Last updated: 3/29/2013
5(c). Model Form of Verdict for Emergency Medical Treatment - FS 768.13(2)(b) and Comp Neg Issues
Start Your Free Trial $ 5.99What you get:
- Instant access to fillable Microsoft Word or PDF forms.
- Minimize the risk of using outdated forms and eliminate rejected fillings.
- Largest forms database in the USA with more than 80,000 federal, state and agency forms.
- Download, edit, auto-fill multiple forms at once in MS Word using our Forms Workflow Ribbon
- Trusted by 1,000s of Attorneys and Legal Professionals
Description
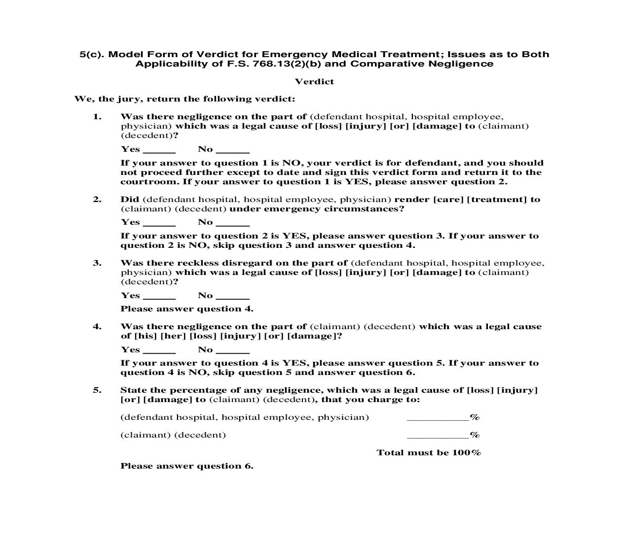
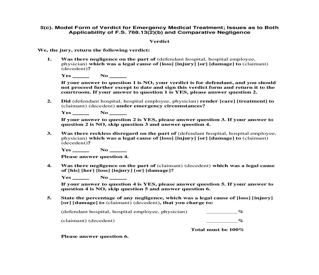
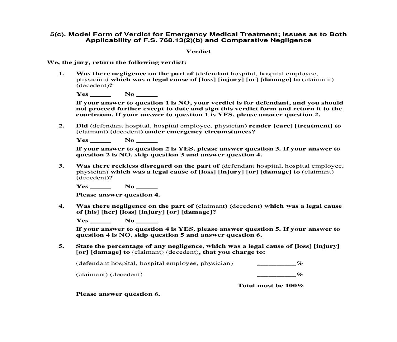
5(c). Model Form of Verdict for Emergency Medical Treatment; Issues as to Both Applicability of F.S. 768.13(2)(b) and Comparative Negligence Verdict We, the jury, return the following verdict: 1. Was there negligence on the part of (defendant hospital, hospital employee, physician) which was a legal cause of [loss] [injury] [or] [damage] to (claimant) (decedent)? Yes No If your answer to question 1 is NO, your verdict is for defendant, and you should not proceed further except to date and sign this verdict form and return it to the courtroom. If your answer to question 1 is YES, please answer question 2. 2. Did (defendant hospital, hospital employee, physician) render [care] [treatment] to (claimant) (decedent) under emergency circumstances? Yes No If your answer to question 2 is YES, please answer question 3. If your answer to question 2 is NO, skip question 3 and answer question 4. 3. Was there reckless disregard on the part of (defendant hospital, hospital employee, physician) which was a legal cause of [loss] [injury] [or] [damage] to (claimant) (decedent)? Yes No Please answer question 4. 4. Was there negligence on the part of (claimant) (decedent) which was a legal cause of [his] [her] [loss] [injury] [or] [damage]? Yes No If your answer to question 4 is YES, please answer question 5. If your answer to question 4 is NO, skip question 5 and answer question 6. 5. State the percentage of any negligence, which was a legal cause of [loss] [injury] [or] [damage] to (claimant) (decedent), that you charge to: (defendant hospital, hospital employee, physician) (claimant) (decedent) __________% __________% Total must be 100% Please answer question 6. 6. What is the total amount (100%) of any damages sustained by (claimant) (decedent), and caused by the incident in question? Total damages of (claimant) (decedent) $ [Refer to Forms 2(a) and (b) for itemized damage interrogatories.] In determining the total amount of damages, do not make any reduction because of the negligence, if any, of (claimant) (decedent). If you have found (claimant) (decedent), negligent in any degree, the court in entering judgment will reduce [(claimant)'s] [(decedent)'s] total amount of damages [100%] by the percentage of negligence which you found was caused by (claimant) (decedent). SO SAY WE ALL, this day of __________, 2 _. ____________________________________ FOREPERSON





