Last updated: 9/26/2025
Motion To Reopen {MTR-1}
Start Your Free Trial $ 15.99What you get:
- Instant access to fillable Microsoft Word or PDF forms.
- Minimize the risk of using outdated forms and eliminate rejected fillings.
- Largest forms database in the USA with more than 80,000 federal, state and agency forms.
- Download, edit, auto-fill multiple forms at once in MS Word using our Forms Workflow Ribbon
- Trusted by 1,000s of Attorneys and Legal Professionals
Description
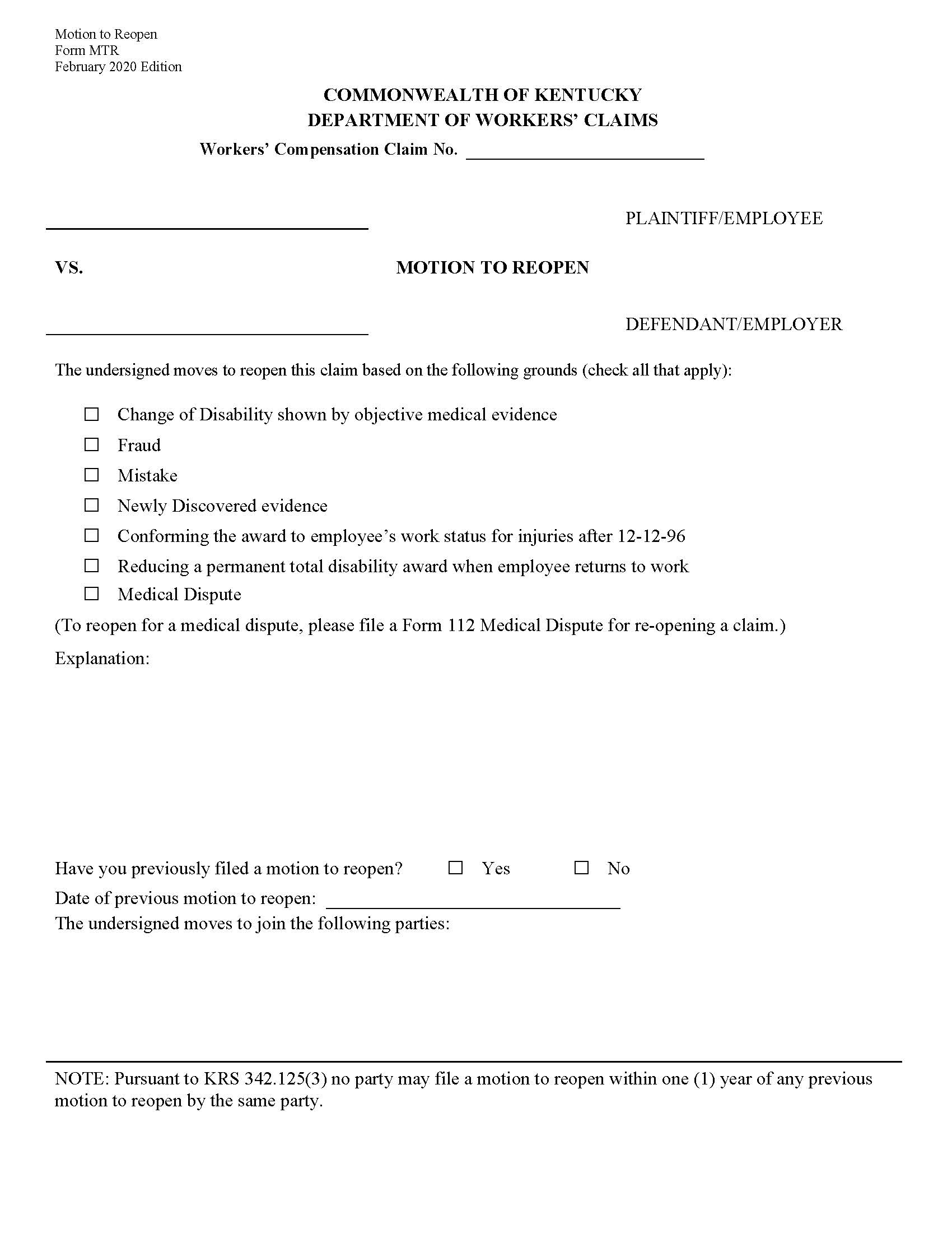
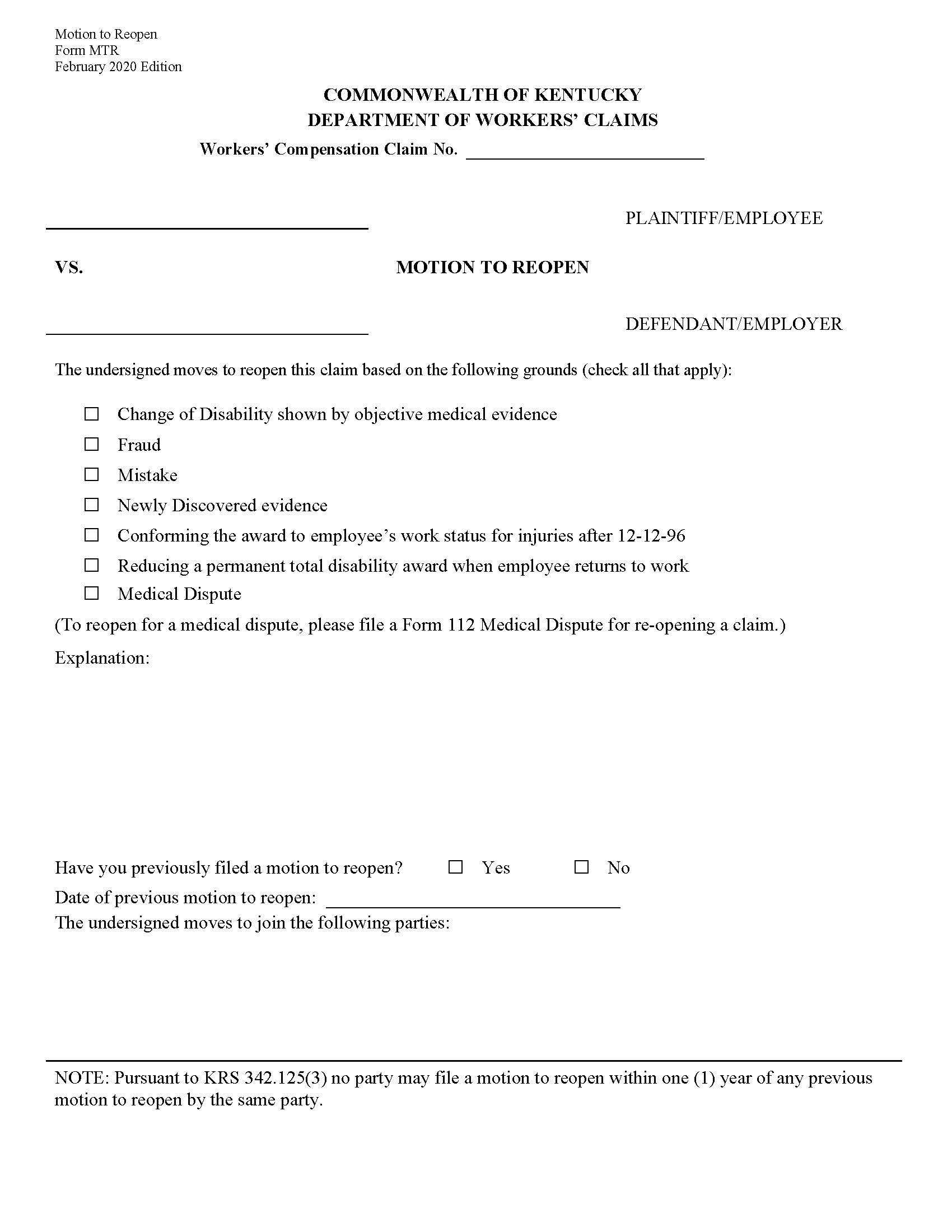
Form MTR - MOTION TO REOPEN. This form is used to request the reopening of a workers’ compensation claim under KRS 342.125. Grounds for reopening include a change in disability supported by objective medical evidence, fraud, mistake, newly discovered evidence, adjusting awards to match an employee’s work status, reducing permanent total disability awards after return to work, or medical disputes (which must also include a Form 112). The motion must be supported by documentation such as affidavits, medical reports, a signed Form 106 (medical release), and copies of the prior award, settlement, or order. Parties must certify accuracy, and service of the motion must be made on all relevant parties via mail or delivery per CR 4.01(b). A restriction applies: no party may file a motion to reopen within one year of a previous reopening motion. www.FormsWorkflow.com
Related forms
-
Attorney Fee Election
Kentucky/Workers Comp/ -
Medical Waiver And Consent
Kentucky/Workers Comp/ -
Notice Of Designated Physician
Kentucky/Workers Comp/ -
Plaintiffs Chronological Medical History
Kentucky/Workers Comp/ -
Plaintiffs Employment History
Kentucky/Workers Comp/ -
Social Security Release Form
Kentucky/Workers Comp/ -
Continuous Bond
Kentucky/Workers Comp/ -
Employers Application For Permission To Carry His Own Risk Without Insurance
Kentucky/Workers Comp/ -
Loss Report
Kentucky/Workers Comp/ -
Managed-Care Utilization Review
Kentucky/Workers Comp/ -
Request For Information (To Accompany Form SI-02)
Kentucky/Workers Comp/ -
Self-Insurers Guarantee Agreement
Kentucky/Workers Comp/ -
Service Contract Agreement
Kentucky/Workers Comp/ -
Surety Rider (Attachment To Form No. SI-03)
Kentucky/Workers Comp/ -
Average Weekly Wage Certification - Concurrent
Kentucky/Workers Comp/ -
Average Weekly Wage Certification - Post Injury
Kentucky/Workers Comp/ -
Safety Violation Alleged By Plaintiff And Or Employee
Kentucky/Workers Comp/ -
Safety Violation Alleged By Defendant And Or Employer
Kentucky/Workers Comp/ -
Occupational Disease Stipulation And Contested Issues
Kentucky/Workers Comp/ -
Hearing Loss Stipulation And Contested Issues
Kentucky/Workers Comp/ -
Application For Continuation Of Medical Benefits
Kentucky/6 Workers Comp/ -
Certification Of Coverage Request
Kentucky/6 Workers Comp/ -
Letter Of Credit
Kentucky/Workers Comp/ -
Medical Report Injury Hearing Loss Psychological Condition
Kentucky/Workers Comp/ -
Medical Report Occupational Disease
Kentucky/Workers Comp/ -
Request To Substitute Party And Continue Benefits
Kentucky/Workers Comp/ -
Agreement As To Compensation And Order Approving Settlement Fatality
Kentucky/Workers Comp/ -
Fatality
Kentucky/Workers Comp/ -
Request For Manual Change Form
Kentucky/Workers Comp/ -
Previously Filed Form 4 Request Form
Kentucky/6 Workers Comp/ -
Agreement As To Compensation And Order Approving Settlement
Kentucky/Workers Comp/ -
Agreement As To Compensation Injury
Kentucky/Workers Comp/ -
Affidavit Of Exemption From Kentucky Workers Compensation Act Corp
Kentucky/Workers Comp/ -
Affidavit Of Exemption From Kentucky Workers Compensation Act Individual
Kentucky/Workers Comp/ -
Application For Approval Of Split Coverage Wrap Up
Kentucky/Workers Comp/ -
Change Of Address Authorization Form
Kentucky/6 Workers Comp/ -
Motion To Reopen KRS 342.732 Benefits
Kentucky/Workers Comp/ -
Notice Of Claim Denial Or Acceptance
Kentucky/Workers Comp/ -
Request For Expedited Medical Determination
Kentucky/6 Workers Comp/ -
Open Records Request Form
Kentucky/Workers Comp/ -
Application For Resolution Of A Claim Hearing Loss
Kentucky/Workers Comp/ -
Application For Resolution Of A Claim Injury
Kentucky/Workers Comp/ -
Application For Resolution Of A Claim Occupational Disease
Kentucky/Workers Comp/ -
Direct Deposit Authorization Form
Kentucky/6 Workers Comp/ -
Complaint Of Alleged Safety Or Health Discrimination
Kentucky/6 Workers Comp/ -
Average Weekly Wage Certification
Kentucky/Workers Comp/ -
Medical Dispute
Kentucky/Workers Comp/ -
Motion To Reopen
Kentucky/Workers Comp/
Form Preview
Contact Us
Success: Your message was sent.
Thank you!




