Last updated: 11/7/2024
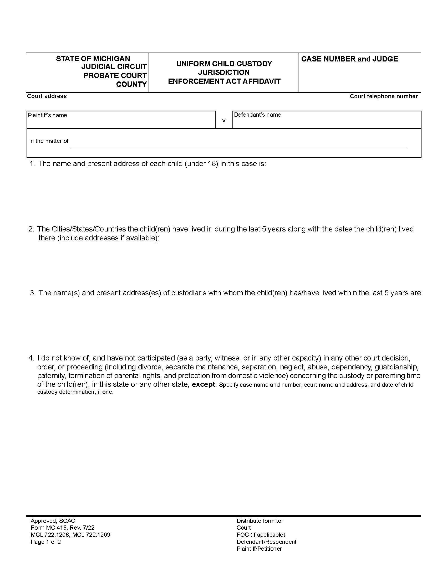
Uniform Child Custody Jurisdiction Enforcement Act Affidavit {MC 416}
Start Your Free Trial $ 13.99What you get:
- Instant access to fillable Microsoft Word or PDF forms.
- Minimize the risk of using outdated forms and eliminate rejected fillings.
- Largest forms database in the USA with more than 80,000 federal, state and agency forms.
- Download, edit, auto-fill multiple forms at once in MS Word using our Forms Workflow Ribbon
- Trusted by 1,000s of Attorneys and Legal Professionals
Description
MC 416 - UNIFORM CHILD CUSTODY JURISDICTION ENFORCEMENT ACT AFFIDAVIT. This form is used in the State of Michigan's Judicial Circuit Probate Court in cases involving child custody matters to gather information relevant to the child's residence, custody arrangements, and legal proceedings related to custody. The form is designed to ensure that proper jurisdiction and enforcement measures are applied according to the Uniform Child Custody Jurisdiction and Enforcement Act (UCCJEA) and relevant Michigan laws. The form requests specific details related to the child or children involved in the case, including their names, addresses, and residences over the last five years. It also asks for information about custodians and any previous court decisions or proceedings involving the child's custody or parenting time. The affiant (the person filling out the form) is required to provide accurate and complete information about any ongoing or pending proceedings that could affect the current child custody matter, as well as individuals who have custody or claim rights to custody of the child(ren). The form includes a section for the affiant's signature, name, address, and a statement acknowledging the duty to inform the court of any relevant proceedings. The affiant's signature is then notarized or witnessed by a deputy clerk or notary public, certifying the authenticity of the information provided. Approved, SCAO. MCL 722.1206, MCL 722.1209. www.FormsWorkflow.com
Related forms
-
Affidavit Of Incorrect Address
Michigan/Statewide/General/ -
Order Requesting Prisoner Be Allowed To Participate In Court Proceedings
Michigan/Statewide/General/ -
Recall Of Warrant Or Order To Apprehend
Michigan/Statewide/General/ -
Removal Of Entry From Lien
Michigan/Statewide/General/ -
Request For Accommodations
Michigan/Statewide/General/ -
Order For Consolidation
Michigan/Statewide/General/ -
Motion For Consolidation
Michigan/Statewide/General/ -
Order
Michigan/Statewide/General/ -
Request For Verification Of A Michigan Affidavit Of Parentage Record
Michigan/Statewide/General/ -
Request For Verification Of A Michigan Death Record
Michigan/Statewide/General/ -
Request For Verification Of A Michigan Birth Record
Michigan/Statewide/General/ -
Order Regarding Registration Of Out Of State Child Custody Determination (UCCJEA)
Michigan/Statewide/General/ -
Notice Of Registration Of Out Of State Child Custody Determination (UCCJEA)
Michigan/Statewide/General/ -
Account Of Fiduciary Short Form
Michigan/Statewide/General/ -
Account Of Fiduciary Long Form
Michigan/Statewide/General/ -
Inventory Amended
Michigan/Statewide/General/ -
Proof Of Mailing
Michigan/Statewide/General/ -
Ex Parte Motion And Order To Renew Civil Judgment
Michigan/Statewide/General/ -
Certificate Of Stillbirth
Michigan/Statewide/General/ -
Authenticated or Apostilled Divorce Record
Michigan/Statewide/General/ -
Authenticated Or Apostilled Marriage Record
Michigan/Statewide/General/ -
Notice Of Intent To Destroy Discovery Materials
Michigan/Statewide/General/ -
Notice Of Hearing With Remote Participation
Michigan/1 Statewide/General/ -
Wage Assignment
Michigan/Statewide/General/ -
Cash Bond
Michigan/Statewide/General/ -
Witness Or Juror Certificate
Michigan/Statewide/General/ -
Statement Of Service And Order For Payment Of Court Appointed Representative
Michigan/Statewide/General/ -
Order For Change Of Venue
Michigan/1 Statewide/General/ -
Proof Of Mailing
Michigan/Statewide/General/ -
Appearance
Michigan/Statewide/General/ -
Taxation Of Costs
Michigan/Statewide/General/ -
Judgment Of Contempt
Michigan/Statewide/General/ -
Motion To Set Aside Forfeiture And Discharge Of Bond And Notice Of Hearing
Michigan/Statewide/General/ -
Order On Motion To Set Aside Forfeiture And Discharge Of Bond
Michigan/Statewide/General/ -
Application For An Authenticated Apostilled Death Record
Michigan/Statewide/General/ -
Motion And Affidavit And Bench Warrant
Michigan/Statewide/General/ -
Order For Transfer Of Jurisdiction
Michigan/1 Statewide/General/ -
Application For A Certified Copy Marriage Record
Michigan/Statewide/General/ -
Application For A Certified Copy Divorce Record
Michigan/Statewide/General/ -
Subpoena For Out Of State Case
Michigan/Statewide/General/ -
Summons
Michigan/Statewide/General/ -
Order For Alternate Service
Michigan/Statewide/General/ -
Juror Qualification Questionnaire
Michigan/Statewide/General/ -
Fee Waiver Request
Michigan/Statewide/General/ -
Uniform Child Custody Jurisdiction Enforcement Act Affidavit
Michigan/Statewide/General/ -
Contact Information
Michigan/1 Statewide/General/ -
Financial Statement
Michigan/Statewide/General/ -
Writ Of Habeas Corpus
Michigan/Statewide/General/ -
Motion And Order For Appointment Of Foreign Language Interpreter
Michigan/Statewide/General/ -
Motion And Verification Of Alternate Service
Michigan/Statewide/General/ -
Request For Hearing On Motion
Michigan/Statewide/General/ -
Juror Personal History Questionnaire
Michigan/Statewide/General/ -
Subpoena (Order To Appear And Or Produce)
Michigan/Statewide/General/ -
Blank Form
Michigan/Statewide/General/ -
Notice To Appear
Michigan/Statewide/General/ -
Notice Of Intent To Escheat Unclaimed Property
Michigan/Statewide/General/ -
Notice Of Intent To Dismiss For No Progress
Michigan/Statewide/General/ -
Notice To Prior Court Of Proceedings Affecting Minors
Michigan/Statewide/General/ -
Request And Notice For Film And Electronic Media Coverage Of Court Proceedings
Michigan/Statewide/General/ -
Affidavit Of Parentage
Michigan/Statewide/General/ -
Motion And Order To Show Cause
Michigan/Statewide/General/ -
Certification Of Records Or Attestation Of Exemplified Copies
Michigan/Statewide/General/ -
Review Of Request For Accommodations
Michigan/Statewide/General/ -
Order Of Disqualification Or Reassignment
Michigan/Statewide/General/ -
Remittal Of Disqualification
Michigan/Statewide/General/ -
Personal Service On Prisoner And Affidavit
Michigan/Statewide/General/ -
Substitution Of Attorney
Michigan/Statewide/General/ -
Order For Adjournment
Michigan/Statewide/General/ -
Notice Of Hearing And Motion
Michigan/Statewide/General/ -
Order For Publication Or Posting And Notice Of Action
Michigan/Statewide/General/
Form Preview
Contact Us
Success: Your message was sent.
Thank you!




