Last updated: 3/14/2025
Compulsory Accounting Citation
Start Your Free Trial $ 16.00What you get:
- Instant access to fillable Microsoft Word or PDF forms.
- Minimize the risk of using outdated forms and eliminate rejected fillings.
- Largest forms database in the USA with more than 80,000 federal, state and agency forms.
- Download, edit, auto-fill multiple forms at once in MS Word using our Forms Workflow Ribbon
- Trusted by 1,000s of Attorneys and Legal Professionals
Description
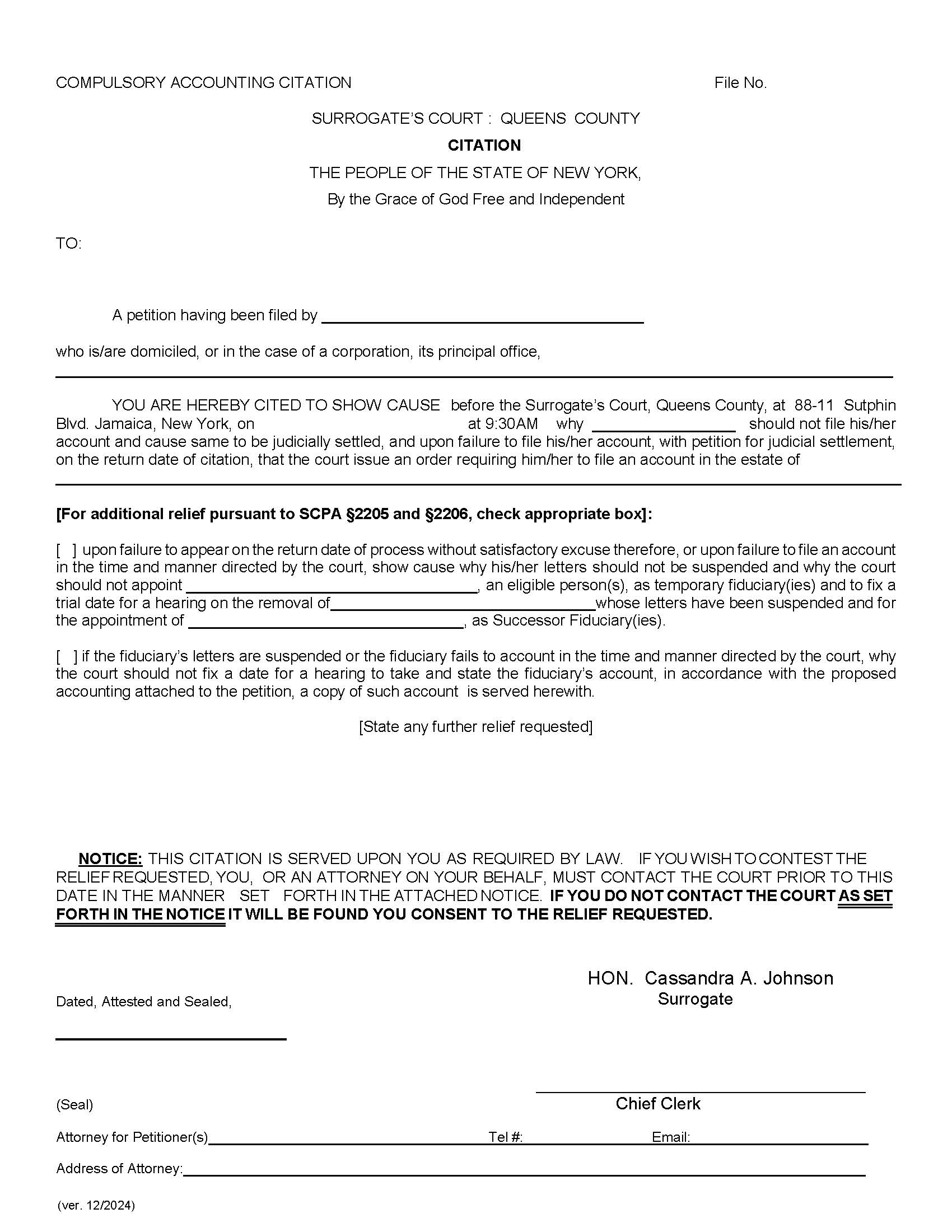
COMPULSORY ACCOUNTING CITATION. This form is issued by the Surrogate’s Court of Queens County in cases involving the administration of a deceased person’s estate. It is used to compel a fiduciary—such as an executor, administrator, or trustee—to file a formal accounting of the estate's financial transactions. This form is typically requested when beneficiaries, heirs, or other interested parties suspect mismanagement, delay, or misconduct in handling the estate’s assets. The citation orders the fiduciary to appear in court and either present the estate’s financial records for judicial review or face potential legal consequences, such as suspension or removal from their role. If the fiduciary fails to comply, the court may take additional actions, such as appointing a temporary or successor fiduciary or proceeding with a hearing to settle the estate’s accounts without the fiduciary’s input. The citation also includes a warning that failure to respond may result in the requested relief being granted by default. www.FormsWorkflow.com
Related forms
-
Decree Granting Probate
New York/Local County/Queens/Surrogates Court/ -
Application For Preliminary Letters Testamentary
New York/Local County/Queens/Surrogates Court/ -
Order For Preliminary Letters Testamentary
New York/Local County/Queens/Surrogates Court/ -
Application For Temporary Letters Of Administration
New York/Local County/Queens/Surrogates Court/ -
Order Extending Temporary Letters Of Administration
New York/Local County/Queens/Surrogates Court/ -
Order Extending Preliminary Letters Testamentary
New York/Local County/Queens/Surrogates Court/ -
Cash Flow Statement
New York/Local County/Queens/Surrogates Court/ -
Petition To Examine Safe Deposit Box
New York/Local County/Queens/Surrogates Court/ -
Order Granting Temporary Administration
New York/Local County/Queens/Surrogates Court/ -
Petition To Examine Residence
New York/Local County/Queens/Surrogates Court/ -
Decree With Restriction
New York/Local County/Queens/Surrogates Court/ -
Decree Appointing Ancillary Administrator
New York/3 Local County/Queens/Surrogates Court/ -
Decree Appointing Administrator De Bonis Non
New York/3 Local County/Queens/Surrogates Court/ -
Bond Affidavit.
New York/3 Local County/Queens/Surrogates Court/ -
(Attorney) Certification Pursuant To CPLR S. 2105 (Will Copy)
New York/3 Local County/Queens/Surrogates Court/ -
Notice Of Application To Lift Restrictions
New York/3 Local County/Queens/Surrogates Court/ -
Real Property Affidavit
New York/3 Local County/Queens/Surrogates Court/ -
Petition To Lift Restrictions (Personal Injury Settlement)
New York/3 Local County/Queens/Surrogates Court/ -
Affirmation Of No Opposition (Citation)
New York/3 Local County/Queens/Surrogates Court/ -
Probate Citation-OTSC Response Form
New York/3 Local County/Queens/Surrogates Court/ -
Affirmation Of No Opposition (Probate Proceeding)
New York/3 Local County/Queens/Surrogates Court/ -
Preliminary-Temporary Letters Of Administration Citation
New York/3 Local County/Queens/Surrogates Court/ -
Citation - 1411 Practice
New York/3 Local County/Queens/Surrogates Court/ -
Probate Citation
New York/3 Local County/Queens/Surrogates Court/ -
Miscellaneous Citation-OTSC Response Form
New York/3 Local County/Queens/Surrogates Court/ -
1404 Order
New York/3 Local County/Queens/Surrogates Court/ -
Administration Citation-OTSC Response Form
New York/3 Local County/Queens/Surrogates Court/ -
Administration Citation
New York/3 Local County/Queens/Surrogates Court/ -
Citation (General - COVID)
New York/3 Local County/Queens/Surrogates Court/ -
Citation (Accounting)
New York/3 Local County/Queens/Surrogates Court/ -
Citation-OTSC Response Form
New York/3 Local County/Queens/Surrogates Court/ -
OTSC Notice (COVID)
New York/3 Local County/Queens/Surrogates Court/ -
Appearance Notice (COVID)
New York/3 Local County/Queens/Surrogates Court/ -
Accounting Citation-OTSC Response Form
New York/3 Local County/Queens/Surrogates Court/ -
Inventory Of Safe Deposit Box Opening
New York/3 Local County/Queens/Surrogates Court/ -
Citation Notice
New York/3 Local County/Queens/Surrogates Court/ -
Heirship-Pedigree Affidavit
New York/Local County/Queens/Surrogates Court/ -
Bond And Real Property Affidavit
New York/3 Local County/Queens/Surrogates Court/ -
Statement Of Death
New York/Local County/Queens/Surrogates Court/ -
Order Dispensing WIth Service Of Process Pursuant SCPA 1003(4)
New York/Local County/Queens/Surrogates Court/ -
Petition To Lift Restrictions (Wrongful Death Structured Settlement) With Checklist
New York/Local County/Queens/Surrogates Court/ -
Notice Of Application To Lift Restrictions (Wrongful Death Structured Settlement)
New York/Local County/Queens/Surrogates Court/ -
Affidavit Of Mailing Notice Of Application To Lift Restrictions (Wrongful Death)
New York/Local County/Queens/Surrogates Court/ -
Petition To Lift Restrictions (Wrongful Death Settlement) With Checklist
New York/Local County/Queens/Surrogates Court/ -
Decree Granting Ancillary Probate
New York/Local County/Queens/Surrogates Court/ -
Decree Awarding Letters Of Administration
New York/Local County/Queens/Surrogates Court/ -
Decree (Awarding Limited Administrator - Cause Of Action)
New York/3 Local County/Queens/Surrogates Court/ -
Decree (Application For Letters Of Administration)
New York/Local County/Queens/Surrogates Court/ -
Decree (For The Appointment Of Successor Administrators CTA)
New York/Local County/Queens/Surrogates Court/ -
Decree (For The Appointment Of Successor Administrators DBN)
New York/Local County/Queens/Surrogates Court/ -
Decree Appointing Administrator
New York/Local County/Queens/Surrogates Court/ -
Compulsory Accounting Citation
New York/3 Local County/Queens/Surrogates Court/ -
Decree (For The Appointment Of Successor Executors)
New York/Local County/Queens/Surrogates Court/ -
Order To Examine Safe Deposit Box
New York/Local County/Queens/Surrogates Court/ -
Order (To Lift Restrictions-Wrongful Death Structured Settlement)
New York/Local County/Queens/Surrogates Court/ -
Order (To Lift Restrictions-Wrongful Death)
New York/Local County/Queens/Surrogates Court/ -
Order To Lift Restrictions (No Wrongful Death)
New York/3 Local County/Queens/Surrogates Court/ -
Decree (For The Appointment Of Trustee)
New York/Local County/Queens/Surrogates Court/ -
Decree (For The Appointment Of Successor Trustee)
New York/Local County/Queens/Surrogates Court/ -
Order To Examine Residence
New York/Local County/Queens/Surrogates Court/ -
Letters Of Administration DBN Citation
New York/3 Local County/Queens/Surrogates Court/
Form Preview
Contact Us
Success: Your message was sent.
Thank you!




