Last updated: 3/29/2013
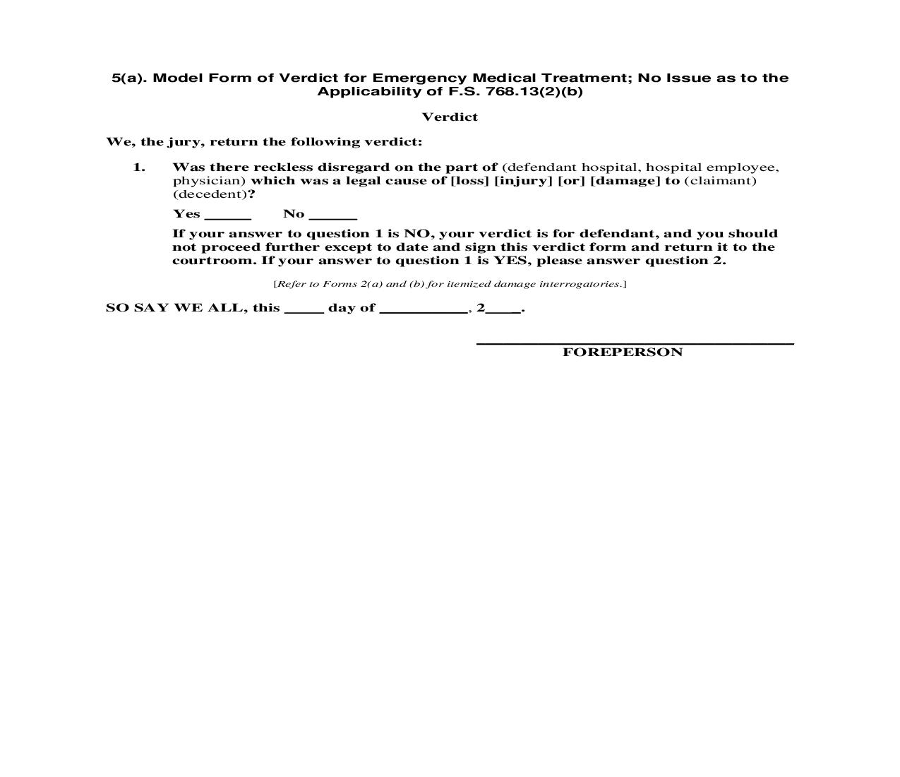
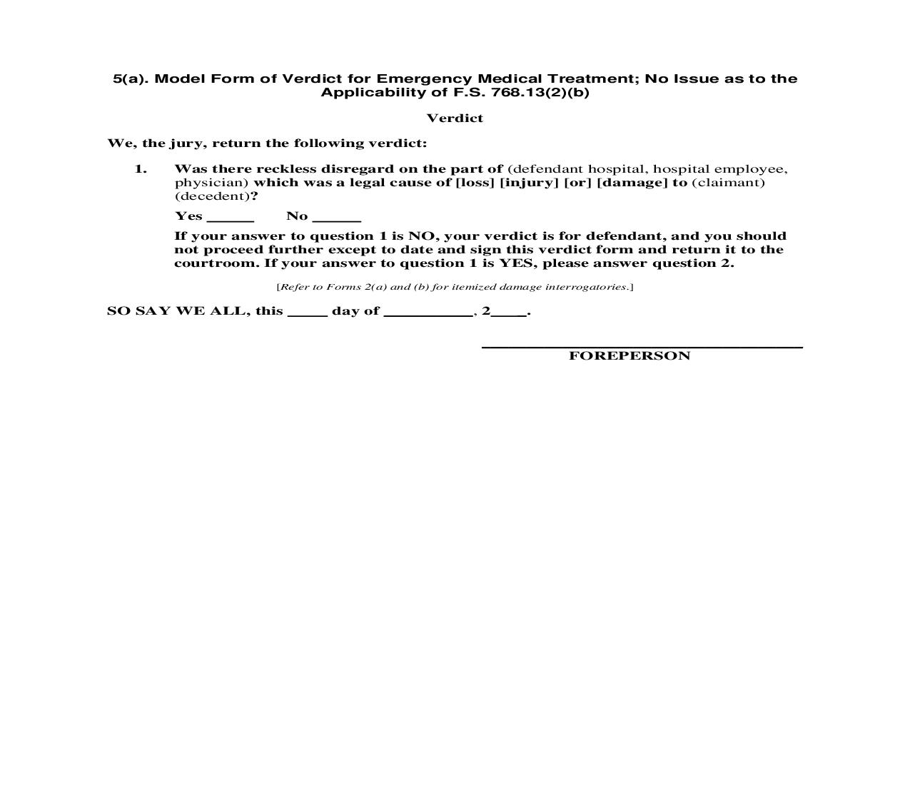
5(a). Model Form of Verdict for Emergency Medical Treatment
Start Your Free Trial $ 5.99What you get:
- Instant access to fillable Microsoft Word or PDF forms.
- Minimize the risk of using outdated forms and eliminate rejected fillings.
- Largest forms database in the USA with more than 80,000 federal, state and agency forms.
- Download, edit, auto-fill multiple forms at once in MS Word using our Forms Workflow Ribbon
- Trusted by 1,000s of Attorneys and Legal Professionals
Description
5(a). Model Form of Verdict for Emergency Medical Treatment; No Issue as to the Applicability of F.S. 768.13(2)(b) Verdict We, the jury, return the following verdict: 1. Was there reckless disregard on the part of (defendant hospital, hospital employee, physician) which was a legal cause of [loss] [injury] [or] [damage] to (claimant) (decedent)? Yes No If your answer to question 1 is NO, your verdict is for defendant, and you should not proceed further except to date and sign this verdict form and return it to the courtroom. If your answer to question 1 is YES, please answer question 2. [Refer to Forms 2(a) and (b) for itemized damage interrogatories.] SO SAY WE ALL, this day of __________, 2 _. ____________________________________ FOREPERSON





