Petition Addendum
Wisconsin/Statewide/Circuit Court/Family Court/ -
Affidavit Of Nonmilitary Service
Wisconsin/Statewide/Circuit Court/Family Court/ -
Civil Process Worksheet
Wisconsin/Statewide/Circuit Court/Family Court/ -
Temporary Order Without Minor Children
Wisconsin/Statewide/Circuit Court/Family Court/ -
Order Dismissing Divorce-Legal Separation
Wisconsin/Statewide/Circuit Court/Family Court/ -
Order To Revoke Suspension Of Proceedings To Effect Reconciliation
Wisconsin/Statewide/Circuit Court/Family Court/ -
Order Converting Legal Separation To Divorce
Wisconsin/Statewide/Circuit Court/Family Court/ -
Order Vacating Judgment Of Divorce Or Legal Separation And Order To Impound The Record{FA-4164VB}
Wisconsin/Statewide/Circuit Court/Family Court/ -
Arrest Bench Warrant
Wisconsin/Statewide/Circuit Court/Family Court/ -
Disclosure Of Sealed Identifying Information In A Child Custody Proceeding
Wisconsin/Statewide/Circuit Court/Family Court/ -
Notice Of Limited Appearance
Wisconsin/Statewide/Circuit Court/Family Court/ -
Notice Of Termination Of Limited Appearance
Wisconsin/Statewide/Circuit Court/Family Court/ -
Order To Appear
Wisconsin/Statewide/Circuit Court/Family Court/ -
Family Medical History-Questionnaire
Wisconsin/Statewide/Circuit Court/Family Court/ -
Motion Converting Legal Separation To Divorce
Wisconsin/Statewide/Circuit Court/Family Court/ -
Motion To Revoke Suspension Of Proceedings To Effect Reconciliation
Wisconsin/Statewide/Circuit Court/Family Court/ -
Objection To Relocate
Wisconsin/1 Statewide/Circuit Court/Family Court/ -
Parties Approval Of Findings Of Fact, Conclusions Of Law And Judgment With Minor Children
Wisconsin/Statewide/Circuit Court/Family Court/ -
Parties Approval Of Findings Of Fact, Conclusions Of Law And Judgment Without Minor Children{FA-4161VB}
Wisconsin/Statewide/Circuit Court/Family Court/ -
Peitition For Appointment Of Guardian Ad Litem
Wisconsin/Statewide/Circuit Court/Family Court/ -
Publication Summons
Wisconsin/Statewide/Circuit Court/Family Court/ -
Request For Status Conference
Wisconsin/Statewide/Circuit Court/Family Court/ -
Stipulation Dismissing Divorce-Legal Separation
Wisconsin/Statewide/Circuit Court/Family Court/ -
Stipulation Suspending Proceedings To Effect Reconciliation
Wisconsin/Statewide/Circuit Court/Family Court/ -
Request for Court Ordered Mediation
Wisconsin/Statewide/Circuit Court/Family Court/ -
Stipulation Vacating Judgment Of Divorce Or Legal Separation
Wisconsin/Statewide/Circuit Court/Family Court/ -
Objection To Registration Of Out Of State Judgment Or Order
Wisconsin/1 Statewide/Circuit Court/Family Court/ -
Decision On Motion Or OSC To Change Custody-Placement-Support Or Other
Wisconsin/Statewide/Circuit Court/Family Court/ -
Interim Financial Summary To Child Support Agency
Wisconsin/Statewide/Circuit Court/Family Court/ -
Notice Of Motion And Motion To Change
Wisconsin/Statewide/Circuit Court/Family Court/ -
Notice Of Motion And Motion To Relocate With Children
Wisconsin/1 Statewide/Circuit Court/Family Court/ -
Abridgement Regarding Surname
Wisconsin/Statewide/Circuit Court/Family Court/ -
Motion For And Notice Of New (De Novo) Hearing
Wisconsin/Statewide/Circuit Court/Family Court/ -
Order Relating To
Wisconsin/Statewide/Circuit Court/Family Court/ -
Abridgement Affecting Title To Real Estate
Wisconsin/Statewide/Circuit Court/Family Court/ -
Summons With Minor Children
Wisconsin/Statewide/Circuit Court/Family Court/ -
Joint Petition Without Minor Children
Wisconsin/Statewide/Circuit Court/Family Court/ -
Order On Stipulation To Change
Wisconsin/Statewide/Circuit Court/Family Court/ -
Order To Enforce Physical Placement Order
Wisconsin/Statewide/Circuit Court/Family Court/ -
Stipulation For Temporary Order With Minor Children
Wisconsin/Statewide/Circuit Court/Family Court/ -
Stipulation For Temporary Order Without Minor Children
Wisconsin/1 Statewide/Circuit Court/Family Court/ -
Stipulation To Change
Wisconsin/Statewide/Circuit Court/Family Court/ -
Summons Without Minor Children
Wisconsin/Statewide/Circuit Court/Family Court/ -
Temporary Order With Minor Children
Wisconsin/Statewide/Circuit Court/Family Court/ -
Income And Expense Statement
Wisconsin/Statewide/Circuit Court/Family Court/ -
Petition Without Minor Children
Wisconsin/Statewide/Circuit Court/Family Court/ -
Proposed Parenting Plan
Wisconsin/Statewide/Circuit Court/Family Court/ -
Financial Disclosure Statement
Wisconsin/Statewide/Circuit Court/Family Court/ -
Findings Of Fact, Conclusions Of Law, And Judgment With Minor Children
Wisconsin/Statewide/Circuit Court/Family Court/ -
Findings Of Fact, Conclusions Of Law, And Judgment Without Minor Children
Wisconsin/Statewide/Circuit Court/Family Court/ -
Order To Show Cause For Finding Of Contempt
Wisconsin/Statewide/Circuit Court/Family Court/ -
Stipulation Converting Legal Separation To Divorce
Wisconsin/Statewide/Circuit Court/Family Court/ -
Order Suspending Proceedings To Effect Reconciliation
Wisconsin/Statewide/Circuit Court/Family Court/ -
Notice Of Registration Of Out Of State Judgment Or Order
Wisconsin/1 Statewide/Circuit Court/Family Court/ -
Notice Of Hearing And Motion To Enforce Physical Placement Order
Wisconsin/Statewide/Circuit Court/Family Court/ -
Joint Petition With Minor Children
Wisconsin/Statewide/Circuit Court/Family Court/ -
Response And Counterclaim
Wisconsin/Statewide/Circuit Court/Family Court/ -
Order Converting Legal Separation To Divorce
Wisconsin/Statewide/Circuit Court/Family Court/ -
Publication Affidavit Of Mailing
Wisconsin/Statewide/Circuit Court/Family Court/ -
Petition With Minor Children
Wisconsin/Statewide/Circuit Court/Family Court/ -
Order To Show Cause Without Minor Children{FA-4129VB}
Wisconsin/Statewide/Circuit Court/Family Court/ -
Order To Show Cause With Minor Children{FA-4128VB}
Wisconsin/Statewide/Circuit Court/Family Court/ -
Order To Show Cause And To Change
Wisconsin/Statewide/Circuit Court/Family Court/ -
Motion And Affidavit In Support Of Warrant
Wisconsin/Statewide/Circuit Court/Family Court/ -
Marital Settlement Agreement With Minor Children
Wisconsin/Statewide/Circuit Court/Family Court/ -
Marital Settlement Agreement (Without Minor Children)
Wisconsin/Statewide/Circuit Court/Family Court/ -
Decision And Order for Contempt
Wisconsin/Statewide/Circuit Court/Family Court/ -
Affidavit To Show Cause And To Change
Wisconsin/Statewide/Circuit Court/Family Court/ -
Affidavit To Show Cause And Request For Hearing For Temporary Order Without Minor Children
Wisconsin/Statewide/Circuit Court/Family Court/ -
Affidavit To Show Cause And Request For Hearing For Temporary Order With Minor Children
Wisconsin/Statewide/Circuit Court/Family Court/ -
Affidavit Of Service
Wisconsin/Statewide/Circuit Court/Family Court/ -
Affidavit Of Mailing
Wisconsin/Statewide/Circuit Court/Family Court/ -
Affidavit Of Efforts To Serve Respondent
Wisconsin/1 Statewide/Circuit Court/Family Court/ -
Affidavit For Finding Of Contempt
Wisconsin/Statewide/Circuit Court/Family Court/ -
Admission Of Service
Wisconsin/Statewide/Circuit Court/Family Court/
Form Preview
Contact Us
Success: Your message was sent.
Thank you!




