Last updated: 11/7/2025
Petition For Extension Of Expired Certification (Private Placement) {26}
Start Your Free Trial $ 13.99What you get:
- Instant access to fillable Microsoft Word or PDF forms.
- Minimize the risk of using outdated forms and eliminate rejected fillings.
- Largest forms database in the USA with more than 80,000 federal, state and agency forms.
- Download, edit, auto-fill multiple forms at once in MS Word using our Forms Workflow Ribbon
- Trusted by 1,000s of Attorneys and Legal Professionals
Description
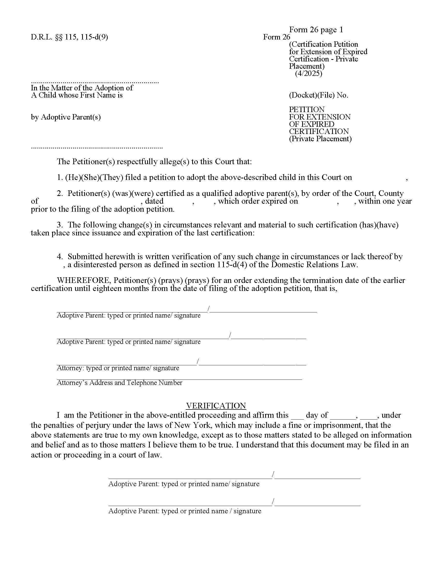
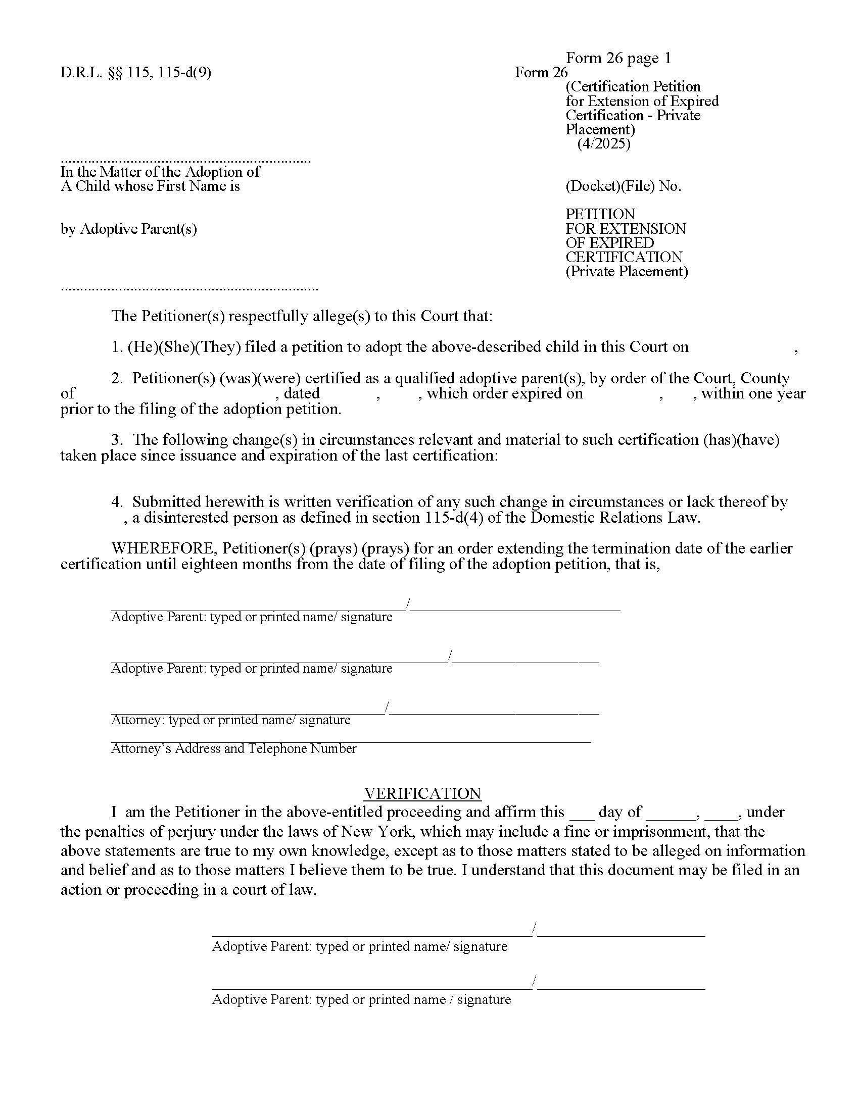
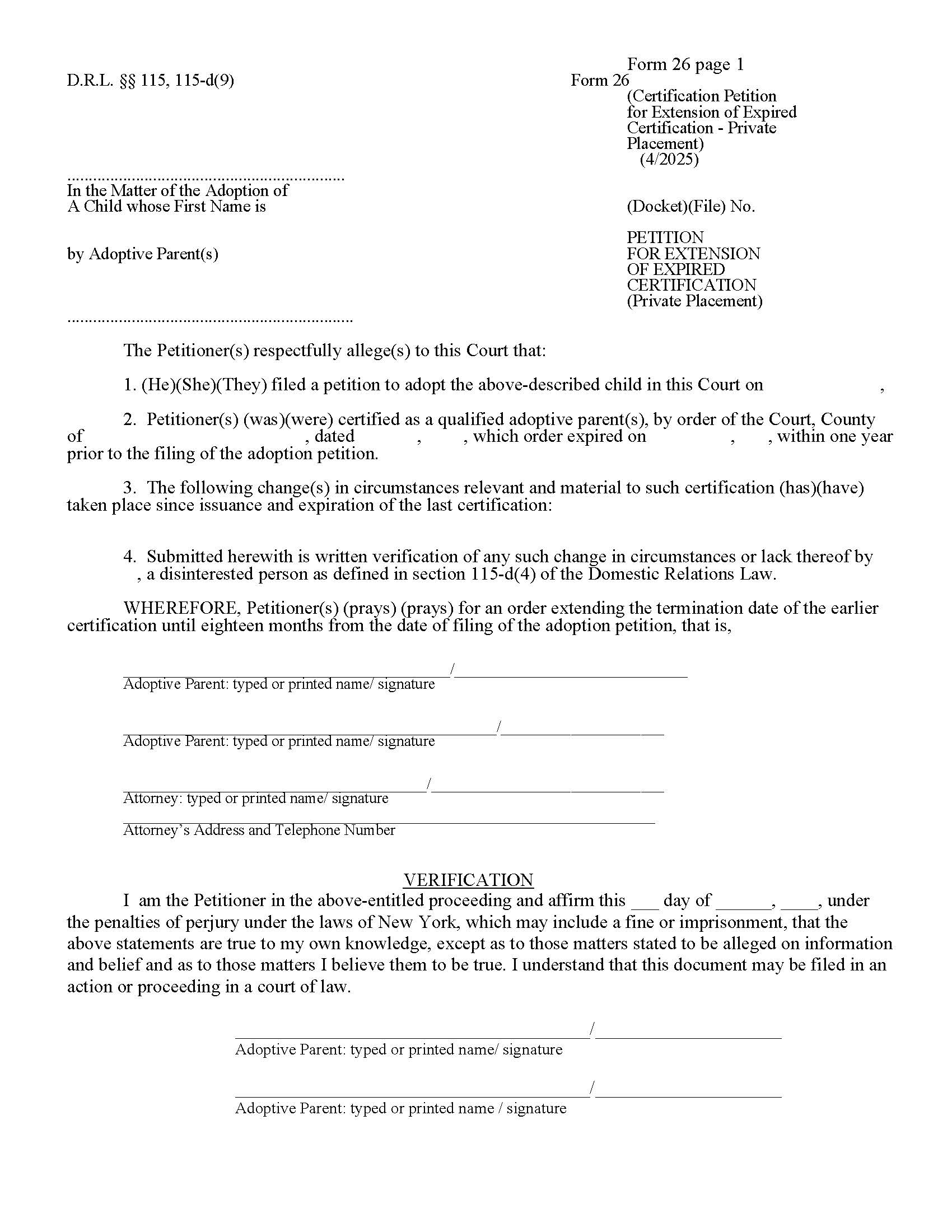
Form 26 - PETITION FOR EXTENSION OF EXPIRED CERTIFICATION (Private Placement). This form is used in the New York Family Court by adoptive parents seeking to extend a previously issued adoptive parent certification that expired within one year prior to filing a private adoption petition. The petitioner must state any material changes in circumstances since the last certification and provide written verification from a disinterested person as defined under DRL §115-d(4). The form requests the court to extend the certification’s termination date for up to 18 months from the date of the adoption petition filing. D.R.L. §§ 115, 115-d(9). www.FormsWorkflow.com
Related forms
-
Affidavit Of Financial Disclosure Parents (Agency)
New York/Statewide/Adoption/ -
Affidavit Of Financial Disclosure Parents (Private Placement)
New York/Statewide/Adoption/ -
Agreement Of Adoption (Private Placement)
New York/Statewide/Adoption/ -
Agreement Of Adoption And Consent (Agency)
New York/Statewide/Adoption/ -
Certificate Of Adoption
New York/Statewide/Adoption/ -
Childs Medical History (Agency Or Private Placement)
New York/Statewide/Adoption/ -
Consent Of Child Over 14 (Agency)
New York/Statewide/Adoption/ -
Consent Of Child Over 14 (Private Placement)
New York/Statewide/Adoption/ -
Extra Judicial Consent (Birth Or Legal Parent Private Placement Step Parent)
New York/Statewide/Adoption/ -
Judicial Consent (Birth Or Legal Parent Private Placement)
New York/Statewide/Adoption/ -
Notice (Denial Of Withdrawal Of Application Removal Of Child)
New York/Statewide/Adoption/ -
Notice (Temporary Guardianship)
New York/Statewide/Adoption/ -
Order (Certification As A Qualified Adoptive Parent)
New York/Statewide/Adoption/ -
Order (Conditional Certification As Qualified Adoptive Parent)
New York/Statewide/Adoption/ -
Order Directing Service Of Notice
New York/Statewide/Adoption/ -
Order For Certified Copy Of Adoption Order (Before Sealing Of Records)
New York/Statewide/Adoption/ -
Order Of Adoption (Agency)
New York/Statewide/Adoption/ -
Order Removing Child From Adoptive Home
New York/Statewide/Adoption/ -
Order To Show Cause (Removal Of Child From Adoptive Home)
New York/Statewide/Adoption/ -
Report Of Investigation (Private Placement)
New York/Statewide/Adoption/ -
Notice Of Proposed Adoption
New York/Statewide/Adoption/ -
Order Of Adoption (Private Placement)
New York/Statewide/Adoption/ -
Affidavit Regarding Status Of Appeal (Agency)
New York/Statewide/Adoption/ -
Order Determing Petition For Enforcement Of Post-Adoption Contact Agreement (After Finalization)
New York/Statewide/Adoption/ -
Order Of Incorporation Of Post-Adoption Contact Agreement (Agency)
New York/Statewide/Adoption/ -
Order For Investigation
New York/Statewide/Adoption/ -
Determination Of Family Court Judge Regarding Venue
New York/Statewide/Adoption/ -
Notice Of Petition For Access To Sealed Adoption Records
New York/Statewide/Adoption/ -
Order Regarding Venue
New York/Statewide/Adoption/ -
Waiver Of Notice Of Petition For Access To Sealed Adoption Records
New York/Statewide/Adoption/ -
Order Of Adoption (And Name Change)
New York/Statewide/Adoption/ -
Judicial Consent Of Birth Of Legal Parent To Adoption By Step-Parent)
New York/Statewide/Adoption/ -
Extrajudicial Consent (Birth Or Legal Parent - Private Placement)
New York/Statewide/Adoption/ -
Order For Child Protective Inquiry
New York/Statewide/Adoption/ -
Order Of Adoption Family Court Surrogate Court Request Form
New York/Statewide/Adoption/ -
Order (Temporary Guardianship Of The Person)
New York/Statewide/Adoption/ -
Order On Application For Certified Copy Of Adoption Order (After Sealing Of Records)
New York/Statewide/Adoption/ -
Order Of Publication (Agency)
New York/Statewide/Adoption/ -
Consent To Adult Adoption By Adoptee
New York/Statewide/Adoption/ -
Petition For Adult Adoption
New York/Statewide/Adoption/ -
Adoption Information Registry Birth Parent Registration Form
New York/Statewide/Adoption/ -
NYS Unified Court System Attorneys Affirmation
New York/Statewide/Adoption/ -
Affirmation Regarding Venue
New York/Statewide/Adoption/ -
Affidavit Of Service For Petition For Access To Sealed Adoption Records
New York/Statewide/Adoption/ -
Order On Petition For Access To Sealed Adoption Records
New York/Statewide/Adoption/ -
Affirmation Identifying Party
New York/Statewide/Adoption/ -
Affirmation (Change Of Circumstance Since Certification As Qualified Adoptive Parent) (Private Placement)
New York/Statewide/Adoption/ -
Affirmation And Report Disinterested Person Certification Proceeding Private Placement
New York/Statewide/Adoption/ -
Addendum To OCFS 4156 Request For SCR Report Private Adoption
New York/Statewide/Adoption/ -
Petition For Adoption (Private Placement)
New York/Statewide/Adoption/ -
Petition For Temporary Guardianship
New York/Statewide/Adoption/ -
Affirmation Change Of Circumstances Since Certification As Qualified Adoptive Parent
New York/Statewide/Adoption/ -
Petition (Certification As A Qualified Adoptive Parent)
New York/Statewide/Adoption/ -
Petition For Extension Of Expired Certification (Private Placement)
New York/Statewide/Adoption/ -
Petition For Access To Sealed Adoption Records
New York/Statewide/Adoption/ -
Petition For Registration Of Foreign Adoption Order (And Name Change)
New York/Statewide/Adoption/ -
Verified Schedule (Agency)
New York/Statewide/Adoption/ -
Petition For Adoption (Agency)
New York/Statewide/Adoption/ -
Petition For Enforcement Of Post-Adoption Contact Agreement (After Finalization)
New York/Statewide/Adoption/ -
Application For Certified Copy Of Adoption Order (After Sealing Of Records)
New York/Statewide/Adoption/ -
Application For Certified Copy Of Adoption Order (Before Sealing Of Records)
New York/Statewide/Adoption/ -
Supplemental Affirmation (Private Placement)
New York/Statewide/Adoption/ -
Supplemental Affirmation (Agency)
New York/Statewide/Adoption/ -
Affirmation Identifying Party (Agency)
New York/Statewide/Adoption/ -
Affirmation And Consent Of Person Having Lawful Custody (Other Than Birth Or Legal Parent) (Private Placement)
New York/Statewide/Adoption/ -
Affirmation And Report Disinterested Person Extension Of Expired Certification
New York/Statewide/Adoption/
Form Preview
Contact Us
Success: Your message was sent.
Thank you!




