Last updated: 3/12/2019
Loss-Mitigation Order {NYEB LMO}
Start Your Free Trial $ 14.00What you get:
- Instant access to fillable Microsoft Word or PDF forms.
- Minimize the risk of using outdated forms and eliminate rejected fillings.
- Largest forms database in the USA with more than 80,000 federal, state and agency forms.
- Download, edit, auto-fill multiple forms at once in MS Word using our Forms Workflow Ribbon
- Trusted by 1,000s of Attorneys and Legal Professionals
Description
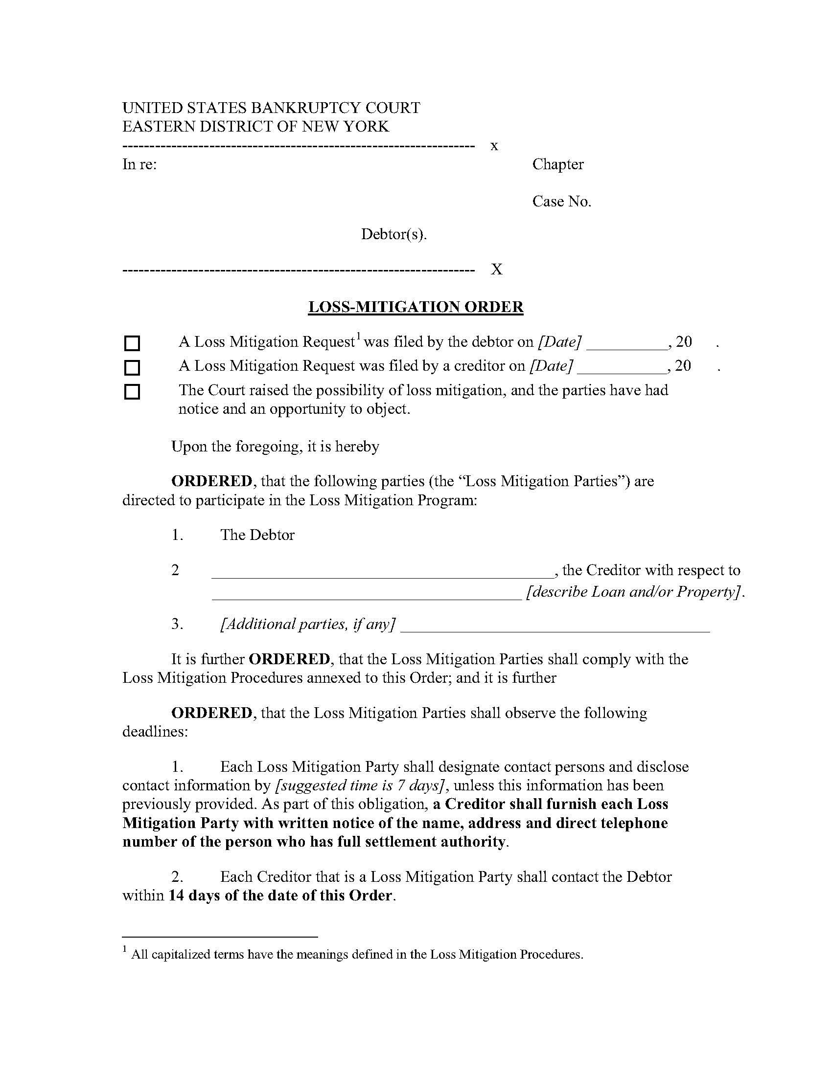
LOSS-MITIGATION ORDER. This form is used in the U.S. Bankruptcy Court for the Eastern District of New York to direct parties to participate in the court's Loss Mitigation Program. It outlines the specific parties involved (usually the debtor and creditor) and sets deadlines for designating contact persons, exchanging information, and scheduling the initial loss mitigation session. It includes a timeline for the loss mitigation period and schedules a status conference to review progress and consider settlements. The form also adjourns pending matters related to the case and extends the deadline for creditors to object to the reorganization plan until after the loss mitigation period ends. The order is signed and dated by a Bankruptcy Judge. www.FormsWorkflow.com
Related forms
-
Verification Of Creditor Matrix
New York/Federal/Bankruptcy Court/Eastern District/ -
Motion For Waiver To Comply With Credit Counseling Requirement (Brooklyn)
New York/Federal/Bankruptcy Court/Eastern District/ -
Payment Advices Cover Sheet
New York/Federal/Bankruptcy Court/Eastern District/ -
Notice Of Motion To Admit Counsel Pro Hac Vice (Bankruptcy Case)
New York/Federal/Bankruptcy Court/Eastern District/ -
Notice Of Motion To Admit Counsel Pro Hac Vice (Adversary Proceeding)
New York/Federal/Bankruptcy Court/Eastern District/ -
Relief From Stay - Real Estate And Cooperative Apartments
New York/Federal/Bankruptcy Court/Eastern District/ -
Transcript Redaction Request
New York/Federal/Bankruptcy Court/Eastern District/ -
Order Directing Correction Social Security Number(s) (Or Other ITIN(s))
New York/Federal/Bankruptcy Court/Eastern District/ -
Affirmation In Support Of Motion To Admit Counsel Pro Hac Vice (Adversary Proceeding)
New York/Federal/Bankruptcy Court/Eastern District/ -
Order For Admission To Practice Pro Hac Vice (Adversary Proceeding)
New York/Federal/Bankruptcy Court/Eastern District/ -
Response To Notice Of Motion
New York/Federal/Bankruptcy Court/Eastern District/ -
Certification Of Judgment For Registration In Another District
New York/Federal/Bankruptcy Court/Eastern District/ -
Affidavit And Disclosure Statement Of Mediator
New York/Federal/Bankruptcy Court/Eastern District/ -
Application Form For Applicants For Inclusion On Mediation Register (Lawyers Only)
New York/Federal/Bankruptcy Court/Eastern District/ -
Order For Admission To Practice Pro Hac Vice
New York/Federal/Bankruptcy Court/Eastern District/ -
Loss-Mitigation Order
New York/Federal/Bankruptcy Court/Eastern District/ -
Loss Mitigation Final Report (Proposed)
New York/Federal/Bankruptcy Court/Eastern District/ -
Adversary Proceeding Cover Sheet
New York/Federal/Bankruptcy Court/Eastern District/ -
Order Approving Payment Of Filing Fee In Installments
New York/Federal/Bankruptcy Court/Eastern District/ -
Order Authorizing Retention And Appointment Of Claims And Noticing Agent
New York/Federal/Bankruptcy Court/Eastern District/ -
Notice Of Presentment Of Order Appointing Claims And Noticing Agent
New York/Federal/Bankruptcy Court/Eastern District/ -
Application For Order Appointing Claims And Noticing Agent (Chapter 11)
New York/Federal/Bankruptcy Court/Eastern District/ -
Motion For Waiver To Comply With Credit Counseling Requirement (Central Islip)
New York/Federal/Bankruptcy Court/Eastern District/ -
Application And Order Amending Caption To Correct Name
New York/Federal/Bankruptcy Court/Eastern District/ -
Order Granting Application For Payment Of Unclaimed Funds
New York/5 Federal/Bankruptcy Court/Eastern District/ -
Notice Of Deadline Filing Proofs Of Claim
New York/5 Federal/Bankruptcy Court/Eastern District/ -
Certificate Of Service Adversary Proceeding
New York/5 Federal/Bankruptcy Court/Eastern District/ -
Certificate Of Service (To US Attorneys Office)
New York/5 Federal/Bankruptcy Court/Eastern District/ -
Application For Payment Of Unclaimed Funds
New York/5 Federal/Bankruptcy Court/Eastern District/ -
Order Avoiding Judicial Lien(s) Chapter 7 (Chief Judge Trust)
New York/5 Federal/Bankruptcy Court/Eastern District/ -
Order Assigning Matters To Mediation (Chief Judge Trust)
New York/5 Federal/Bankruptcy Court/Eastern District/ -
Order Notice Hearing Adequacy Of Disclosure Statement (Ch. 11) (Chief Judge Trust)
New York/5 Federal/Bankruptcy Court/Eastern District/ -
Order Establishing Deadline Filing Administrative Proofs Of Claim (Chief Judge Trust)
New York/5 Federal/Bankruptcy Court/Eastern District/ -
Order Establishing Deadline For Filing Proofs Of Claim (Chief Judge Trust)
New York/5 Federal/Bankruptcy Court/Eastern District/ -
Order Approving Disclosure Statement Scheduling Confirmation Hearing Deadlines (Chief Judge Trust)
New York/5 Federal/Bankruptcy Court/Eastern District/ -
Order Conditionally Approving Disclosure Confirmation Deadlines (Small Business) (Chief Judge Trust)
New York/5 Federal/Bankruptcy Court/Eastern District/ -
Judgment By Default (Adversary Proceeding) (Chief Judge Trust)
New York/5 Federal/Bankruptcy Court/Eastern District/ -
Order Scheduling Emergency Hearing (Chief Judge Trust)
New York/5 Federal/Bankruptcy Court/Eastern District/ -
Order Reclassifying Junior Mortgage Lien Chapter 13 (Chief Judge Trust)
New York/5 Federal/Bankruptcy Court/Eastern District/ -
Order Authorizing Subpoenas For Documents Examine Witness (Chief Judge Trust)
New York/5 Federal/Bankruptcy Court/Eastern District/ -
Order Reopening Case For Limited Purpose (Consumer) (Chief Judge Trust)
New York/5 Federal/Bankruptcy Court/Eastern District/ -
Order Granting Conditional Relief From The Automatic Stay (Chief Judge Trust)
New York/5 Federal/Bankruptcy Court/Eastern District/ -
Order Granting Motion For Default Judgment (Adversary Proceeding) (Chief Judge Trust)
New York/5 Federal/Bankruptcy Court/Eastern District/ -
Order Converting Case Under Chapter 7 To Under Chapter 13 (Chief Judge Trust)
New York/5 Federal/Bankruptcy Court/Eastern District/ -
Order Converting Case Under Chapter 13 To Under Chapter 7 (Chief Judge Trust)
New York/5 Federal/Bankruptcy Court/Eastern District/ -
Order Reclassifying Judicial Liens Chapter 13 (After Completion) (Chief Judge Trust)
New York/5 Federal/Bankruptcy Court/Eastern District/ -
Order Reclassifying Judicial Liens Chapter 13 (Pre-Completion) (Chief Judge Trust)
New York/5 Federal/Bankruptcy Court/Eastern District/ -
Certificate Of No Objection (Judges Trust And Scarcella)
New York/5 Federal/Bankruptcy Court/Eastern District/ -
Order Approving Loan Modification Agreement (Chief Judge Trust)
New York/Federal/Bankruptcy Court/Eastern District/ -
Order Granting Relief From The Automatic Stay (Chief Judge Trust)
New York/5 Federal/Bankruptcy Court/Eastern District/ -
Order Granting In Rem Relief From Automatic Stay (Judge Trust)
New York/Federal/Bankruptcy Court/Eastern District/ -
Affidavit Pursuant To E.D.N.Y. LBR 1009-1(a)
New York/Federal/Bankruptcy Court/Eastern District/ -
Affirmation In Support Of Motion To Admit Counsel Pro Hac Vice
New York/Federal/Bankruptcy Court/Eastern District/ -
Application To Have Chapter 7 Filing Fee Waived And Order
New York/Federal/Bankruptcy Court/Eastern District/ -
Application For Five-Year Renewal Appointment On Courts Mediators Register
New York/Federal/Bankruptcy Court/Eastern District/ -
Third-Party Summons (Brooklyn)
New York/Federal/Bankruptcy Court/Eastern District/ -
Loss Mitigation Request - By Debtor
New York/Federal/Bankruptcy Court/Eastern District/ -
Loss Mitigation Request - By Creditor
New York/Federal/Bankruptcy Court/Eastern District/ -
Notice Of Intent To Request Redaction Of Transcript
New York/Federal/Bankruptcy Court/Eastern District/ -
Notice Of Motion (Central Islip)
New York/Federal/Bankruptcy Court/Eastern District/ -
Objection To Notice Of Motion
New York/Federal/Bankruptcy Court/Eastern District/ -
Objection To Notice Of Presentment
New York/Federal/Bankruptcy Court/Eastern District/ -
Objection To Notice Of Presentment For Relief From Automatic Stay
New York/Federal/Bankruptcy Court/Eastern District/ -
Objection To Settlement Of Order
New York/Federal/Bankruptcy Court/Eastern District/ -
Order Granting Applications Allowance Of Compensation Reimbursement Of Expenses (Professional Services)
New York/Federal/Bankruptcy Court/Eastern District/ -
Order Notice Of Automatic Stay Affecting Wage Garnishment Or Execution
New York/Federal/Bankruptcy Court/Eastern District/ -
Order On Application To Have Chapter 7 Filing Fee Waived
New York/Federal/Bankruptcy Court/Eastern District/ -
Application To Correct Social Security Numbers (Or Other ITIN(s)) (Attorneys)
New York/Federal/Bankruptcy Court/Eastern District/ -
Application For Order Directing Correction Of Social Security Numbers (Pro Se Debtors)
New York/Federal/Bankruptcy Court/Eastern District/ -
Notice Of Hearing (Judge Mazer-Marino)
New York/Federal/Bankruptcy Court/Eastern District/ -
Notice Of Hearing (Chapter 13 Confirmation Calendar) (Judge Mazer-Marino)
New York/Federal/Bankruptcy Court/Eastern District/ -
Third-Party Summons (Central Islip)
New York/Federal/Bankruptcy Court/Eastern District/ -
Affidavit Pursuant To Local Rule 1007-1(b)
New York/Federal/Bankruptcy Court/Eastern District/ -
Application For Search Of Bankruptcy Records
New York/Federal/Bankruptcy Court/Eastern District/ -
Certificate Of Service (General)
New York/Federal/Bankruptcy Court/Eastern District/ -
Civil Cover Sheet Bankruptcy Appeal
New York/5 Federal/Bankruptcy Court/Eastern District/ -
Cover Sheet For A Direct Appeal Of A Bankruptcy Court Decision
New York/Federal/Bankruptcy Court/Eastern District/ -
Notice Of Deadline For Proofs Of Claim (Bar Date Notice - Claims Agent)
New York/Federal/Bankruptcy Court/Eastern District/ -
Notice Of Deadline For Proofs Of Claim (Bar Date Notice - No Claims Agent)
New York/Federal/Bankruptcy Court/Eastern District/ -
Civil Cover Sheet Motion To Withdraw Reference Bankruptcy Case Or Proceeding
New York/Federal/Bankruptcy Court/Eastern District/ -
Order Granting Adequate Protection Payments
New York/Federal/Bankruptcy Court/Eastern District/ -
Chapter 13 Plan
New York/Federal/Bankruptcy Court/Eastern District/ -
Change Of Address Of Debtor(s)
New York/Federal/Bankruptcy Court/Eastern District/ -
Statement Pursuant To Local Bankruptcy Rule 1073-2(b)
New York/Federal/Bankruptcy Court/Eastern District/ -
Notice Of Motion (Brooklyn)
New York/Federal/Bankruptcy Court/Eastern District/ -
Application To Provide Service To Hearing Impaired Or Other Communication Disabilities
New York/Federal/Bankruptcy Court/Eastern District/ -
Order Scheduling Confirmation Hearing Chapter 11 Subchapter V Plan (Judge Mazer-Marino)
New York/Federal/Bankruptcy Court/Eastern District/
Form Preview
Contact Us
Success: Your message was sent.
Thank you!




