Last updated: 1/14/2026
Order Granting Welfare And Institutions Code Section 827 Petition Attachment-Required Redactions {JV-576}
Start Your Free Trial $ 6.00What you get:
- Instant access to fillable Microsoft Word or PDF forms.
- Minimize the risk of using outdated forms and eliminate rejected fillings.
- Largest forms database in the USA with more than 80,000 federal, state and agency forms.
- Download, edit, auto-fill multiple forms at once in MS Word using our Forms Workflow Ribbon
- Trusted by 1,000s of Attorneys and Legal Professionals
Description
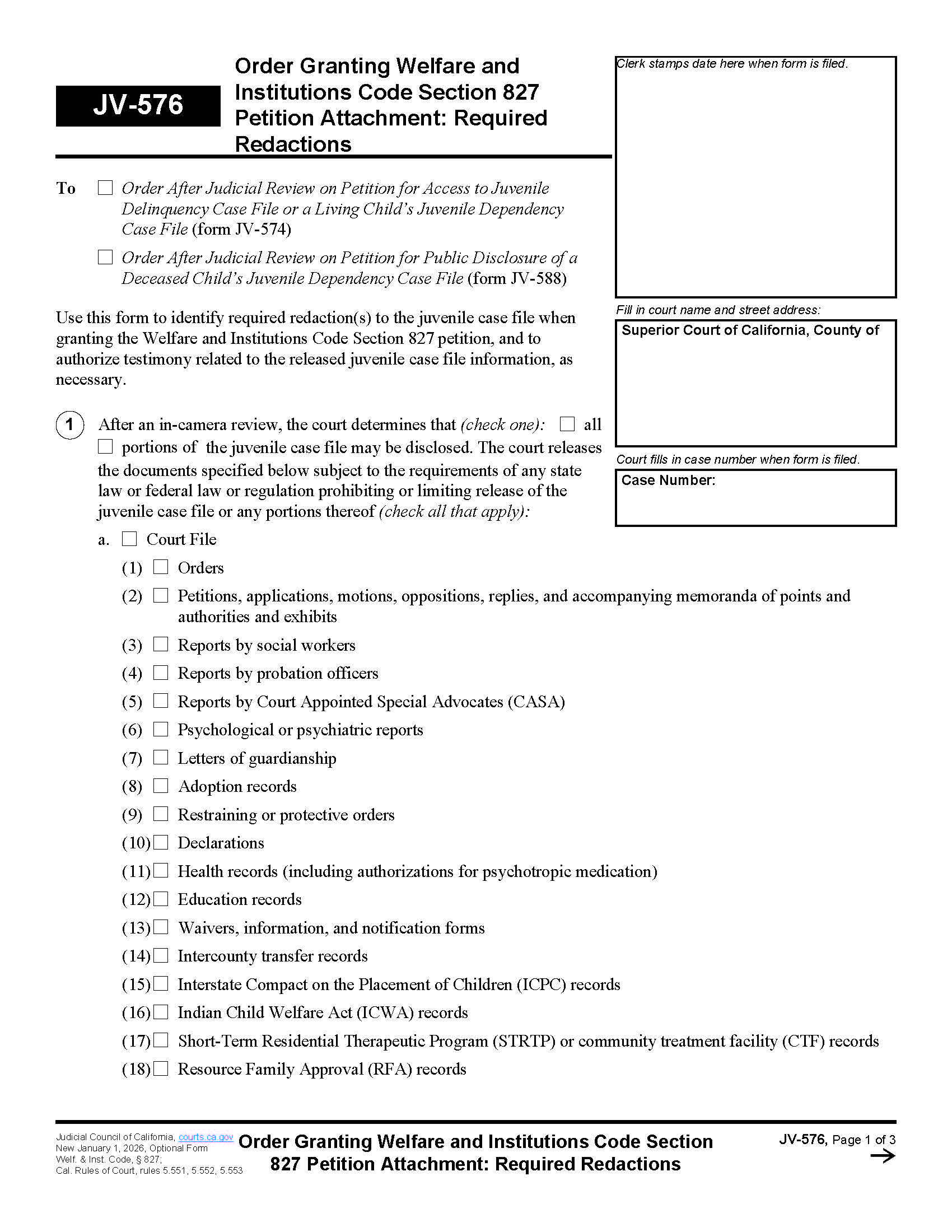
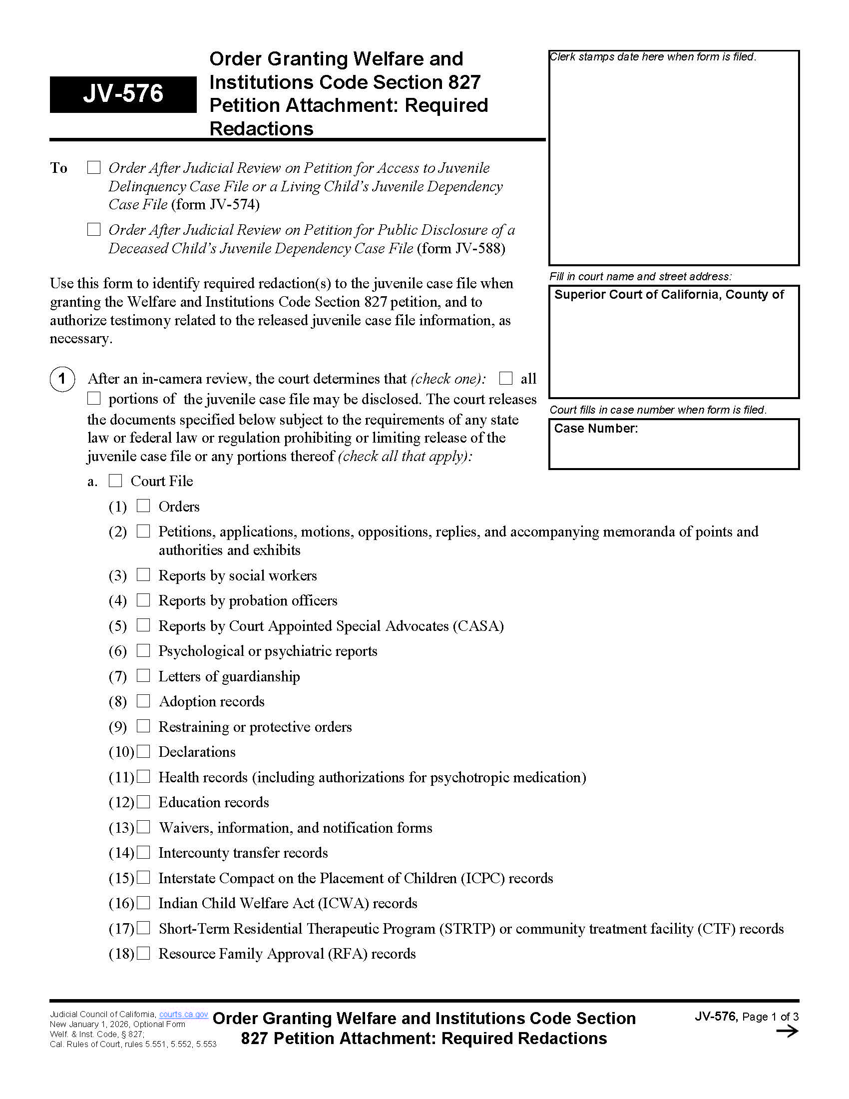
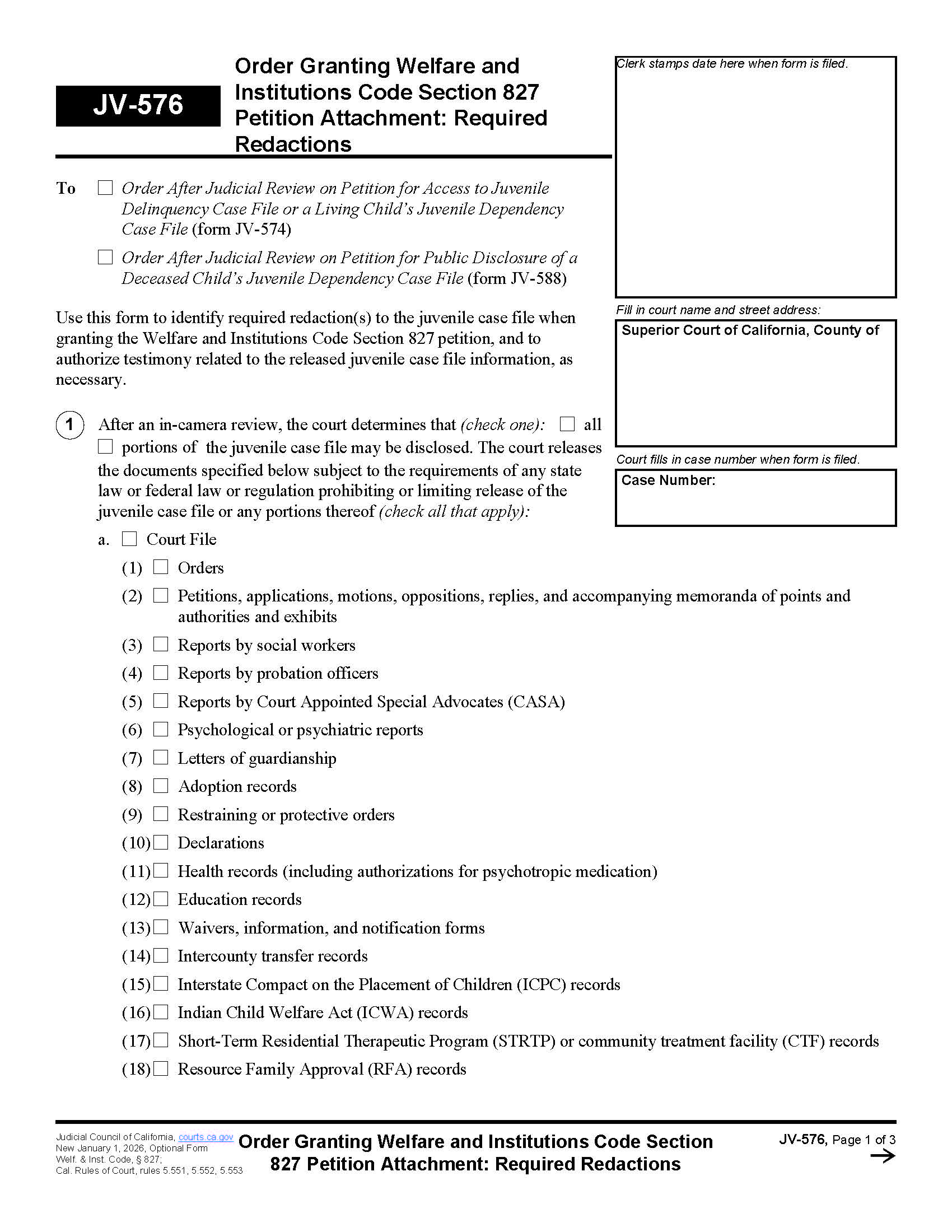
JV-576 - ORDER GRANTING WELFARE AND INSTITUTIONS CODE SECTION 827 PETITION ATTACHMENT: REQUIRED REDACTIONS. This form is used when the court grants a petition under Welfare and Institutions Code section 827 to identify which parts of a juvenile case file must be redacted before release. This form also allows the court to authorize testimony about the released information. The form lists specific types of documents and information that may be released and identifies what must be removed or redacted to protect privacy and comply with state and federal laws. Judicial Council of California, Optional Form. Welf. & Inst. Code, § 827; Cal. Rules of Court, rules 5.551, 5.552, 5.553. www.FormsWorkflow.com
Related forms
-
Abuse Of Sibling 300(j)
California/Judicial Council/Juvenile/ -
Application To Review Decision By Social Worker Not To Commence Proceedings
California/Judicial Council/Juvenile/ -
Caused Another Childs Death Through Abuse Or Neglect
California/Judicial Council/Juvenile/ -
Child Habitually Disobedient 601(a)
California/Judicial Council/Juvenile/ -
Child Habitually Truant 601(b)
California/Judicial Council/Juvenile/ -
Cruelty 300(i)
California/Judicial Council/Juvenile/ -
Determination Of Eligibility Deferred Entry Of Judgment
California/Judicial Council/Juvenile/ -
Freed For Adoption 300(h)
California/Judicial Council/Juvenile/ -
No Provision For Support 300(g)
California/Judicial Council/Juvenile/ -
Notice Of Review Hearing-Juvenile
California/Judicial Council/Juvenile/ -
Notification Of Mailing Address Welfare And Institutions Code 316.1
California/Judicial Council/Juvenile/ -
Order To Seal Juvenile Records
California/Judicial Council/Juvenile/ -
Proof Of Service-Juvenile
California/Judicial Council/Juvenile/ -
Serious Emotional Damage 300(c)
California/Judicial Council/Juvenile/ -
Serious Physical Harm 300(a)
California/Judicial Council/Juvenile/ -
Severe Physical Abuse 300(e)
California/Judicial Council/Juvenile/ -
Sexual Abuse 300(d)
California/Judicial Council/Juvenile/ -
Supplemental Petition For More Restrictive Placement (Attachment)
California/Judicial Council/Juvenile/ -
Visitation Order-Juvenile
California/Judicial Council/Juvenile/ -
Waiver Of Reunification Services (Juvenile Dependency)
California/Judicial Council/Juvenile/ -
Custody Order-Juvenile Final Judgment
California/Judicial Council/Juvenile/ -
Notice Of Hearing On Joinder (Juvenile)
California/Judicial Council/Juvenile/ -
Certified Request For Pupil Records Truancy
California/Judicial Council/Juvenile/ -
Local Educational Agency Response To JV-530
California/Judicial Council/Juvenile/ -
Notice To Child And Parent Guardian Re Release Of Juvenile Police Records And Objection (Juvenile)
California/Judicial Council/Juvenile/ -
De Facto Parent Statement
California/Judicial Council/Juvenile/ -
Order Ending De Facto Parent Status
California/Judicial Council/Juvenile/ -
Citation For Publication Under Welfare And Institutions Code Section 294
California/Judicial Council/Juvenile/ -
Deferred Entry Of Judgment-Dismissal And Sealing Of Juvenile Records
California/Judicial Council/Juvenile/ -
Fax Filing Cover Sheet (Juvenile)
California/Judicial Council/Juvenile/ -
Notice Of Hearing-Juvenile Delinquency Proceeding
California/Judicial Council/Juvenile/ -
Parentage Inquiry-Juvenile
California/Judicial Council/Juvenile/ -
Parentage-Finding And Judgment (Juvenile)
California/Judicial Council/Juvenile/ -
Petition To Obtain Report Of Law Enforcement Agency
California/Judicial Council/Juvenile/ -
Promise To Appear-Juvenile Delinquency (Juvenile 14 Years Or Older)
California/Judicial Council/Juvenile/ -
Proof Of Service Under Section 366.26 Of The Welfare And Institutions Code
California/Judicial Council/Juvenile/ -
Violation Of Law By Child
California/Judicial Council/Juvenile/ -
Waiver Of Rights (Juvenile Dependency)
California/Judicial Council/Juvenile/ -
Childs Information Sheet-Request To Change Court Order
California/Judicial Council/Juvenile/ -
Deferred Entry Of Judgment Order
California/Judicial Council/Juvenile/ -
Dispositional Attachment In-Home Placement With Formal Supervision
California/Judicial Council/Juvenile/ -
Dispositional Attachment Removal From Custodial Parent-Placement With Previously Noncustodial Parent
California/Judicial Council/Juvenile/ -
Dispositional Attachment-Dismissal Of Petition With Or Without Informational Supervision
California/Judicial Council/Juvenile/ -
Eighteen-Month Prepermanency Attachment Child Reunified
California/Judicial Council/Juvenile/ -
Findings And Orders After In-Home Status Review Hearing
California/Judicial Council/Juvenile/ -
Findings And Orders After In-Home Status Review Hearing-Child Placed With Previously Noncustodial Parent
California/Judicial Council/Juvenile/ -
Guardianship (Juvenile)-Childs Consent And Waiver Of Rights
California/Judicial Council/Juvenile/ -
Guardianship (Juvenile)-Consent And Waiver Of Rights
California/Judicial Council/Juvenile/ -
Informal Probation Agreement
California/Judicial Council/Juvenile/ -
Jurisdiction Hearing-Juvenile Delinquency
California/Judicial Council/Juvenile/ -
Order Granting Authority To Consent To Medical Surgical And Dental Care
California/Judicial Council/Juvenile/ -
Petition To Terminate Wardship And Order
California/Judicial Council/Juvenile/ -
Six-Month Prepermanency Attachment Child Reunified
California/Judicial Council/Juvenile/ -
Terms And Conditions
California/Judicial Council/Juvenile/ -
Twelve-Month Permanency Attachment Child Reunified
California/Judicial Council/Juvenile/ -
Visitation Attachment Grandparent
California/Judicial Council/Juvenile/ -
Visitation Attachment Parent Legal Guardian Indian Custodian Other Important Person
California/Judicial Council/Juvenile/ -
Visitation Attachment Sibling
California/Judicial Council/Juvenile/ -
Confidential Information-Prospective Adoptive Parent
California/Judicial Council/Juvenile/ -
Confidential Information (Request To Change Court Order)
California/Judicial Council/Juvenile/ -
Denial Of Petition (California Rules Of Court Rules 8.452 8.456)
California/Judicial Council/Juvenile/ -
Instructions For Notice Of Prospective Adoptive Parent Hearing
California/Judicial Council/Juvenile/ -
Findings And Orders Regarding Tranfer From School Of Origin
California/Judicial Council/Juvenile/ -
Prospective Adoptive Parent Designation Order
California/Judicial Council/Juvenile/ -
Prospective Adoptive Parent Order After Hearing
California/Judicial Council/Juvenile/ -
Proof Of Notice
California/Judicial Council/Juvenile/ -
Notice Of Emergency Removal
California/Judicial Council/Juvenile/ -
Notice Of Intent To Remove Child
California/Judicial Council/Juvenile/ -
Local Educational Agency Response To JV-535-Appointment Of Surrogate Parent
California/Judicial Council/Juvenile/ -
Statement Regarding Parentage (Juvenile)
California/Judicial Council/Juvenile/ -
Your Childs Health And Education
California/Judicial Council/Juvenile/ -
Court Order On Form JV-180 Request To Change Court Order
California/Judicial Council/Juvenile/ -
Order After Hearing On Form JV-180 Request To Change Court Order
California/Judicial Council/Juvenile/ -
Commitment To The California Department Of Corrections And Rehabilitation
California/Judicial Council/Juvenile/ -
Notice Of Action (Cal. Rules Of Court Rule 8.452)
California/Judicial Council/Juvenile/ -
Notice Of Hearing On Selection Of A Permanent Plan
California/Judicial Council/Juvenile/ -
Twenty-Four-Month Permanency Attachment Child Reunified
California/Judicial Council/Juvenile/ -
Sibling Attachment Contact And Placement
California/Judicial Council/Juvenile/ -
Continuance-Dependency General
California/Judicial Council/Juvenile/ -
Request To Return To Juvenile Court Jurisdiction And Foster Care
California/Judicial Council/Juvenile/ -
Attachment Hearing For Dismissal-Additional Findings And Orders-Foster Care Placement-Delinquency
California/Judicial Council/Juvenile/ -
Confidential Information-Request To Return To Juvenile Court Jurisdiction And Foster Care
California/Judicial Council/Juvenile/ -
How To Ask To Return To Juvenile Court Jurisdiction And Foster Care
California/Judicial Council/Juvenile/ -
Prisoners Statement Regarding Appearance At Hearing Affecting Parental Rights
California/Judicial Council/Juvenile/ -
Notice Of Hearing-Nonminor
California/Judicial Council/Juvenile/ -
Deferred Entry Of Judgment Notice Of Noncompliance
California/Judicial Council/Juvenile/ -
Delinquency Court Proceeding Findings And Orders
California/Judicial Council/Juvenile/ -
Order For Prisoners Appearance At Hearing Affecting Parental Rights
California/Judicial Council/Juvenile/ -
Petition To Modify Change Or Set Aside Previous Orders-Change Of Circumstances
California/Judicial Council/Juvenile/ -
Proof Of Service-Nonminor
California/Judicial Council/Juvenile/ -
Authorization To Release Health And Mental Health Information
California/Judicial Council/Juvenile/ -
Consent To Release Education Information
California/Judicial Council/Juvenile/ -
Juvenile Dependency-Cost Of Appointed Counsel-Repayment-Recommendation-Response-Order
California/Judicial Council/Juvenile/ -
Order For Repayment Of Costs Of Legal Services
California/Judicial Council/Juvenile/ -
Order To Appear For Financial Evaluation
California/Judicial Council/Juvenile/ -
Paying For Lawyers In Dependency Court-Information For Parents And Guardians
California/Judicial Council/Juvenile/ -
Recommendation Regarding Ability To Repay Cost Of Legal Services
California/Judicial Council/Juvenile/ -
Response To Recommendation Regarding Ability To Repay Costs Of Legal Services
California/Judicial Council/Juvenile/ -
Expedited Placement Under The Interstate Compact On The Placement Of Children
California/Judicial Council/Juvenile/ -
Request For Assistance With Expedited Placement Under The Interstate Compact
California/Judicial Council/Juvenile/ -
Agreement Of Adoption Of Non Minor Dependant
California/Judicial Council/Juvenile/ -
Consent Of Spouse Or Registered Domestic Partner To Adoption Of Nonminor Dependent
California/Judicial Council/Juvenile/ -
Order Of Adoption Of Nonminor Dependent
California/Judicial Council/Juvenile/ -
Findings And Order After Hearing To Consider Nonminors Request
California/Judicial Council/Juvenile/ -
Findings And Orders After Hearing To Modify Delinquency Jurisdiction
California/Judicial Council/Juvenile/ -
Findings And Orders Regarding Prima Facie Showing On Nonminors Request
California/Judicial Council/Juvenile/ -
Continuance-Juvenile Delinquency
California/Judicial Council/Juvenile/ -
Educational Rights Holder Statement
California/Judicial Council/Juvenile/ -
Findings And Orders After Hearing To Modify Delinquency Jurisdiction To Transition Jurisdiction
California/Judicial Council/Juvenile/ -
Request For Hearing Regarding Childs Access To Services
California/Judicial Council/Juvenile/ -
What Happens If Your Child Is Taken From Your Home
California/Judicial Council/Juvenile/ -
Reasons For No Or Supervised Visitation-Juvenile
California/Judicial Council/Juvenile/ -
Request For Special Immigrant Juvenile Findings
California/Judicial Council/Juvenile/ -
Statement About Medicine Prescribed
California/Judicial Council/Juvenile/ -
Childs Opinion About The Medicine
California/Judicial Council/Juvenile/ -
Declaration Of Eligibility For Appointment To Represent Youth In Delinquency Court
California/Judicial Council/Juvenile/ -
Dismissal And Sealing Of Records-Welfare And Institutions Code Section 786
California/Judicial Council/Juvenile/ -
Acknowledgment Of Juvenile Record Sealed
California/Judicial Council/Juvenile/ -
Guide To Psychotropic Medication Forms
California/Judicial Council/Juvenile/ -
Application For Psychotropic Medication
California/Judicial Council/Juvenile/ -
Physicians Statement-Attachment
California/Judicial Council/Juvenile/ -
Physicians Request To Continue Medication-Attachment
California/Judicial Council/Juvenile/ -
Input On Application For Psychotropic Medication
California/Judicial Council/Juvenile/ -
Opposition to Application Regarding Psychotropic Medication (Spanish)
California/Judicial Council/Juvenile/ -
Order Regarding Application For Psychotropic Medication (Spanish)
California/Judicial Council/Juvenile/ -
Motion To Transfer Out
California/Judicial Council/Juvenile/ -
Juvenile Court Transfer-Out Orders
California/Judicial Council/Juvenile/ -
Juvenile Court Transfer-Out-Orders-Nonminor Dependent
California/Judicial Council/Juvenile/ -
Petition For Extraordinary Writ
California/Judicial Council/Juvenile/ -
Juvenile Order After Request To Reduce Marijuana Offense
California/Judicial Council/Juvenile/ -
Request To Reduce Juvenile Marijuana Offense
California/Judicial Council/Juvenile/ -
Nonminor Dependent-Consent To Copy And Inspect Nonminor Dependents Court File
California/Judicial Council/Juvenile/ -
Order Delegating Judicial Authority Over Psychotropic Medication
California/Judicial Council/Juvenile/ -
Prescribing Physicians Statement—Attachment (Spanish)
California/Judicial Council/Juvenile/ -
Attachment To Request To Reduce Juvenile Marijuana Offense
California/Judicial Council/Juvenile/ -
Order After Request To Reduce Juvenile Marijuana Offense
California/Judicial Council/Juvenile/ -
Prosecuting Agency Response To Request To Reduce Juvenile Marijuana Offense
California/Judicial Council/Juvenile/ -
Instructions For Requesting A Hearing To Review Waiver Of Presumptive Transfer
California/Judicial Council/Juvenile/ -
Notice Of And Order On Request For Hearing On Waiver
California/Judicial Council/Juvenile/ -
Order After Hearing On Waiver Of Presumptive Transfer
California/Judicial Council/Juvenile/ -
Petition To Review Denial Of Sealing Of Records After Diversion Program
California/Judicial Council/Juvenile/ -
Request For Hearing On Waiver Of Presumptive Transfer
California/Judicial Council/Juvenile/ -
Attachment To Proof Of Service-Juvenile (Additional Person Served)
California/Judicial Council/Juvenile/ -
Objection To Out-Of-Country Placement And Notice Of Hearing
California/Judicial Council/Juvenile/ -
Order After Request To Expunge Arrest Or Vacate Adjudication
California/Judicial Council/Juvenile/ -
Order After Request To Vacate Disposition And Dismiss Penal Code Section 647f
California/Judicial Council/Juvenile/ -
Request To Expunge Arrest Or Vacate Adjudication (Human Trafficking Victim)
California/Judicial Council/Juvenile/ -
Request To Vacate Disposition And Dismiss Penal Code Section 6471
California/Judicial Council/Juvenile/ -
De Facto Parent Order
California/1 Judicial Council/Juvenile/ -
De Facto Parent Pamphlet
California/1 Judicial Council/Juvenile/ -
Letters Of Guardianship (Juvenile)
California/1 Judicial Council/Juvenile/ -
Information Regarding Appeal Rights
California/1 Judicial Council/Juvenile/ -
Notice Of Intent To Place Child Out Of Country
California/Judicial Council/Juvenile/ -
Request To Change Court Order
California/Judicial Council/Juvenile/ -
Juvenile Wardship Petition
California/Judicial Council/Juvenile/ -
Termination Of Dependency For Adoption
California/Judicial Council/Juvenile/ -
County Report On Psychotropic Medication
California/Judicial Council/Juvenile/ -
Confidential Information
California/Judicial Council/Juvenile/ -
Notice Of Intent To File Writ Petition And Request For Record
California/Judicial Council/Juvenile/ -
Information On Requesting Access To Records For Person With A Limited Right
California/1 Judicial Council/Juvenile/ -
Objection To Removal
California/Judicial Council/Juvenile/ -
Caregiver Information Form
California/Judicial Council/Juvenile/ -
De Facto Parent Request
California/Judicial Council/Juvenile/ -
Order On Application For Psychotropic Medication
California/Judicial Council/Juvenile/ -
Information On Educational Rights Holders
California/1 Judicial Council/Juvenile/ -
Position On Release Of Information To Medical Board Of California
California/1 Judicial Council/Juvenile/ -
Relative Information
California/Judicial Council/Juvenile/ -
Withdrawl Of Release Of Information To Medical Board Of California
California/1 Judicial Council/Juvenile/ -
Request For Prospective Adoptive Parent Designation
California/Judicial Council/Juvenile/ -
Notice Of Intent To File Writ Petition And Request For Record
California/Judicial Council/Juvenile/ -
Proof Of Notice Of Application
California/Judicial Council/Juvenile/ -
First Review Hearing After Youth Turns 16 Years Of Age
California/1 Judicial Council/Juvenile/ -
Dispositional Attachment Appointment Of Guardian
California/Judicial Council/Juvenile/ -
Findings And Orders After Nonminor Disposition Hearing
California/1 Judicial Council/Juvenile/ -
Prosecutor Request For Access To Sealed Juvenile Case File
California/1 Judicial Council/Juvenile/ -
Recommendation For Appointment Of Appellate Attorney For Child
California/Judicial Council/Juvenile/ -
Findings And Orders For Child Approaching Majority-Delinquency
California/Judicial Council/Juvenile/ -
Notice Of Prosecutor Request For Access To Sealed Juvenile Case File
California/1 Judicial Council/Juvenile/ -
Order Designating Educational Rights Holder
California/Judicial Council/Juvenile/ -
Response To Prosecutor Request For Access To Sealed Juvenile Case File
California/1 Judicial Council/Juvenile/ -
Request To Seal Juvenile Records
California/Judicial Council/Juvenile/ -
Attachment Additional Findings And Orders For Child Approaching Majority-Dependency
California/Judicial Council/Juvenile/ -
Nonminors Informed Consent To Hold Disposition Hearing
California/1 Judicial Council/Juvenile/ -
Order On Prosecutor Request For Access To Sealed File
California/1 Judicial Council/Juvenile/ -
Findings And Orders After Hearing To Consider Termination Of Juvenile Court Jurisdiction
California/Judicial Council/Juvenile/ -
Attachment To Order Designating Educational Rights Holder
California/Judicial Council/Juvenile/ -
Law Enforcement Notice On Sealing Of Records
California/1 Judicial Council/Juvenile/ -
Petition To Seal Juvenile Police Records
California/1 Judicial Council/Juvenile/ -
Acknowledgment Of Juvenile Diversion Record Sealed
California/1 Judicial Council/Juvenile/ -
How To Ask The Court To Seal Your Records
California/Judicial Council/Juvenile/ -
Probation Department Notice On Sealing Of Records After Diversion Program
California/Judicial Council/Juvenile/ -
Sealing Of Records For Satisfactory Completion Of Probation
California/Judicial Council/Juvenile/ -
Findings And Orders Regarding Exit And Reentry Of Jurisdiction-Nonminor Dependent
California/Judicial Council/Juvenile/ -
Application To Commence Juvenile Court Proceedings And Decision Of Social Worker
California/Judicial Council/Juvenile/ -
Probate Court Request For Juvenile Court Review Of Decision Not To Commence Proceedings
California/Judicial Council/Juvenile/ -
Placing Agencys Request For Review Of Placement In Short-Term Residential Therapeutic Program
California/1 Judicial Council/Juvenile/ -
Input On Placement In Short-Term Residential Therapeutic Program
California/1 Judicial Council/Juvenile/ -
Proof Of Service-Short-Term Residential Therapeutic Program
California/1 Judicial Council/Juvenile/ -
Notice Of Hearing On Placement In Short-Term Residential Therapeutic Program
California/1 Judicial Council/Juvenile/ -
Request To Reschedule Restraining Order Hearing
California/Judicial Council/Juvenile/ -
Noncompliance With Firearms And Ammunition Order Or Warrant
California/Judicial Council/Juvenile/ -
Information On Juvenile Court Guardianship
California/1 Judicial Council/Juvenile/ -
Review Hearing For Youth Approaching 18 Years Of Age
California/1 Judicial Council/Juvenile/ -
Review Hearing For Youth 18 Years Of Age Or Older
California/1 Judicial Council/Juvenile/ -
Termination Of Juvenile Court Jurisdiction-Nonminor
California/Judicial Council/Juvenile/ -
Findings And Orders After Postpermanency Hearing-Parental Rights Terminated Permanent Plan Of Adoption
California/Judicial Council/Juvenile/ -
Status Review Attachment Sexual And Reproductive Health Services
California/Judicial Council/Juvenile/ -
Dispositional Attachment-Nonminor Dependent
California/1 Judicial Council/Juvenile/ -
Findings And Orders After Nonminor Dependent Status Review Hearing
California/Judicial Council/Juvenile/ -
Findings And Orders After Permanency Hearing-Delinquency
California/Judicial Council/Juvenile/ -
Findings And Orders After Postpermanency Hearing-Delinquency
California/Judicial Council/Juvenile/ -
Notice Of Appeal-Juvenile
California/Judicial Council/Juvenile/ -
Juvenile Dependency Petition (Version One)
California/Judicial Council/Juvenile/ -
Initial Appearance Hearing-Juvenile Delinquency
California/Judicial Council/Juvenile/ -
Juvenile Dependency Petition (Version Two)
California/Judicial Council/Juvenile/ -
Failure To Protect 300(b)
California/Judicial Council/Juvenile/ -
Petition And Order To Exit And Reenter Jurisdiction-Nonminor Dependent
California/Judicial Council/Juvenile/ -
Juvenile Justice Court Information For Parents
California/Judicial Council/Juvenile/ -
Waiver Of Rights-Juvenile Justice
California/Judicial Council/Juvenile/ -
Disposition-Juvenile Delinquency
California/Judicial Council/Juvenile/ -
Custodial And Out Of Home Placement Disposition Attachment
California/Judicial Council/Juvenile/ -
School Notification Of Court Adjudication
California/Judicial Council/Juvenile/ -
Notification To Sheriff Of Juvenile Delinquency Felony Adjudication
California/Judicial Council/Juvenile/ -
Commitment To Secure Youth Treatment Facility
California/Judicial Council/Juvenile/ -
Juvenile Notice Of Violation Of Probation
California/Judicial Council/Juvenile/ -
Citation And Written Notification For Deferred Entry Of Judgment-Juvenile
California/Judicial Council/Juvenile/ -
Order To Transfer Juvenile To Criminal Court Jurisdiction
California/Judicial Council/Juvenile/ -
Petition To Terminate Juvenile Sex Offender Registration
California/Judicial Council/Juvenile/ -
Response By District Attorney To Petition To Terminate Juvenile Sex Offender Registration
California/Judicial Council/Juvenile/ -
Order On Petition To Terminate Juvenile Sex Offender Registration
California/Judicial Council/Juvenile/ -
Proof Of Service-Juvenile Sex Offender Registration Termination
California/Judicial Council/Juvenile/ -
Proof Of Notice Of Hearing On Application For Voluntary Admission
California/Judicial Council/Juvenile/ -
Ex Parte Application For Voluntary Admission To Psychiatric Residential Treatment Facility
California/Judicial Council/Juvenile/ -
Order On Application For Voluntary Admission To Psychiatric Residential Treatment Facility
California/Judicial Council/Juvenile/ -
Findings And Orders After Six-Month Prepermanency Hearing-Delinquency
California/Judicial Council/Juvenile/ -
Review Of Voluntary Admission Of Child To Psychiatric Residential Treatment Facility
California/Judicial Council/Juvenile/ -
Review Of Voluntary Admission Of Nonminor Or Nonminor Dependent To Psychiatic Residential
California/Judicial Council/Juvenile/ -
Admission To Psychiatric Residential Treatment Facility By Consent Of Conservator
California/Judicial Council/Juvenile/ -
Notice Of Request For Approval Of Short-Term Residential Therapeutic Program
California/Judicial Council/Juvenile/ -
Request For Juvenile Restraining Order
California/Judicial Council/Juvenile/ -
Order On Request To Reschedule Restraining Order Hearing
California/Judicial Council/Juvenile/ -
Request For Juvenile Restraining Order Against A Child
California/Judicial Council/Juvenile/ -
Background On Release Of Information To Medical Board Of California
California/1 Judicial Council/Juvenile/ -
Temporary Restraining Order-Juvenile (CLETS-TJV)
California/1 Judicial Council/Juvenile/ -
Order To Change Or End Restraining Order After Hearing-Juvenile (CLETS)
California/Judicial Council/Juvenile/ -
Temporary Restraining Order Against A Child (CLETS-TJC)
California/Judicial Council/Juvenile/ -
Proof Of Personal Service
California/Judicial Council/Juvenile/ -
Prohibited Items Finding And Orders
California/Judicial Council/Juvenile/ -
Application For Extension Of Time To File Brief (Juvenile Justice Case)
California/Judicial Council/Juvenile/ -
Application For Extension Of Time To File Brief (Juvenile Dependency Case)
California/Judicial Council/Juvenile/ -
Order On Placement In Short-Term Residential Therapeutic Program
California/1 Judicial Council/Juvenile/ -
Notice Of Court Hearing
California/Judicial Council/Juvenile/ -
Additional Children Attachment Juvenile Dependency Petition
California/Judicial Council/Juvenile/ -
Response To Request For Juvenile Restraining Order
California/Judicial Council/Juvenile/ -
Juvenile Restraining Order After Hearing (CLETS-OJV)
California/1 Judicial Council/Juvenile/ -
Response To Request For Juvenile Restraining Order Against A Child
California/Judicial Council/Juvenile/ -
Juvenile Restraining Order Against A Child-Order After Hearing (CLETS-OJC)
California/Judicial Council/Juvenile/ -
Order Granting Welfare And Institutions Code Section 827 Petition Attachment-Required Redactions
California/Judicial Council/Juvenile/ -
Permission To Have Firearm Or Ammunition For Work
California/Judicial Council/Juvenile/ -
Proof Of Service-Petition For Public Disclosure Of Deceased Childs-File
California/Judicial Council/Juvenile/ -
Orders Under Welfare And Institutions Code Sections 366.24 366.26 727.3 727.31
California/Judicial Council/Juvenile/ -
Continuance-Dependency Detention Hearing
California/Judicial Council/Juvenile/ -
Findings And Orders After Detention Hearing
California/Judicial Council/Juvenile/ -
Findings And Orders After Jurisdictional Hearing
California/Judicial Council/Juvenile/ -
Findings And Orders After Dispositional Hearing
California/Judicial Council/Juvenile/ -
Dispositional Attachment Removal From Custodial Parent-Placement With Nonparent
California/Judicial Council/Juvenile/ -
Findings And Orders After Six-Month Status Review Hearing
California/Judicial Council/Juvenile/ -
Six-Month Permanency Attachment-Reunification Services Continued
California/Judicial Council/Juvenile/ -
Six-Months Permanency Attachment-Reunification Services Terminated
California/Judicial Council/Juvenile/ -
Findings And Orders After 12-Month Permanency Hearing
California/Judicial Council/Juvenile/ -
Twelve-Month Permanency Attachment Reunification Services Continued
California/Judicial Council/Juvenile/ -
Twelve-Month Permanency Attachment Reunification Services Terminated
California/Judicial Council/Juvenile/ -
Findings And Orders After 18-Month Permanency Hearing
California/Judicial Council/Juvenile/ -
Eighteen-Month Permanency Attachment Reunification Services Terminated
California/Judicial Council/Juvenile/ -
Eighteen-Month Permanency Attachment-Runification Services Continued
California/Judicial Council/Juvenile/ -
Findings And Orders After Postpermanency Hearing-Permenent Plan Other Than Adoption
California/Judicial Council/Juvenile/ -
Findings And Orders After 24-Month Permanency Hearing
California/Judicial Council/Juvenile/ -
Twenty-Four-Month Permanency Attachment Reunification Services Terminated
California/Judicial Council/Juvenile/ -
Proof Of Service-Petition For Access To Juvenile Case File
California/Judicial Council/Juvenile/ -
Petition For Access To Juvenile Case File
California/Judicial Council/Juvenile/ -
Notice Of Petition To Access To Juvenile Case File
California/Judicial Council/Juvenile/ -
Objection To Release Of Juvenile Case File
California/Judicial Council/Juvenile/ -
Order On Petition For Access To Juvenile Case File
California/Judicial Council/Juvenile/ -
Order After Judicial Review On Petition For Access To Juvenile Case File
California/Judicial Council/Juvenile/ -
Findings And Orders After Initial Hearing On Request For Relief
California/Judicial Council/Juvenile/ -
Petition For Public Disclosure Of A Deceased Childs Juvenile Dependency Case File
California/Judicial Council/Juvenile/ -
Preliminary Orders After Request For Relief Under The Racial Justice Act
California/Judicial Council/Juvenile/ -
The Racial Justice Act In Juvenile Court
California/Judicial Council/Juvenile/ -
Objection To Public Disclosure Of A Deceased Childs Juvenile Dependency Case File
California/Judicial Council/Juvenile/ -
Order On Petition For Public Disclosure Of A Deceased Childs-File
California/Judicial Council/Juvenile/ -
Order After Judicial Review On Petition For Public Disclosure Of A Deceased Childs-File
California/Judicial Council/Juvenile/ -
Request For Relief Under The Racial Justice Act-Juvenile Adjudication
California/Judicial Council/Juvenile/ -
Notice Of Petition For Public Disclosure Of A Deceased Childs-File
California/Judicial Council/Juvenile/ -
Findings And Orders After Evidentiary Hearing On Request For Relief
California/Judicial Council/Juvenile/ -
Information On Filing A Petition To Terminate Juvenile Sex Offender Registration
California/Judicial Council/Juvenile/ -
Financial Declaration-Juvenile Dependency (Juvenile)
California/Judicial Council/Juvenile/
Form Preview
Contact Us
Success: Your message was sent.
Thank you!




