California
Judicial Council
Juvenile
200 Ratings
Last updated: 1/13/2026
Six-Month Permanency Attachment-Reunification Services Continued {JV-432}
Start Your Free Trial $ 13.99What you get:
- Instant access to fillable Microsoft Word or PDF forms.
- Minimize the risk of using outdated forms and eliminate rejected fillings.
- Largest forms database in the USA with more than 80,000 federal, state and agency forms.
- Download, edit, auto-fill multiple forms at once in MS Word using our Forms Workflow Ribbon
- Trusted by 1,000s of Attorneys and Legal Professionals
Description
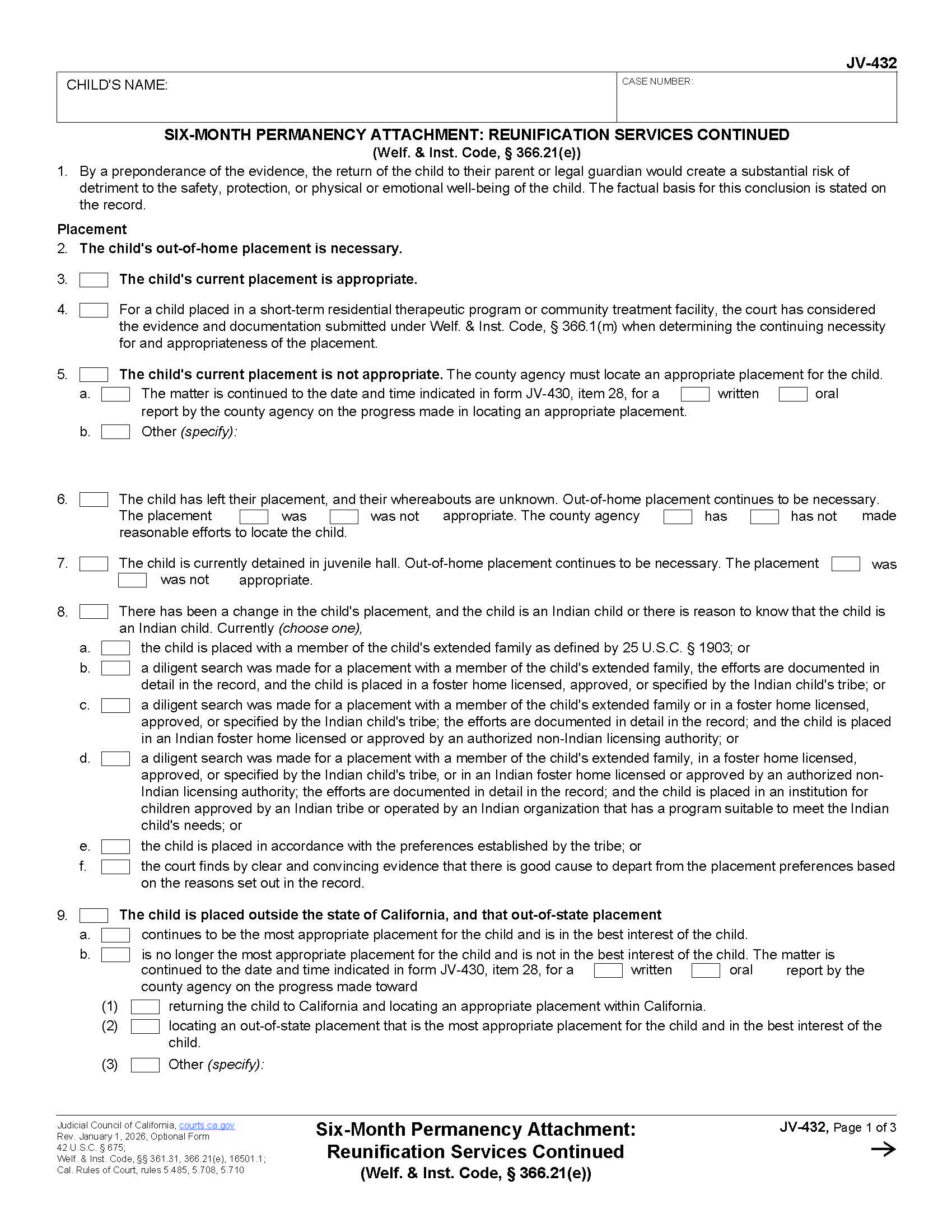
JV-432 - SIX-MONTH PERMANENCY ATTACHMENT: REUNIFICATION SERVICES CONTINUED (Welf. & Inst. Code, § 366.21(e)). This form is used to state more of the court’s decisions (orders) made at a review hearing where the court continues to give the parents services to help the child return home. Form Approved for Optional Use Judicial Council of California. 42 United States Code § 675; Welfare and Institutions Code, §§ 361.31, 366.21(e), 16501.1; Cal. Rules of Court, rules 5.485, 5.708, 5.710. www.Formsworkflow.com
Related forms
-
Abuse Of Sibling 300(j)
California/Judicial Council/Juvenile/ -
Application To Review Decision By Social Worker Not To Commence Proceedings
California/Judicial Council/Juvenile/ -
Caused Another Childs Death Through Abuse Or Neglect
California/Judicial Council/Juvenile/ -
Child Habitually Disobedient 601(a)
California/Judicial Council/Juvenile/ -
Child Habitually Truant 601(b)
California/Judicial Council/Juvenile/ -
Cruelty 300(i)
California/Judicial Council/Juvenile/ -
Determination Of Eligibility Deferred Entry Of Judgment
California/Judicial Council/Juvenile/ -
Freed For Adoption 300(h)
California/Judicial Council/Juvenile/ -
No Provision For Support 300(g)
California/Judicial Council/Juvenile/ -
Notice Of Review Hearing-Juvenile
California/Judicial Council/Juvenile/ -
Notification Of Mailing Address Welfare And Institutions Code 316.1
California/Judicial Council/Juvenile/ -
Order To Seal Juvenile Records
California/Judicial Council/Juvenile/ -
Proof Of Service-Juvenile
California/Judicial Council/Juvenile/ -
Serious Emotional Damage 300(c)
California/Judicial Council/Juvenile/ -
Serious Physical Harm 300(a)
California/Judicial Council/Juvenile/ -
Severe Physical Abuse 300(e)
California/Judicial Council/Juvenile/ -
Sexual Abuse 300(d)
California/Judicial Council/Juvenile/ -
Supplemental Petition For More Restrictive Placement (Attachment)
California/Judicial Council/Juvenile/ -
Visitation Order-Juvenile
California/Judicial Council/Juvenile/ -
Waiver Of Reunification Services (Juvenile Dependency)
California/Judicial Council/Juvenile/ -
Custody Order-Juvenile Final Judgment
California/Judicial Council/Juvenile/ -
Notice Of Hearing On Joinder (Juvenile)
California/Judicial Council/Juvenile/ -
Certified Request For Pupil Records Truancy
California/Judicial Council/Juvenile/ -
Local Educational Agency Response To JV-530
California/Judicial Council/Juvenile/ -
Notice To Child And Parent Guardian Re Release Of Juvenile Police Records And Objection (Juvenile)
California/Judicial Council/Juvenile/ -
De Facto Parent Statement
California/Judicial Council/Juvenile/ -
Order Ending De Facto Parent Status
California/Judicial Council/Juvenile/ -
Citation For Publication Under Welfare And Institutions Code Section 294
California/Judicial Council/Juvenile/ -
Deferred Entry Of Judgment-Dismissal And Sealing Of Juvenile Records
California/Judicial Council/Juvenile/ -
Fax Filing Cover Sheet (Juvenile)
California/Judicial Council/Juvenile/ -
Notice Of Hearing-Juvenile Delinquency Proceeding
California/Judicial Council/Juvenile/ -
Parentage Inquiry-Juvenile
California/Judicial Council/Juvenile/ -
Parentage-Finding And Judgment (Juvenile)
California/Judicial Council/Juvenile/ -
Petition To Obtain Report Of Law Enforcement Agency
California/Judicial Council/Juvenile/ -
Promise To Appear-Juvenile Delinquency (Juvenile 14 Years Or Older)
California/Judicial Council/Juvenile/ -
Proof Of Service Under Section 366.26 Of The Welfare And Institutions Code
California/Judicial Council/Juvenile/ -
Violation Of Law By Child
California/Judicial Council/Juvenile/ -
Waiver Of Rights (Juvenile Dependency)
California/Judicial Council/Juvenile/ -
Childs Information Sheet-Request To Change Court Order
California/Judicial Council/Juvenile/ -
Deferred Entry Of Judgment Order
California/Judicial Council/Juvenile/ -
Dispositional Attachment In-Home Placement With Formal Supervision
California/Judicial Council/Juvenile/ -
Dispositional Attachment Removal From Custodial Parent-Placement With Previously Noncustodial Parent
California/Judicial Council/Juvenile/ -
Dispositional Attachment-Dismissal Of Petition With Or Without Informational Supervision
California/Judicial Council/Juvenile/ -
Eighteen-Month Prepermanency Attachment Child Reunified
California/Judicial Council/Juvenile/ -
Findings And Orders After In-Home Status Review Hearing
California/Judicial Council/Juvenile/ -
Findings And Orders After In-Home Status Review Hearing-Child Placed With Previously Noncustodial Parent
California/Judicial Council/Juvenile/ -
Guardianship (Juvenile)-Childs Consent And Waiver Of Rights
California/Judicial Council/Juvenile/ -
Guardianship (Juvenile)-Consent And Waiver Of Rights
California/Judicial Council/Juvenile/ -
Informal Probation Agreement
California/Judicial Council/Juvenile/ -
Jurisdiction Hearing-Juvenile Delinquency
California/Judicial Council/Juvenile/ -
Order Granting Authority To Consent To Medical Surgical And Dental Care
California/Judicial Council/Juvenile/ -
Petition To Terminate Wardship And Order
California/Judicial Council/Juvenile/ -
Six-Month Prepermanency Attachment Child Reunified
California/Judicial Council/Juvenile/ -
Terms And Conditions
California/Judicial Council/Juvenile/ -
Twelve-Month Permanency Attachment Child Reunified
California/Judicial Council/Juvenile/ -
Visitation Attachment Grandparent
California/Judicial Council/Juvenile/ -
Visitation Attachment Parent Legal Guardian Indian Custodian Other Important Person
California/Judicial Council/Juvenile/ -
Visitation Attachment Sibling
California/Judicial Council/Juvenile/ -
Confidential Information-Prospective Adoptive Parent
California/Judicial Council/Juvenile/ -
Confidential Information (Request To Change Court Order)
California/Judicial Council/Juvenile/ -
Denial Of Petition (California Rules Of Court Rules 8.452 8.456)
California/Judicial Council/Juvenile/ -
Instructions For Notice Of Prospective Adoptive Parent Hearing
California/Judicial Council/Juvenile/ -
Findings And Orders Regarding Tranfer From School Of Origin
California/Judicial Council/Juvenile/ -
Prospective Adoptive Parent Designation Order
California/Judicial Council/Juvenile/ -
Prospective Adoptive Parent Order After Hearing
California/Judicial Council/Juvenile/ -
Proof Of Notice
California/Judicial Council/Juvenile/ -
Notice Of Emergency Removal
California/Judicial Council/Juvenile/ -
Notice Of Intent To Remove Child
California/Judicial Council/Juvenile/ -
Local Educational Agency Response To JV-535-Appointment Of Surrogate Parent
California/Judicial Council/Juvenile/ -
Statement Regarding Parentage (Juvenile)
California/Judicial Council/Juvenile/ -
Your Childs Health And Education
California/Judicial Council/Juvenile/ -
Court Order On Form JV-180 Request To Change Court Order
California/Judicial Council/Juvenile/ -
Order After Hearing On Form JV-180 Request To Change Court Order
California/Judicial Council/Juvenile/ -
Commitment To The California Department Of Corrections And Rehabilitation
California/Judicial Council/Juvenile/ -
Notice Of Action (Cal. Rules Of Court Rule 8.452)
California/Judicial Council/Juvenile/ -
Notice Of Hearing On Selection Of A Permanent Plan
California/Judicial Council/Juvenile/ -
Twenty-Four-Month Permanency Attachment Child Reunified
California/Judicial Council/Juvenile/ -
Sibling Attachment Contact And Placement
California/Judicial Council/Juvenile/ -
Continuance-Dependency General
California/Judicial Council/Juvenile/ -
Request To Return To Juvenile Court Jurisdiction And Foster Care
California/Judicial Council/Juvenile/ -
Attachment Hearing For Dismissal-Additional Findings And Orders-Foster Care Placement-Delinquency
California/Judicial Council/Juvenile/ -
Confidential Information-Request To Return To Juvenile Court Jurisdiction And Foster Care
California/Judicial Council/Juvenile/ -
How To Ask To Return To Juvenile Court Jurisdiction And Foster Care
California/Judicial Council/Juvenile/ -
Prisoners Statement Regarding Appearance At Hearing Affecting Parental Rights
California/Judicial Council/Juvenile/ -
Notice Of Hearing-Nonminor
California/Judicial Council/Juvenile/ -
Deferred Entry Of Judgment Notice Of Noncompliance
California/Judicial Council/Juvenile/ -
Delinquency Court Proceeding Findings And Orders
California/Judicial Council/Juvenile/ -
Order For Prisoners Appearance At Hearing Affecting Parental Rights
California/Judicial Council/Juvenile/ -
Petition To Modify Change Or Set Aside Previous Orders-Change Of Circumstances
California/Judicial Council/Juvenile/ -
Proof Of Service-Nonminor
California/Judicial Council/Juvenile/ -
Authorization To Release Health And Mental Health Information
California/Judicial Council/Juvenile/ -
Consent To Release Education Information
California/Judicial Council/Juvenile/ -
Juvenile Dependency-Cost Of Appointed Counsel-Repayment-Recommendation-Response-Order
California/Judicial Council/Juvenile/ -
Order For Repayment Of Costs Of Legal Services
California/Judicial Council/Juvenile/ -
Order To Appear For Financial Evaluation
California/Judicial Council/Juvenile/ -
Paying For Lawyers In Dependency Court-Information For Parents And Guardians
California/Judicial Council/Juvenile/ -
Recommendation Regarding Ability To Repay Cost Of Legal Services
California/Judicial Council/Juvenile/ -
Response To Recommendation Regarding Ability To Repay Costs Of Legal Services
California/Judicial Council/Juvenile/ -
Expedited Placement Under The Interstate Compact On The Placement Of Children
California/Judicial Council/Juvenile/ -
Request For Assistance With Expedited Placement Under The Interstate Compact
California/Judicial Council/Juvenile/ -
Agreement Of Adoption Of Non Minor Dependant
California/Judicial Council/Juvenile/ -
Consent Of Spouse Or Registered Domestic Partner To Adoption Of Nonminor Dependent
California/Judicial Council/Juvenile/ -
Order Of Adoption Of Nonminor Dependent
California/Judicial Council/Juvenile/ -
Findings And Order After Hearing To Consider Nonminors Request
California/Judicial Council/Juvenile/ -
Findings And Orders After Hearing To Modify Delinquency Jurisdiction
California/Judicial Council/Juvenile/ -
Findings And Orders Regarding Prima Facie Showing On Nonminors Request
California/Judicial Council/Juvenile/ -
Continuance-Juvenile Delinquency
California/Judicial Council/Juvenile/ -
Educational Rights Holder Statement
California/Judicial Council/Juvenile/ -
Findings And Orders After Hearing To Modify Delinquency Jurisdiction To Transition Jurisdiction
California/Judicial Council/Juvenile/ -
Request For Hearing Regarding Childs Access To Services
California/Judicial Council/Juvenile/ -
What Happens If Your Child Is Taken From Your Home
California/Judicial Council/Juvenile/ -
Reasons For No Or Supervised Visitation-Juvenile
California/Judicial Council/Juvenile/ -
Request For Special Immigrant Juvenile Findings
California/Judicial Council/Juvenile/ -
Statement About Medicine Prescribed
California/Judicial Council/Juvenile/ -
Childs Opinion About The Medicine
California/Judicial Council/Juvenile/ -
Declaration Of Eligibility For Appointment To Represent Youth In Delinquency Court
California/Judicial Council/Juvenile/ -
Dismissal And Sealing Of Records-Welfare And Institutions Code Section 786
California/Judicial Council/Juvenile/ -
Acknowledgment Of Juvenile Record Sealed
California/Judicial Council/Juvenile/ -
Guide To Psychotropic Medication Forms
California/Judicial Council/Juvenile/ -
Application For Psychotropic Medication
California/Judicial Council/Juvenile/ -
Physicians Statement-Attachment
California/Judicial Council/Juvenile/ -
Physicians Request To Continue Medication-Attachment
California/Judicial Council/Juvenile/ -
Input On Application For Psychotropic Medication
California/Judicial Council/Juvenile/ -
Opposition to Application Regarding Psychotropic Medication (Spanish)
California/Judicial Council/Juvenile/ -
Order Regarding Application For Psychotropic Medication (Spanish)
California/Judicial Council/Juvenile/ -
Motion To Transfer Out
California/Judicial Council/Juvenile/ -
Juvenile Court Transfer-Out Orders
California/Judicial Council/Juvenile/ -
Juvenile Court Transfer-Out-Orders-Nonminor Dependent
California/Judicial Council/Juvenile/ -
Petition For Extraordinary Writ
California/Judicial Council/Juvenile/ -
Juvenile Order After Request To Reduce Marijuana Offense
California/Judicial Council/Juvenile/ -
Request To Reduce Juvenile Marijuana Offense
California/Judicial Council/Juvenile/ -
Nonminor Dependent-Consent To Copy And Inspect Nonminor Dependents Court File
California/Judicial Council/Juvenile/ -
Order Delegating Judicial Authority Over Psychotropic Medication
California/Judicial Council/Juvenile/ -
Prescribing Physicians Statement—Attachment (Spanish)
California/Judicial Council/Juvenile/ -
Attachment To Request To Reduce Juvenile Marijuana Offense
California/Judicial Council/Juvenile/ -
Order After Request To Reduce Juvenile Marijuana Offense
California/Judicial Council/Juvenile/ -
Prosecuting Agency Response To Request To Reduce Juvenile Marijuana Offense
California/Judicial Council/Juvenile/ -
Instructions For Requesting A Hearing To Review Waiver Of Presumptive Transfer
California/Judicial Council/Juvenile/ -
Notice Of And Order On Request For Hearing On Waiver
California/Judicial Council/Juvenile/ -
Order After Hearing On Waiver Of Presumptive Transfer
California/Judicial Council/Juvenile/ -
Petition To Review Denial Of Sealing Of Records After Diversion Program
California/Judicial Council/Juvenile/ -
Request For Hearing On Waiver Of Presumptive Transfer
California/Judicial Council/Juvenile/ -
Attachment To Proof Of Service-Juvenile (Additional Person Served)
California/Judicial Council/Juvenile/ -
Objection To Out-Of-Country Placement And Notice Of Hearing
California/Judicial Council/Juvenile/ -
Order After Request To Expunge Arrest Or Vacate Adjudication
California/Judicial Council/Juvenile/ -
Order After Request To Vacate Disposition And Dismiss Penal Code Section 647f
California/Judicial Council/Juvenile/ -
Request To Expunge Arrest Or Vacate Adjudication (Human Trafficking Victim)
California/Judicial Council/Juvenile/ -
Request To Vacate Disposition And Dismiss Penal Code Section 6471
California/Judicial Council/Juvenile/ -
De Facto Parent Order
California/1 Judicial Council/Juvenile/ -
De Facto Parent Pamphlet
California/1 Judicial Council/Juvenile/ -
Letters Of Guardianship (Juvenile)
California/1 Judicial Council/Juvenile/ -
Information Regarding Appeal Rights
California/1 Judicial Council/Juvenile/ -
Notice Of Intent To Place Child Out Of Country
California/Judicial Council/Juvenile/ -
Request To Change Court Order
California/Judicial Council/Juvenile/ -
Juvenile Wardship Petition
California/Judicial Council/Juvenile/ -
Termination Of Dependency For Adoption
California/Judicial Council/Juvenile/ -
County Report On Psychotropic Medication
California/Judicial Council/Juvenile/ -
Confidential Information
California/Judicial Council/Juvenile/ -
Notice Of Intent To File Writ Petition And Request For Record
California/Judicial Council/Juvenile/ -
Information On Requesting Access To Records For Person With A Limited Right
California/1 Judicial Council/Juvenile/ -
Objection To Removal
California/Judicial Council/Juvenile/ -
Caregiver Information Form
California/Judicial Council/Juvenile/ -
De Facto Parent Request
California/Judicial Council/Juvenile/ -
Order On Application For Psychotropic Medication
California/Judicial Council/Juvenile/ -
Information On Educational Rights Holders
California/1 Judicial Council/Juvenile/ -
Position On Release Of Information To Medical Board Of California
California/1 Judicial Council/Juvenile/ -
Relative Information
California/Judicial Council/Juvenile/ -
Withdrawl Of Release Of Information To Medical Board Of California
California/1 Judicial Council/Juvenile/ -
Request For Prospective Adoptive Parent Designation
California/Judicial Council/Juvenile/ -
Notice Of Intent To File Writ Petition And Request For Record
California/Judicial Council/Juvenile/ -
Proof Of Notice Of Application
California/Judicial Council/Juvenile/ -
First Review Hearing After Youth Turns 16 Years Of Age
California/1 Judicial Council/Juvenile/ -
Dispositional Attachment Appointment Of Guardian
California/Judicial Council/Juvenile/ -
Findings And Orders After Nonminor Disposition Hearing
California/1 Judicial Council/Juvenile/ -
Prosecutor Request For Access To Sealed Juvenile Case File
California/1 Judicial Council/Juvenile/ -
Recommendation For Appointment Of Appellate Attorney For Child
California/Judicial Council/Juvenile/ -
Findings And Orders For Child Approaching Majority-Delinquency
California/Judicial Council/Juvenile/ -
Notice Of Prosecutor Request For Access To Sealed Juvenile Case File
California/1 Judicial Council/Juvenile/ -
Order Designating Educational Rights Holder
California/Judicial Council/Juvenile/ -
Response To Prosecutor Request For Access To Sealed Juvenile Case File
California/1 Judicial Council/Juvenile/ -
Request To Seal Juvenile Records
California/Judicial Council/Juvenile/ -
Attachment Additional Findings And Orders For Child Approaching Majority-Dependency
California/Judicial Council/Juvenile/ -
Nonminors Informed Consent To Hold Disposition Hearing
California/1 Judicial Council/Juvenile/ -
Order On Prosecutor Request For Access To Sealed File
California/1 Judicial Council/Juvenile/ -
Findings And Orders After Hearing To Consider Termination Of Juvenile Court Jurisdiction
California/Judicial Council/Juvenile/ -
Attachment To Order Designating Educational Rights Holder
California/Judicial Council/Juvenile/ -
Law Enforcement Notice On Sealing Of Records
California/1 Judicial Council/Juvenile/ -
Petition To Seal Juvenile Police Records
California/1 Judicial Council/Juvenile/ -
Acknowledgment Of Juvenile Diversion Record Sealed
California/1 Judicial Council/Juvenile/ -
How To Ask The Court To Seal Your Records
California/Judicial Council/Juvenile/ -
Probation Department Notice On Sealing Of Records After Diversion Program
California/Judicial Council/Juvenile/ -
Sealing Of Records For Satisfactory Completion Of Probation
California/Judicial Council/Juvenile/ -
Findings And Orders Regarding Exit And Reentry Of Jurisdiction-Nonminor Dependent
California/Judicial Council/Juvenile/ -
Application To Commence Juvenile Court Proceedings And Decision Of Social Worker
California/Judicial Council/Juvenile/ -
Probate Court Request For Juvenile Court Review Of Decision Not To Commence Proceedings
California/Judicial Council/Juvenile/ -
Placing Agencys Request For Review Of Placement In Short-Term Residential Therapeutic Program
California/1 Judicial Council/Juvenile/ -
Input On Placement In Short-Term Residential Therapeutic Program
California/1 Judicial Council/Juvenile/ -
Proof Of Service-Short-Term Residential Therapeutic Program
California/1 Judicial Council/Juvenile/ -
Notice Of Hearing On Placement In Short-Term Residential Therapeutic Program
California/1 Judicial Council/Juvenile/ -
Request To Reschedule Restraining Order Hearing
California/Judicial Council/Juvenile/ -
Noncompliance With Firearms And Ammunition Order Or Warrant
California/Judicial Council/Juvenile/ -
Information On Juvenile Court Guardianship
California/1 Judicial Council/Juvenile/ -
Review Hearing For Youth Approaching 18 Years Of Age
California/1 Judicial Council/Juvenile/ -
Review Hearing For Youth 18 Years Of Age Or Older
California/1 Judicial Council/Juvenile/ -
Termination Of Juvenile Court Jurisdiction-Nonminor
California/Judicial Council/Juvenile/ -
Findings And Orders After Postpermanency Hearing-Parental Rights Terminated Permanent Plan Of Adoption
California/Judicial Council/Juvenile/ -
Status Review Attachment Sexual And Reproductive Health Services
California/Judicial Council/Juvenile/ -
Dispositional Attachment-Nonminor Dependent
California/1 Judicial Council/Juvenile/ -
Findings And Orders After Nonminor Dependent Status Review Hearing
California/Judicial Council/Juvenile/ -
Findings And Orders After Permanency Hearing-Delinquency
California/Judicial Council/Juvenile/ -
Findings And Orders After Postpermanency Hearing-Delinquency
California/Judicial Council/Juvenile/ -
Notice Of Appeal-Juvenile
California/Judicial Council/Juvenile/ -
Juvenile Dependency Petition (Version One)
California/Judicial Council/Juvenile/ -
Initial Appearance Hearing-Juvenile Delinquency
California/Judicial Council/Juvenile/ -
Juvenile Dependency Petition (Version Two)
California/Judicial Council/Juvenile/ -
Failure To Protect 300(b)
California/Judicial Council/Juvenile/ -
Petition And Order To Exit And Reenter Jurisdiction-Nonminor Dependent
California/Judicial Council/Juvenile/ -
Juvenile Justice Court Information For Parents
California/Judicial Council/Juvenile/ -
Waiver Of Rights-Juvenile Justice
California/Judicial Council/Juvenile/ -
Disposition-Juvenile Delinquency
California/Judicial Council/Juvenile/ -
Custodial And Out Of Home Placement Disposition Attachment
California/Judicial Council/Juvenile/ -
School Notification Of Court Adjudication
California/Judicial Council/Juvenile/ -
Notification To Sheriff Of Juvenile Delinquency Felony Adjudication
California/Judicial Council/Juvenile/ -
Commitment To Secure Youth Treatment Facility
California/Judicial Council/Juvenile/ -
Juvenile Notice Of Violation Of Probation
California/Judicial Council/Juvenile/ -
Citation And Written Notification For Deferred Entry Of Judgment-Juvenile
California/Judicial Council/Juvenile/ -
Order To Transfer Juvenile To Criminal Court Jurisdiction
California/Judicial Council/Juvenile/ -
Petition To Terminate Juvenile Sex Offender Registration
California/Judicial Council/Juvenile/ -
Response By District Attorney To Petition To Terminate Juvenile Sex Offender Registration
California/Judicial Council/Juvenile/ -
Order On Petition To Terminate Juvenile Sex Offender Registration
California/Judicial Council/Juvenile/ -
Proof Of Service-Juvenile Sex Offender Registration Termination
California/Judicial Council/Juvenile/ -
Proof Of Notice Of Hearing On Application For Voluntary Admission
California/Judicial Council/Juvenile/ -
Ex Parte Application For Voluntary Admission To Psychiatric Residential Treatment Facility
California/Judicial Council/Juvenile/ -
Order On Application For Voluntary Admission To Psychiatric Residential Treatment Facility
California/Judicial Council/Juvenile/ -
Findings And Orders After Six-Month Prepermanency Hearing-Delinquency
California/Judicial Council/Juvenile/ -
Review Of Voluntary Admission Of Child To Psychiatric Residential Treatment Facility
California/Judicial Council/Juvenile/ -
Review Of Voluntary Admission Of Nonminor Or Nonminor Dependent To Psychiatic Residential
California/Judicial Council/Juvenile/ -
Admission To Psychiatric Residential Treatment Facility By Consent Of Conservator
California/Judicial Council/Juvenile/ -
Notice Of Request For Approval Of Short-Term Residential Therapeutic Program
California/Judicial Council/Juvenile/ -
Request For Juvenile Restraining Order
California/Judicial Council/Juvenile/ -
Order On Request To Reschedule Restraining Order Hearing
California/Judicial Council/Juvenile/ -
Request For Juvenile Restraining Order Against A Child
California/Judicial Council/Juvenile/ -
Background On Release Of Information To Medical Board Of California
California/1 Judicial Council/Juvenile/ -
Temporary Restraining Order-Juvenile (CLETS-TJV)
California/1 Judicial Council/Juvenile/ -
Order To Change Or End Restraining Order After Hearing-Juvenile (CLETS)
California/Judicial Council/Juvenile/ -
Temporary Restraining Order Against A Child (CLETS-TJC)
California/Judicial Council/Juvenile/ -
Proof Of Personal Service
California/Judicial Council/Juvenile/ -
Prohibited Items Finding And Orders
California/Judicial Council/Juvenile/ -
Application For Extension Of Time To File Brief (Juvenile Justice Case)
California/Judicial Council/Juvenile/ -
Application For Extension Of Time To File Brief (Juvenile Dependency Case)
California/Judicial Council/Juvenile/ -
Order On Placement In Short-Term Residential Therapeutic Program
California/1 Judicial Council/Juvenile/ -
Notice Of Court Hearing
California/Judicial Council/Juvenile/ -
Additional Children Attachment Juvenile Dependency Petition
California/Judicial Council/Juvenile/ -
Response To Request For Juvenile Restraining Order
California/Judicial Council/Juvenile/ -
Juvenile Restraining Order After Hearing (CLETS-OJV)
California/1 Judicial Council/Juvenile/ -
Response To Request For Juvenile Restraining Order Against A Child
California/Judicial Council/Juvenile/ -
Juvenile Restraining Order Against A Child-Order After Hearing (CLETS-OJC)
California/Judicial Council/Juvenile/ -
Order Granting Welfare And Institutions Code Section 827 Petition Attachment-Required Redactions
California/Judicial Council/Juvenile/ -
Permission To Have Firearm Or Ammunition For Work
California/Judicial Council/Juvenile/ -
Proof Of Service-Petition For Public Disclosure Of Deceased Childs-File
California/Judicial Council/Juvenile/ -
Orders Under Welfare And Institutions Code Sections 366.24 366.26 727.3 727.31
California/Judicial Council/Juvenile/ -
Continuance-Dependency Detention Hearing
California/Judicial Council/Juvenile/ -
Findings And Orders After Detention Hearing
California/Judicial Council/Juvenile/ -
Findings And Orders After Jurisdictional Hearing
California/Judicial Council/Juvenile/ -
Findings And Orders After Dispositional Hearing
California/Judicial Council/Juvenile/ -
Dispositional Attachment Removal From Custodial Parent-Placement With Nonparent
California/Judicial Council/Juvenile/ -
Findings And Orders After Six-Month Status Review Hearing
California/Judicial Council/Juvenile/ -
Six-Month Permanency Attachment-Reunification Services Continued
California/Judicial Council/Juvenile/ -
Six-Months Permanency Attachment-Reunification Services Terminated
California/Judicial Council/Juvenile/ -
Findings And Orders After 12-Month Permanency Hearing
California/Judicial Council/Juvenile/ -
Twelve-Month Permanency Attachment Reunification Services Continued
California/Judicial Council/Juvenile/ -
Twelve-Month Permanency Attachment Reunification Services Terminated
California/Judicial Council/Juvenile/ -
Findings And Orders After 18-Month Permanency Hearing
California/Judicial Council/Juvenile/ -
Eighteen-Month Permanency Attachment Reunification Services Terminated
California/Judicial Council/Juvenile/ -
Eighteen-Month Permanency Attachment-Runification Services Continued
California/Judicial Council/Juvenile/ -
Findings And Orders After Postpermanency Hearing-Permenent Plan Other Than Adoption
California/Judicial Council/Juvenile/ -
Findings And Orders After 24-Month Permanency Hearing
California/Judicial Council/Juvenile/ -
Twenty-Four-Month Permanency Attachment Reunification Services Terminated
California/Judicial Council/Juvenile/ -
Proof Of Service-Petition For Access To Juvenile Case File
California/Judicial Council/Juvenile/ -
Petition For Access To Juvenile Case File
California/Judicial Council/Juvenile/ -
Notice Of Petition To Access To Juvenile Case File
California/Judicial Council/Juvenile/ -
Objection To Release Of Juvenile Case File
California/Judicial Council/Juvenile/ -
Order On Petition For Access To Juvenile Case File
California/Judicial Council/Juvenile/ -
Order After Judicial Review On Petition For Access To Juvenile Case File
California/Judicial Council/Juvenile/ -
Findings And Orders After Initial Hearing On Request For Relief
California/Judicial Council/Juvenile/ -
Petition For Public Disclosure Of A Deceased Childs Juvenile Dependency Case File
California/Judicial Council/Juvenile/ -
Preliminary Orders After Request For Relief Under The Racial Justice Act
California/Judicial Council/Juvenile/ -
The Racial Justice Act In Juvenile Court
California/Judicial Council/Juvenile/ -
Objection To Public Disclosure Of A Deceased Childs Juvenile Dependency Case File
California/Judicial Council/Juvenile/ -
Order On Petition For Public Disclosure Of A Deceased Childs-File
California/Judicial Council/Juvenile/ -
Order After Judicial Review On Petition For Public Disclosure Of A Deceased Childs-File
California/Judicial Council/Juvenile/ -
Request For Relief Under The Racial Justice Act-Juvenile Adjudication
California/Judicial Council/Juvenile/ -
Notice Of Petition For Public Disclosure Of A Deceased Childs-File
California/Judicial Council/Juvenile/ -
Findings And Orders After Evidentiary Hearing On Request For Relief
California/Judicial Council/Juvenile/ -
Information On Filing A Petition To Terminate Juvenile Sex Offender Registration
California/Judicial Council/Juvenile/ -
Financial Declaration-Juvenile Dependency (Juvenile)
California/Judicial Council/Juvenile/
Form Preview
Sorry, we couldn't download the pdf file.
Our Products
Contact Us
Success: Your message was sent.
Thank you!




