Last updated: 5/5/2025
Application for Real Property Bond {CR-20}
Start Your Free Trial $ 13.99What you get:
- Instant access to fillable Microsoft Word or PDF forms.
- Minimize the risk of using outdated forms and eliminate rejected fillings.
- Largest forms database in the USA with more than 80,000 federal, state and agency forms.
- Download, edit, auto-fill multiple forms at once in MS Word using our Forms Workflow Ribbon
- Trusted by 1,000s of Attorneys and Legal Professionals
Description
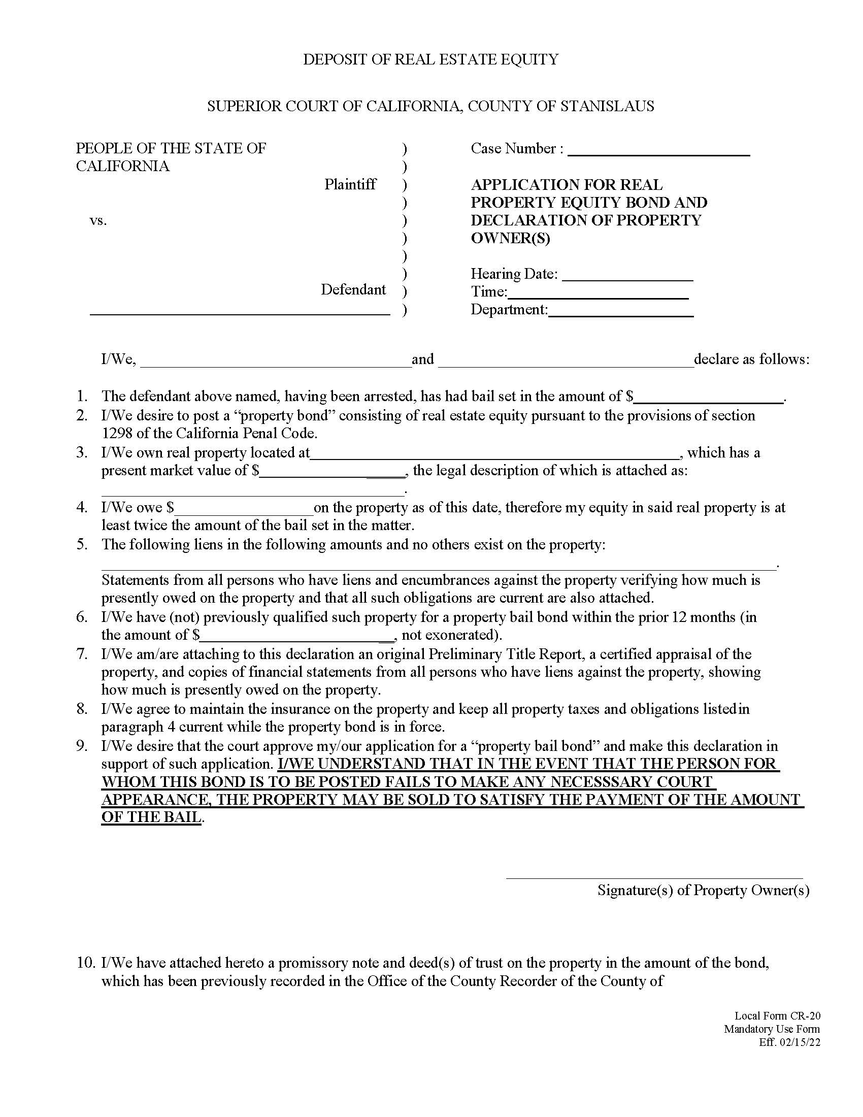
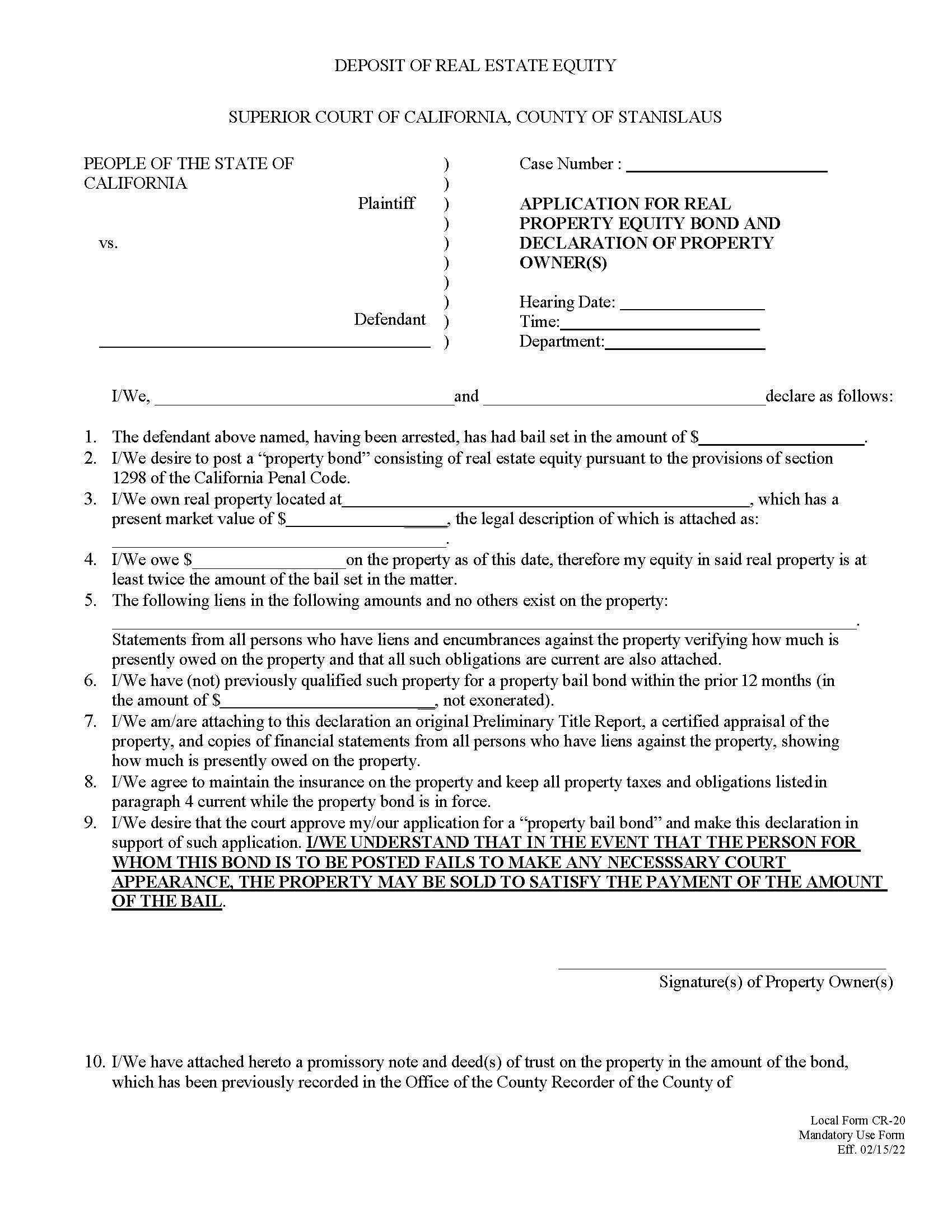
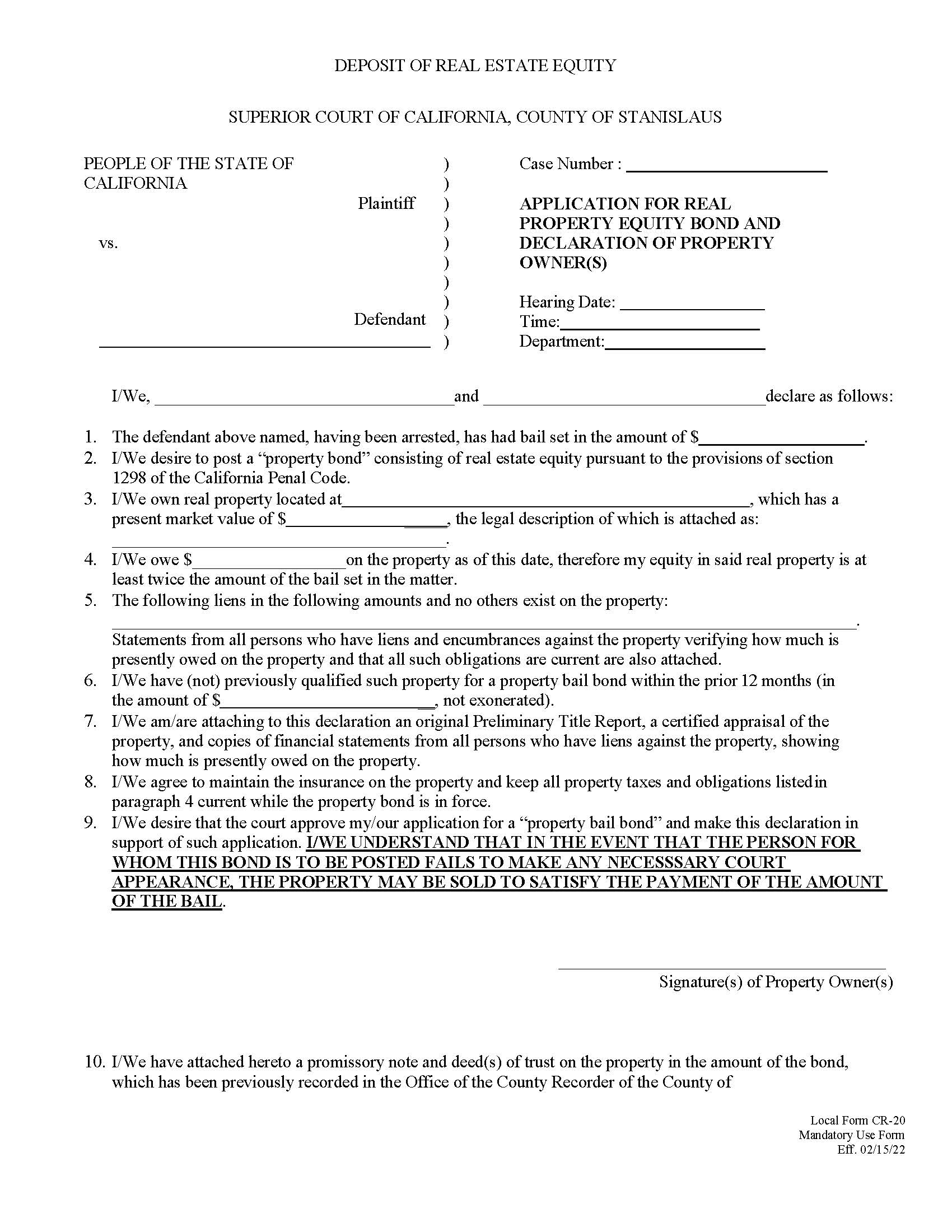
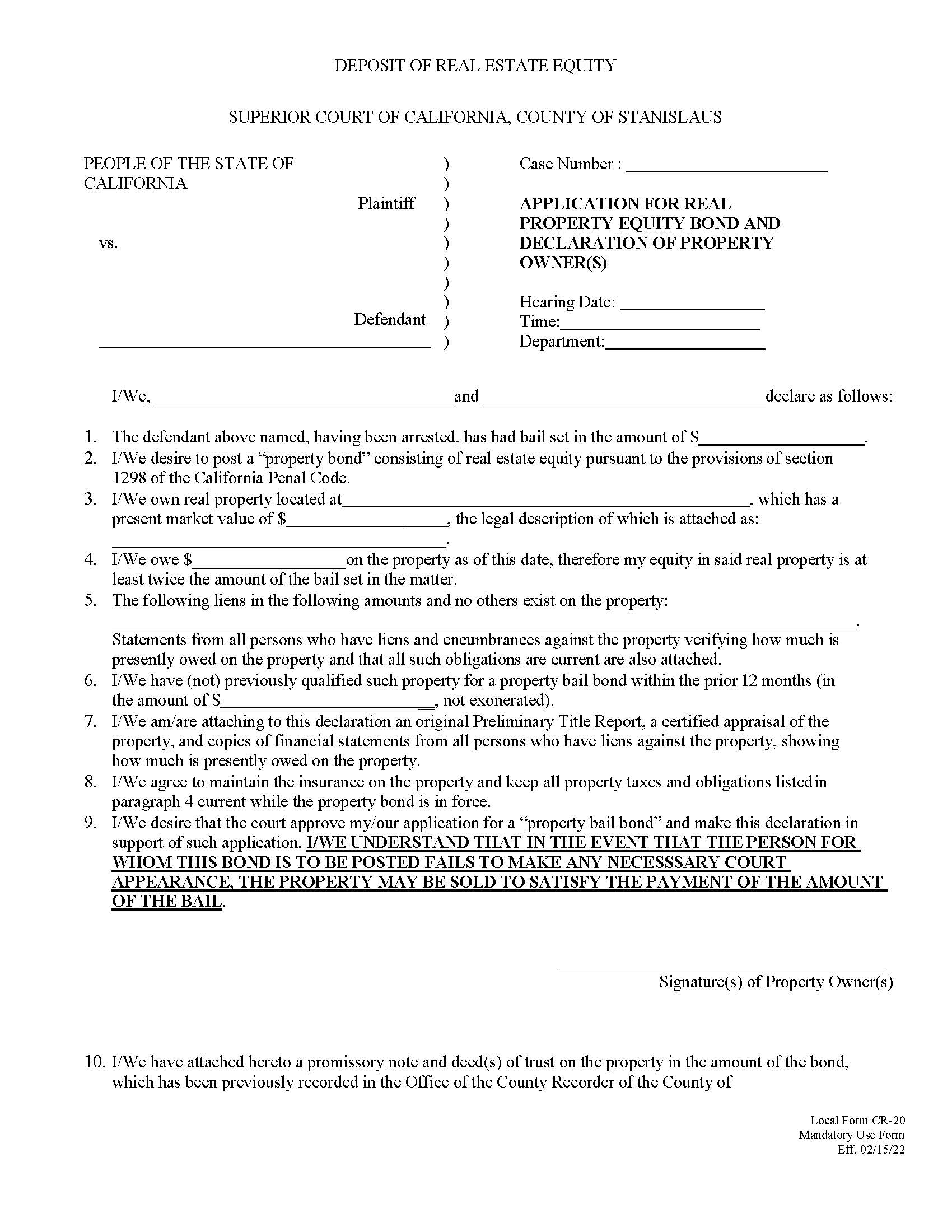
Local Form CR-20 - APPLICATION FOR REAL PROPERTY EQUITY BOND AND DECLARATION OF PROPERTY OWNER(S). This form is used in the Superior Court of California, County of Stanislaus, for individuals who wish to post bail for a defendant using the equity in real estate they own, rather than cash or a bail bond. This application is submitted under the provisions of California Penal Code section 1298 and is intended to demonstrate that the property owners have sufficient equity—at least twice the amount of the bail—to secure the release of the defendant. The form requires the applicants to disclose the market value and location of the property, the amount owed on it, any existing liens, and confirm that all financial obligations related to the property are current. Applicants must also attach supporting documentation, including a Preliminary Title Report, certified appraisal, lienholder statements, a promissory note, and recorded deed(s) of trust. By signing the form, the property owner(s) declare under penalty of perjury that all information provided is true and agree to maintain insurance and pay all related property obligations while the bond is in effect. They also acknowledge that failure by the defendant to appear in court may result in the property being sold to cover the bail amount. Mandatory Use Form. www.FormsWorkflow.com





