Last updated: 10/23/2025
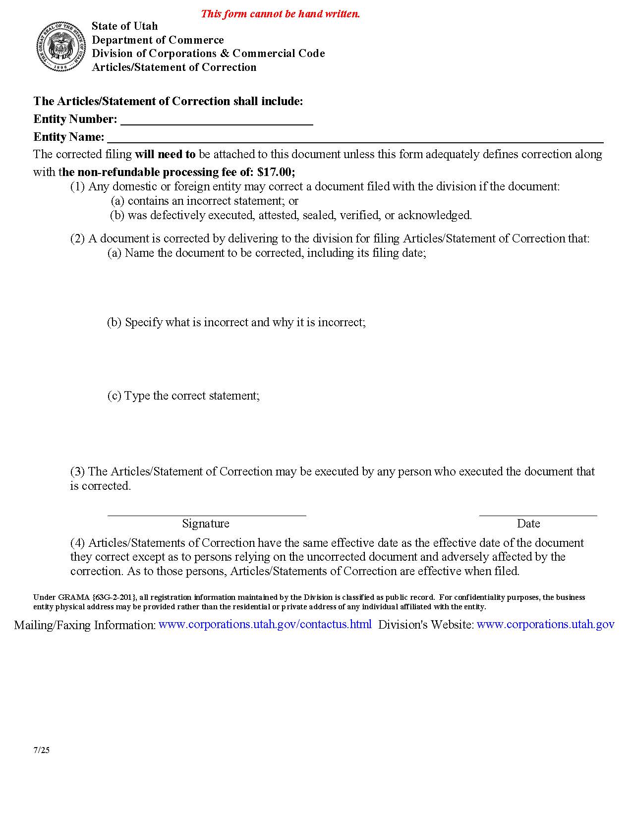
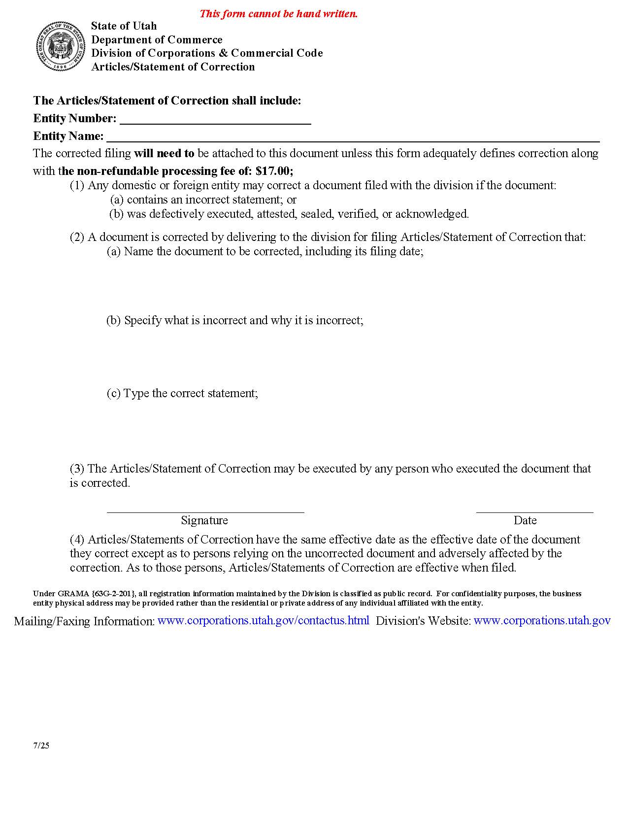
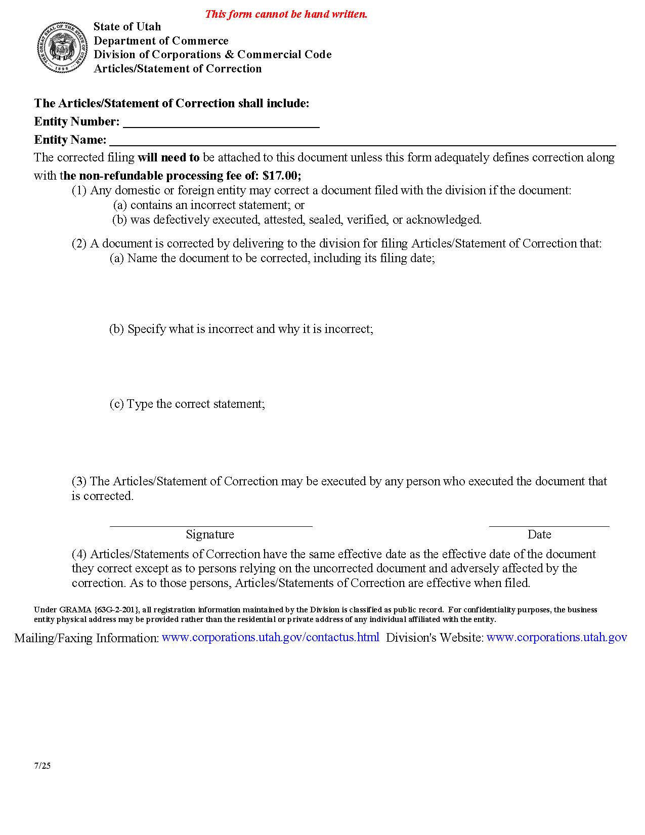
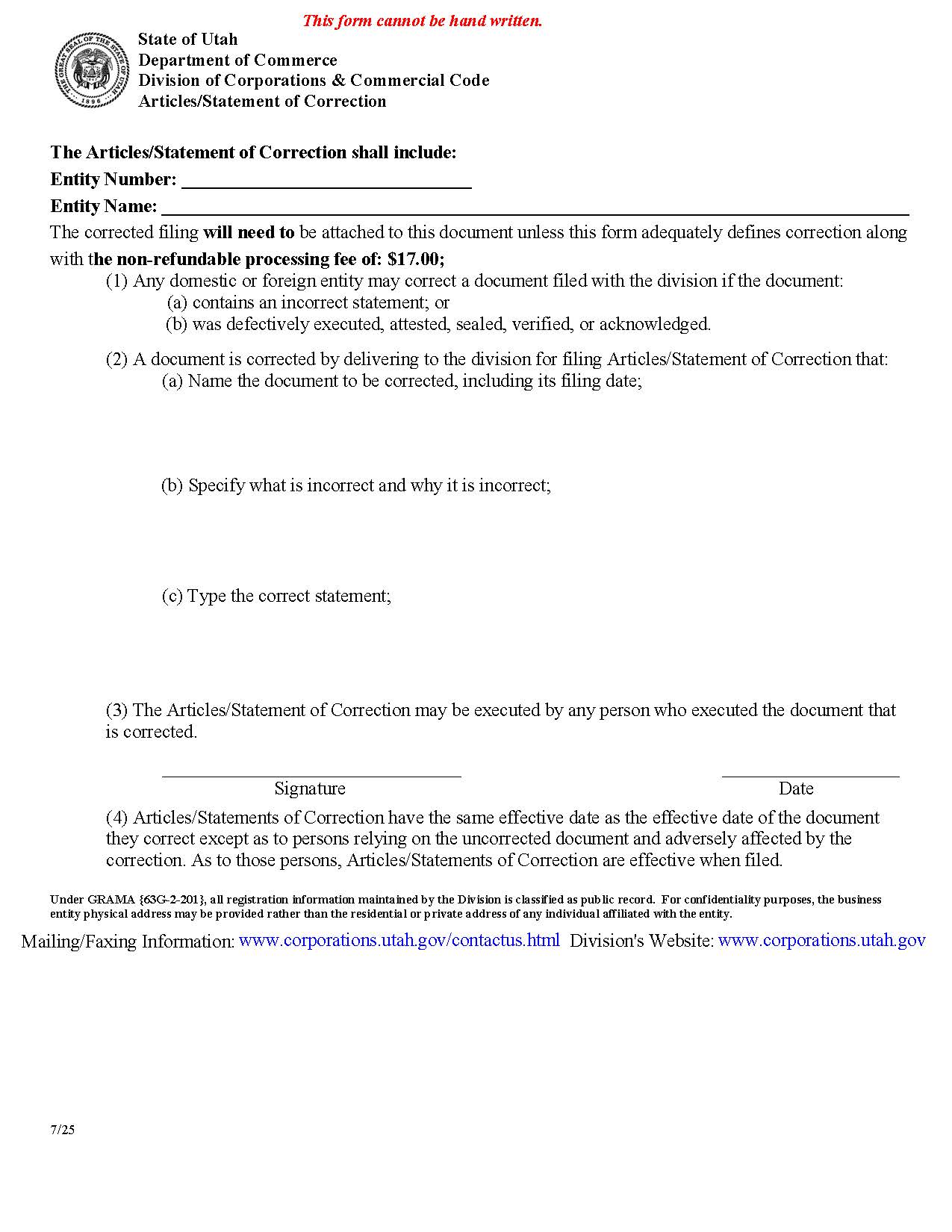
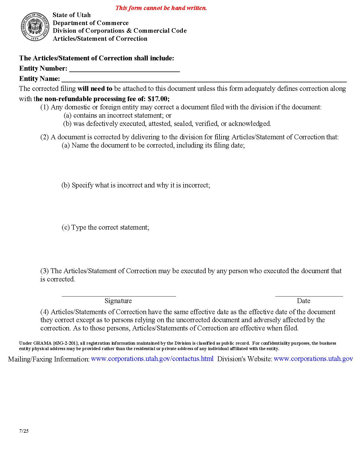
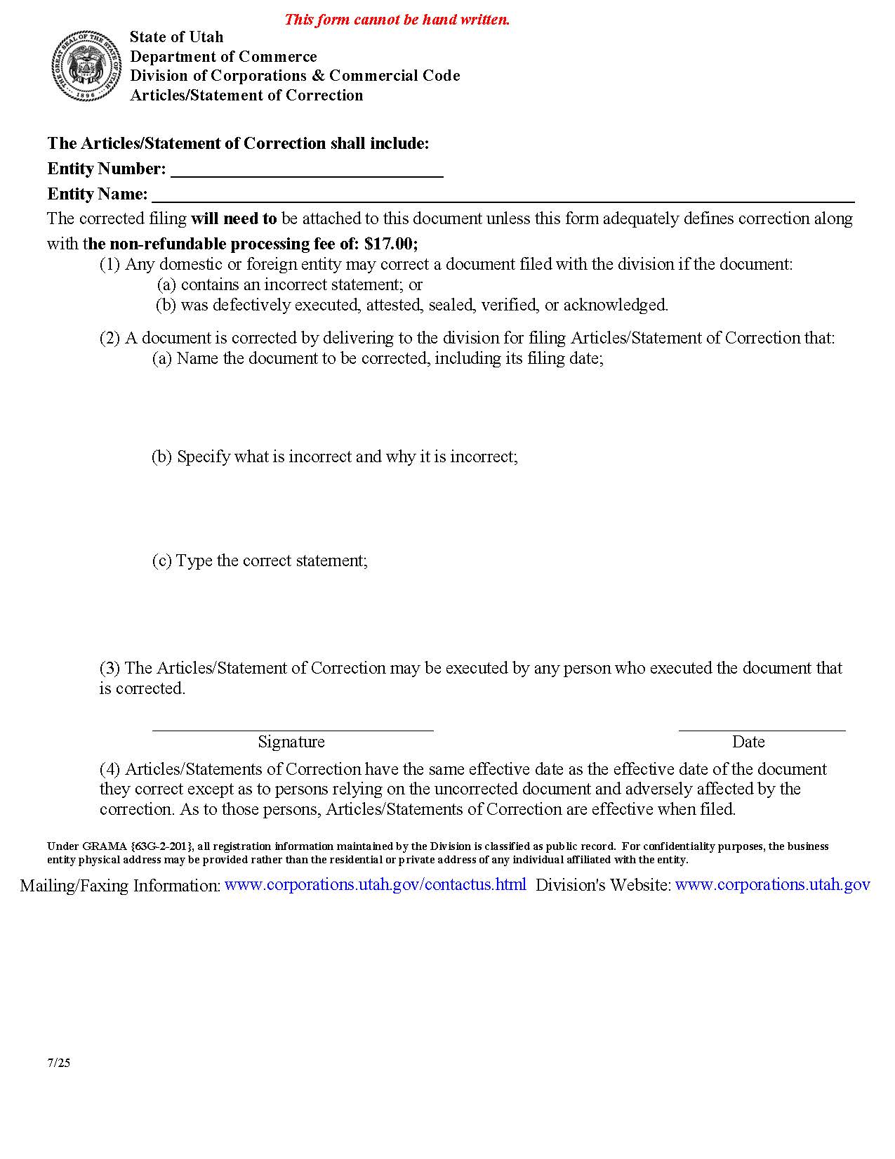
Articles Statement Of Correction
Start Your Free Trial $ 13.99What you get:
- Instant access to fillable Microsoft Word or PDF forms.
- Minimize the risk of using outdated forms and eliminate rejected fillings.
- Largest forms database in the USA with more than 80,000 federal, state and agency forms.
- Download, edit, auto-fill multiple forms at once in MS Word using our Forms Workflow Ribbon
- Trusted by 1,000s of Attorneys and Legal Professionals
Description
ARTICLES/STATEMENT OF CORRECTION. This form is used in the State of Utah through the Department of Commerce, Division of Corporations & Commercial Code to correct errors in previously filed business documents. This form allows any domestic or foreign entity to address inaccuracies or defects in earlier filings, such as incorrect statements or execution errors (e.g., improper signatures, seals, or acknowledgments). The correction must clearly identify the original document to be corrected, including its filing date, explain what was incorrect and why, and provide the correct information. The correction can be submitted using this form or by attaching the corrected document, and it must be typed rather than handwritten. It must also be signed by someone who signed the original filing. www.FormsWorkflow.com





