Last updated: 7/24/2025
Debtors Notice Of Conversion From Chapter 13 To Chapter 7 {CTB-LF240}
Start Your Free Trial $ 14.00What you get:
- Instant access to fillable Microsoft Word or PDF forms.
- Minimize the risk of using outdated forms and eliminate rejected fillings.
- Largest forms database in the USA with more than 80,000 federal, state and agency forms.
- Download, edit, auto-fill multiple forms at once in MS Word using our Forms Workflow Ribbon
- Trusted by 1,000s of Attorneys and Legal Professionals
Description
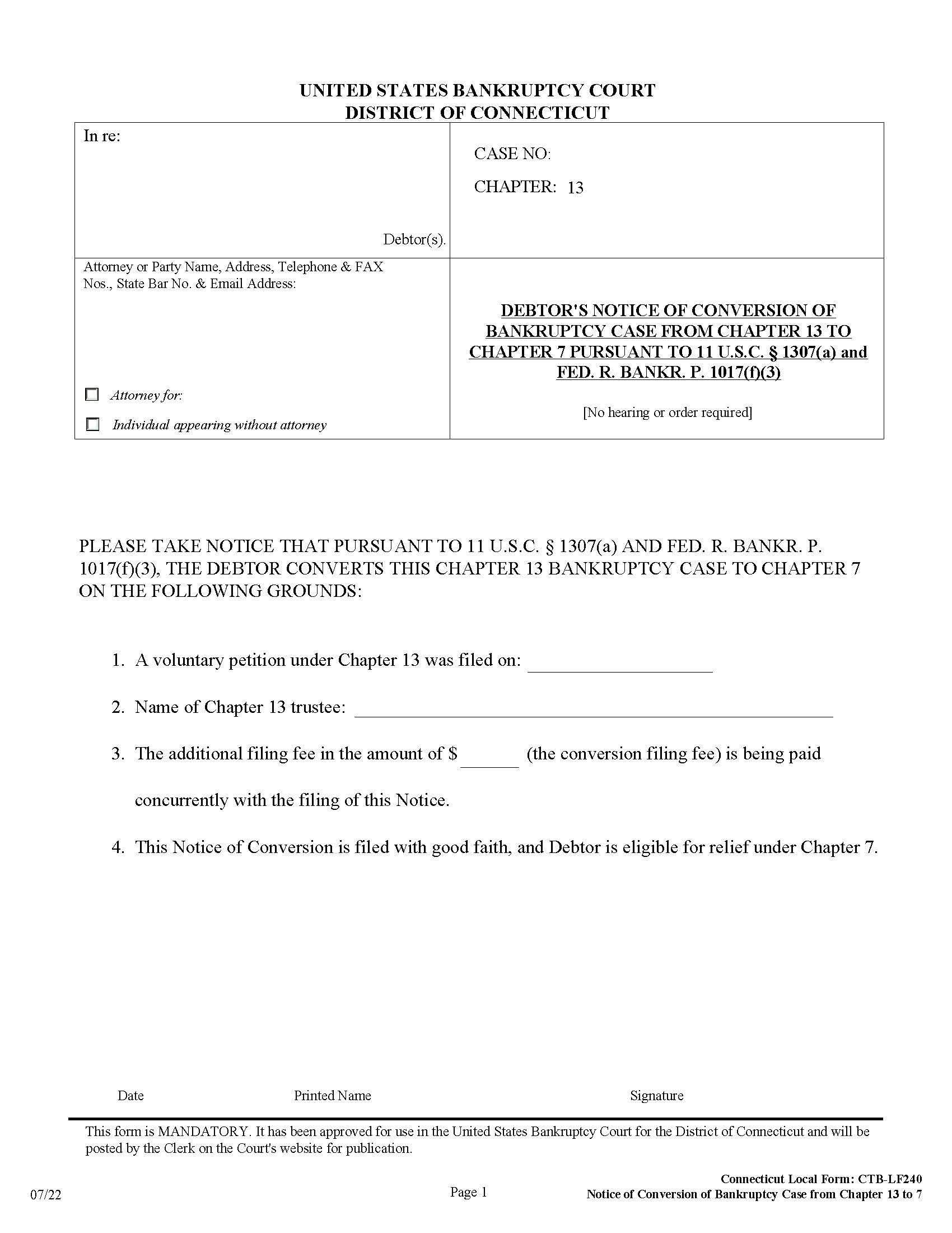
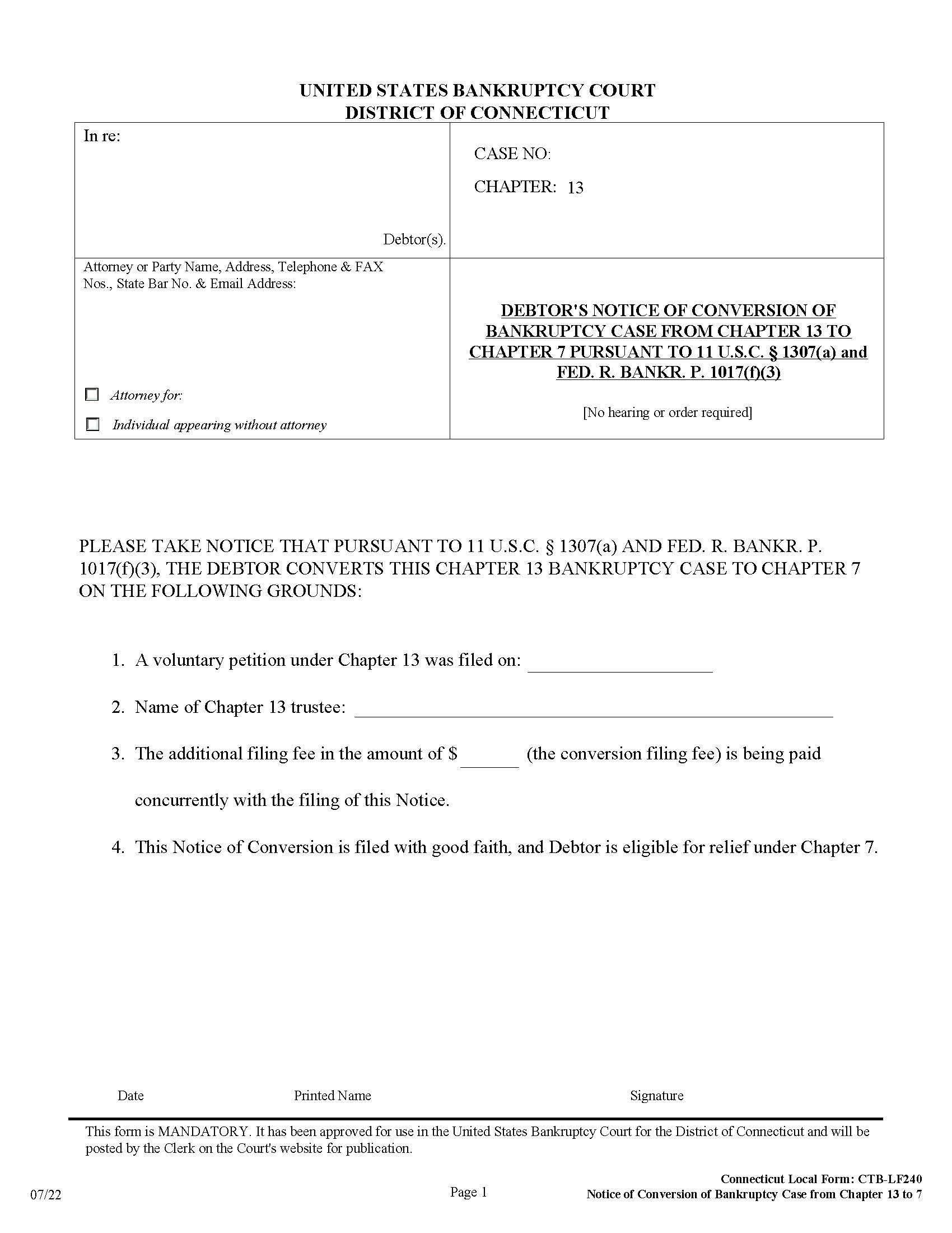
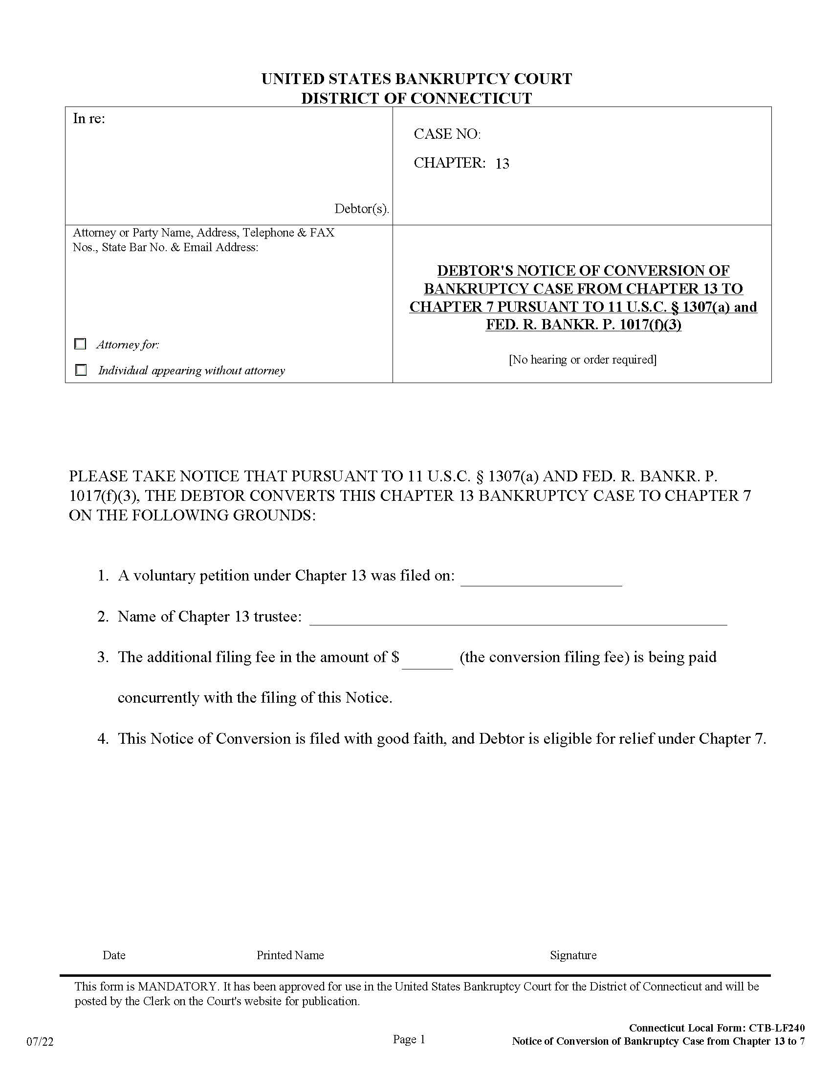
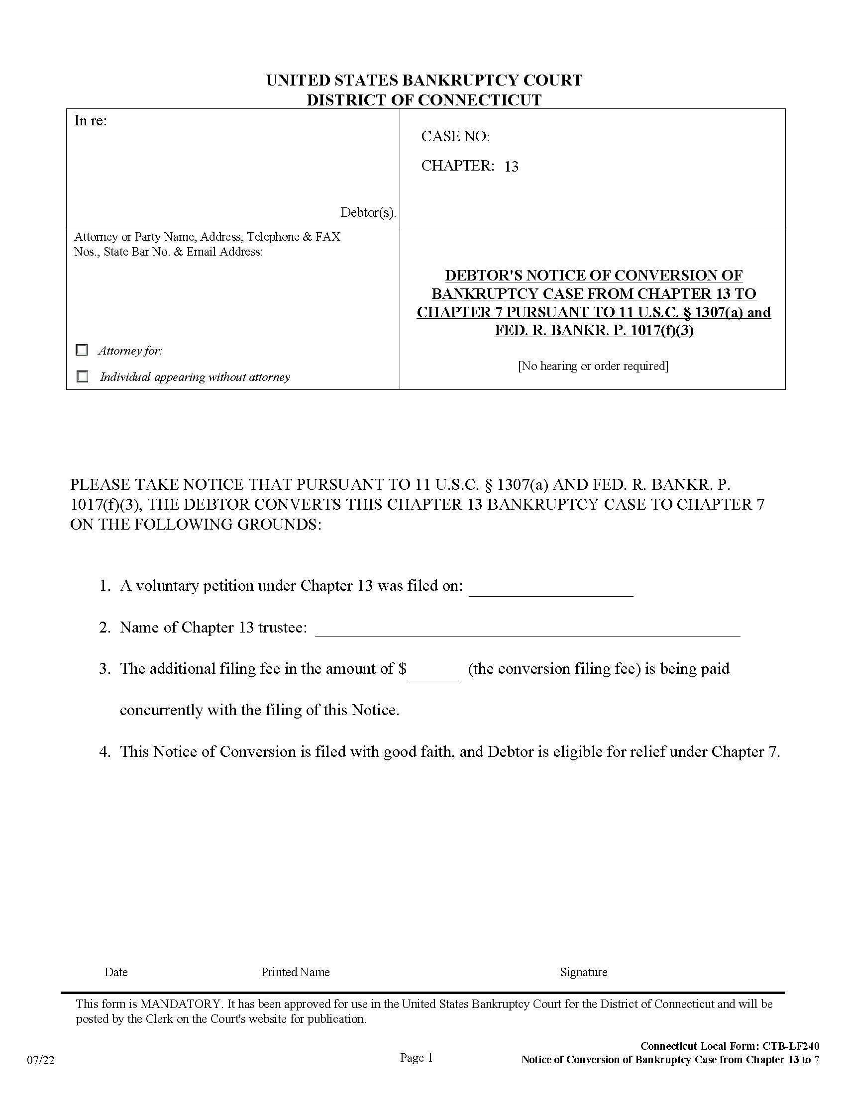
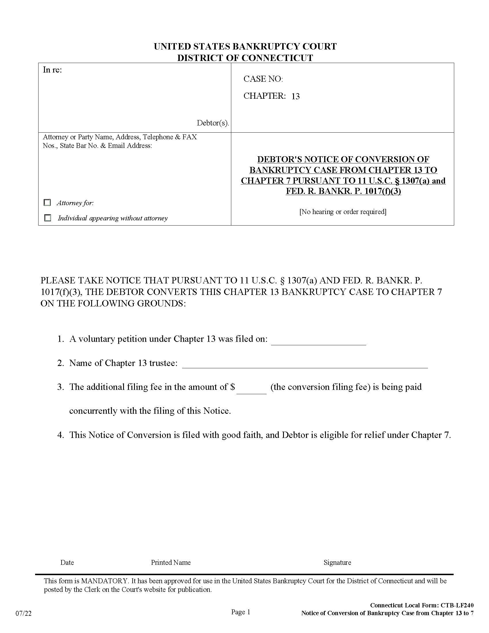
CTB-LF240 - DEBTOR'S NOTICE OF CONVERSION OF BANKRUPTCY CASE FROM CHAPTER 13 TO CHAPTER 7 PURSUANT TO 11 U.S.C. § 1307(a) and FED. R. BANKR. P. 1017(f)(3). This form is used in the United States Bankruptcy Court, District of Connecticut, by a debtor who wishes to voluntarily convert their bankruptcy case from Chapter 13 to Chapter 7. Chapter 13 allows debtors to repay creditors over time through a court-approved repayment plan, whereas Chapter 7 involves the liquidation of non-exempt assets to pay creditors. This notice informs the court and all relevant parties that the debtor is exercising their legal right to convert the case without the need for a hearing or court order. The form includes information such as the date the original Chapter 13 petition was filed, the name of the Chapter 13 trustee, and confirmation that the required conversion fee is being submitted. It also includes a declaration of the debtor’s eligibility for Chapter 7 relief and confirmation that the request is being made in good faith. The accompanying Proof of Service section details how notice of the conversion was provided to all necessary parties through methods such as electronic filing, U.S. mail, or personal delivery. This form is MANDATORY. It has been approved for use in the United States Bankruptcy Court for the District of Connecticut. www.FormsWorkflow.com
Related forms
-
Application For Wage Execution
Connecticut/Federal/Bankruptcy Court/ -
Pretrial Order (Bridgeport)
Connecticut/Federal/Bankruptcy Court/ -
Pretrial Order (New Haven)
Connecticut/Federal/Bankruptcy Court/ -
Report On Ballots And Administrative Expenses (Chapter 11)
Connecticut/Federal/Bankruptcy Court/ -
Wage Execution Exemption And Modification Claim Form
Connecticut/Federal/Bankruptcy Court/ -
Wage Execution
Connecticut/Federal/Bankruptcy Court/ -
Corporate Ownership Statement
Connecticut/Federal/Bankruptcy Court/ -
Motion For Exemption From Electronic Filing
Connecticut/Federal/Bankruptcy Court/ -
Order On Motion To Avoid Judicial Lien Pursuant To Bankruptcy Code Section
Connecticut/Federal/Bankruptcy Court/ -
Order Scheduling Hearing And Shortening (And Limiting) Notice
Connecticut/Federal/Bankruptcy Court/ -
Pretrial Order (Hartford)
Connecticut/Federal/Bankruptcy Court/ -
Writ Of Execution (Application)
Connecticut/Federal/Bankruptcy Court/ -
National Archives And Records Administration Order For Copies Of
Connecticut/Federal/Bankruptcy Court/ -
Application For And Writ Of Execution
Connecticut/Federal/Bankruptcy Court/ -
Order Pursuant To 11 U.S.C. 522 Motion To Avoid Judicial Liens
Connecticut/Federal/Bankruptcy Court/ -
Application For Discharge After Completion Of Plan Payments (Chapter 11)
Connecticut/Federal/Bankruptcy Court/ -
Application For Discharge After Completion Of Plan Payments (Chapter 12)
Connecticut/Federal/Bankruptcy Court/ -
Application For Discharge Prior To Completion Of Plan Payments (Chapter 11)
Connecticut/Federal/Bankruptcy Court/ -
Application for Hardship Discharge (Chapter 12)
Connecticut/Federal/Bankruptcy Court/ -
Order Approving Final Application For Compensation Chapters 7 and 11
Connecticut/Federal/Bankruptcy Court/ -
Order Approving Final Application For Compensation
Connecticut/Federal/Bankruptcy Court/ -
Order Approving Interim Application For Compensation
Connecticut/Federal/Bankruptcy Court/ -
Order Authorizing Rule 2004 Examination
Connecticut/Federal/Bankruptcy Court/ -
Order Extending Automatic Stay
Connecticut/Federal/Bankruptcy Court/ -
Order Granting Debtors Motion To Dismiss Chapter 7 Case
Connecticut/Federal/Bankruptcy Court/ -
Order Granting Debtors Motion To Dismiss Chapter 13 Case
Connecticut/Federal/Bankruptcy Court/ -
Order Granting Extension Of TIme To File A Complaint Objecting To Discharge
Connecticut/Federal/Bankruptcy Court/ -
Order Granting In Rem Relief From Automatic Stay
Connecticut/Federal/Bankruptcy Court/ -
Order Granting Motion To Avoid Liens
Connecticut/Federal/Bankruptcy Court/ -
Order Granting Motion To Determine Secured Status Of Claim
Connecticut/Federal/Bankruptcy Court/ -
Order Granting Motion To Extend Stay And Setting Hearing
Connecticut/Federal/Bankruptcy Court/ -
Order Granting Motion To Reopen Case
Connecticut/Federal/Bankruptcy Court/ -
Order Granting Relief From Automatic Stay And In Rem Relief
Connecticut/Federal/Bankruptcy Court/ -
Order Granting Relief From Automatic Stay
Connecticut/Federal/Bankruptcy Court/ -
Order Granting Reorganized Debtors Motion For Final Decree Closing Case
Connecticut/Federal/Bankruptcy Court/ -
Order On Objection To Proof Of Claim
Connecticut/Federal/Bankruptcy Court/ -
Fee Application Cover Sheet
Connecticut/3 Federal/Bankruptcy Court/ -
Relief From Stay Worksheet Real Estate
Connecticut/3 Federal/Bankruptcy Court/ -
Change Of Mailing Address
Connecticut/3 Federal/Bankruptcy Court/ -
Domestic Support Obligation Disclosure Personal Injury Information
Connecticut/3 Federal/Bankruptcy Court/ -
Request For Continuance Of Initial Hearing (Contested Matters)
Connecticut/3 Federal/Bankruptcy Court/ -
Request And Consent To Electronic Notice And Service Of Documents In A Bankruptcy Case
Connecticut/3 Federal/Bankruptcy Court/ -
Request To Withdraw Consent To Electronic Notice And Service Of Documents In A Bankruptcy Case
Connecticut/3 Federal/Bankruptcy Court/ -
Request And Consent To Electronic Notice And Service Of Documents In An Adversary Proceeding
Connecticut/3 Federal/Bankruptcy Court/ -
Request To Withdraw Consent To Electronic Notice And Service Of Documents In An Adversary Proceeding
Connecticut/3 Federal/Bankruptcy Court/ -
Notice Of Proposed Private Sale Of Estate Property
Connecticut/3 Federal/Bankruptcy Court/ -
Notice Of Proposed Public Sale Of Estate Property
Connecticut/3 Federal/Bankruptcy Court/ -
Register Update Request Form
Connecticut/Federal/Bankruptcy Court/ -
Notice Of Order Granting Motion For Private Sale Of Estate Property
Connecticut/Federal/Bankruptcy Court/ -
Notice Of Order Granting Motion For Public Sale Of Estate Property
Connecticut/Federal/Bankruptcy Court/ -
Notice Of Objection To Claim
Connecticut/Federal/Bankruptcy Court/ -
Request For Search Of Bankruptcy Records
Connecticut/Federal/Bankruptcy Court/ -
Application For Discharge After Completion Of Plan Payments Chapter 13
Connecticut/Federal/Bankruptcy Court/ -
Application For Hardship Discharge Chapter 13
Connecticut/Federal/Bankruptcy Court/ -
Debtors Notice Of Conversion From Chapter 13 To Chapter 7
Connecticut/Federal/Bankruptcy Court/ -
Debtors Notice Of Conversion From Chapter 12 To Chapter 7
Connecticut/Federal/Bankruptcy Court/ -
Notice Of Appearance Of Counsel (Bankruptcy)
Connecticut/Federal/Bankruptcy Court/ -
Notice Of Appearance Of Counsel (Adversary)
Connecticut/Federal/Bankruptcy Court/ -
Chapter 13 Wage Withholding Employer Information Sheet
Connecticut/Federal/Bankruptcy Court/ -
Errata Sheet Regarding Official Transcript (Adversary)
Connecticut/Federal/Bankruptcy Court/ -
Errata Sheet Regarding Official Transcript (Bankruptcy)
Connecticut/Federal/Bankruptcy Court/ -
Sard Report
Connecticut/Federal/Bankruptcy Court/ -
Checklist For Cash Collateral
Connecticut/Federal/Bankruptcy Court/ -
Application For Payment Of Unclaimed Funds
Connecticut/Federal/Bankruptcy Court/ -
Chapter 13 Plan
Connecticut/Federal/Bankruptcy Court/ -
Certificate Of Service For Chapter 13 Plan(s) And Notice Of Hearing
Connecticut/Federal/Bankruptcy Court/ -
Report Of Assets in Chapter 7 Case And Request To Set Proof Of Claim Deadline
Connecticut/Federal/Bankruptcy Court/
Form Preview
Contact Us
Success: Your message was sent.
Thank you!




