Last updated: 5/29/2015
Declaration In Support Of Waiver Of Vehicle Impoundment {SC-3028}
Start Your Free Trial $ 13.99What you get:
- Instant access to fillable Microsoft Word or PDF forms.
- Minimize the risk of using outdated forms and eliminate rejected fillings.
- Largest forms database in the USA with more than 80,000 federal, state and agency forms.
- Download, edit, auto-fill multiple forms at once in MS Word using our Forms Workflow Ribbon
- Trusted by 1,000s of Attorneys and Legal Professionals
Description
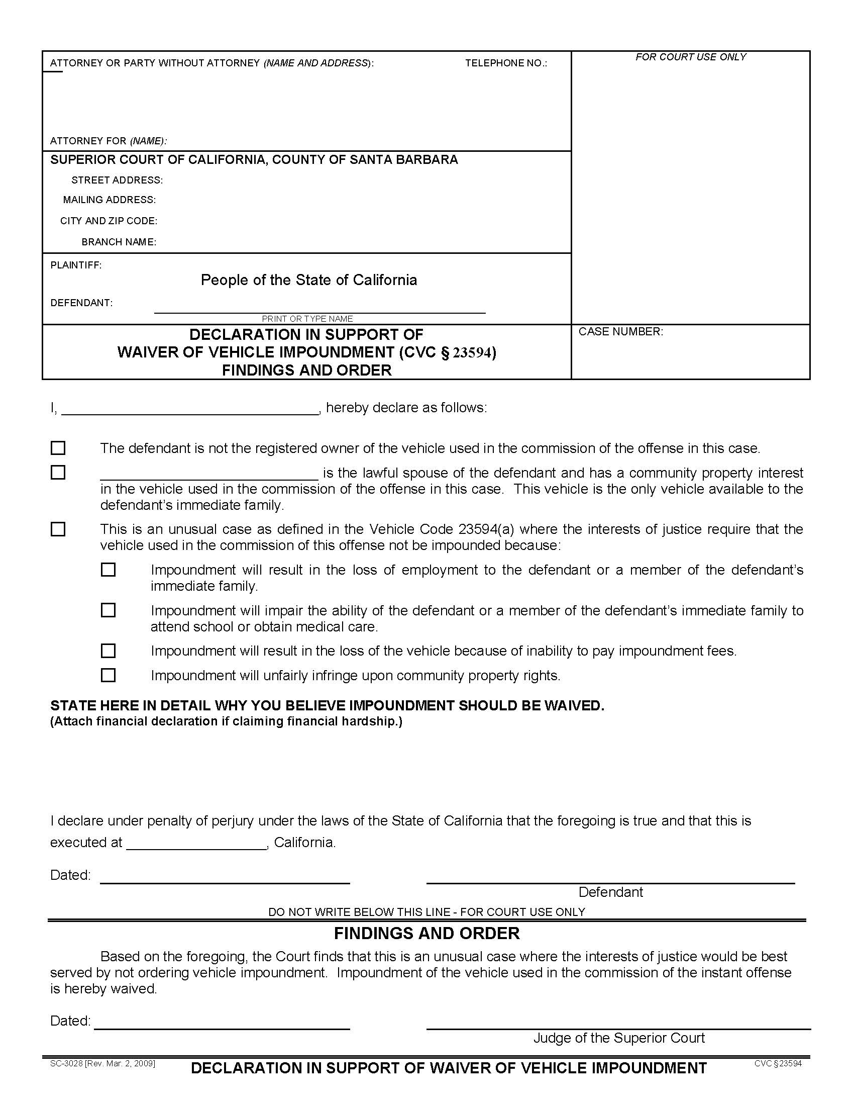
SC-3028 - DECLARATION IN SUPPORT OF WAIVER OF VEHICLE IMPOUNDMENT (CVC § 23594) FINDINGS AND ORDER. This form is used in the Superior Court of California, County of Santa Barbara, to request that the court waive the mandatory impoundment of a vehicle involved in the commission of certain offenses, typically related to DUI or similar violations. This form allows a defendant—or another affected party—to explain why impoundment should not be ordered by presenting evidence that such action would cause undue hardship or is otherwise unjust. Valid reasons include the defendant not being the registered owner, the vehicle being community property of the defendant's spouse and the only transportation available to the family, or circumstances where impoundment would lead to job loss, inability to access education or medical care, financial hardship, or unfair interference with shared property rights. The declarant must detail the justification for the waiver and may attach supporting documents, such as a financial declaration. After review, if the court finds that the situation qualifies as an “unusual case” under Vehicle Code § 23594(a), it may issue an order waiving the vehicle impoundment in the interest of justice. The form is available in both English and Spanish to accommodate broader access. www.FormsWorkflow.com
Related forms
-
Court Ordered Program Notice Of Non-Compliance North County
California/Local County/Santa Barbara/Criminal/ -
Court Ordered Program Notice Of Non-Compliance South County
California/Local County/Santa Barbara/Criminal/ -
Declaration And Application By Defendant PC 1203.4-1203.4a
California/Local County/Santa Barbara/Criminal/ -
Declaration And Application By Defendant
California/Local County/Santa Barbara/Criminal/ -
Declaration In Support Of Waiver Of Vehicle Impoundment
California/Local County/Santa Barbara/Criminal/ -
Petition To Waive Mandatory Installment Of Ignition Interlock
California/Local County/Santa Barbara/Criminal/ -
Court Ordered Program Notice Of Non-Compliance (Domestic Violence Program)
California/Local County/Santa Barbara/Criminal/ -
Ex Parte Motion To Vacate Bail Forfeiture (PC 1305.2) (Infraction And Misdemeanor Cases Only)
California/Local County/Santa Barbara/Criminal/ -
Fax-Counter Arraignment (Lomac-Miller Divisions)
California/Local County/Santa Barbara/Criminal/ -
Fax-Counter Arraignment Procedures (Lomac-Miller Divisions)
California/Local County/Santa Barbara/Criminal/ -
Inmate Hearing Transcript Request
California/Local County/Santa Barbara/Criminal/ -
Petition-Application For Resentencing-Reduction
California/Local County/Santa Barbara/Criminal/ -
Instructions For Declaration And Application By Defendent
California/Local County/Santa Barbara/Criminal/ -
Pre-Trial Agreement (13202.5 VC)
California/Local County/Santa Barbara/Criminal/ -
Order For Destruction Of Weapons And-Or Transfer To Department Of Justice
California/2 Local County/Santa Barbara/Criminal/ -
Order For Return Of Weapon (Criminal)
California/2 Local County/Santa Barbara/Criminal/ -
Order Terminating Deferred Entry Of Judgment (PC 1000) And Entry Of Judgment
California/2 Local County/Santa Barbara/Criminal/ -
Stipulation And Order For Return Of Exhibits (Criminal)
California/2 Local County/Santa Barbara/Criminal/ -
Consent To Conduct Sentencing By Two-Way Electronic Audio-Video Communication
California/2 Local County/Santa Barbara/Criminal/ -
Referral Form–OR-BR Reports
California/2 Local County/Santa Barbara/Criminal/ -
Consent To Conduct Arraignment By Two-Way Electronic Audio-Video Communication
California/2 Local County/Santa Barbara/Criminal/ -
Notice Of Appearance (Criminal Cases)
California/2 Local County/Santa Barbara/Criminal/ -
Declaration Of Prejudice CCP 170.6 Peremptory Challenge
California/Local County/Santa Barbara/Criminal/ -
Misdemeanor Diversion Advisements
California/2 Local County/Santa Barbara/Criminal/ -
Misdemeanor Diversion Order
California/2 Local County/Santa Barbara/Criminal/ -
Order For Victim Restitution (Misdemeanor Diversion)
California/2 Local County/Santa Barbara/Criminal/ -
Request To Calendar
California/Local County/Santa Barbara/Criminal/ -
Order To Be Booked
California/Local County/Santa Barbara/Criminal/ -
Misdemeanor Restitution Order
California/Local County/Santa Barbara/Criminal/ -
Defendants Statement Of Understanding Of Consequences Of Plea CVC 23103.5
California/Local County/Santa Barbara/Criminal/ -
Advisement Of Rights Waiver And Plea Form (Misdemeanor)
California/Local County/Santa Barbara/Criminal/ -
Abandonment Of Appeal
California/Local County/Santa Barbara/Criminal/ -
Order Granting Deferred Entry Of Judgment PC 1000
California/Local County/Santa Barbara/Criminal/ -
Addendum To Advisement, Waiver And Plea Form CVC 1302.5
California/Local County/Santa Barbara/Criminal/ -
Advisement And Waiver Of Right To Counsel (Faretta Waiver) (Criminal)
California/Local County/Santa Barbara/Criminal/ -
Waiver Of Defendants Personal Presence (Criminal)
California/2 Local County/Santa Barbara/Criminal/ -
Order Setting Bail Modification
California/2 Local County/Santa Barbara/Criminal/ -
Order For OR Release (Unsupervised)
California/2 Local County/Santa Barbara/Criminal/ -
Order For Supervised Release Of Prisoner
California/2 Local County/Santa Barbara/Criminal/
Form Preview
Contact Us
Success: Your message was sent.
Thank you!




