Last updated: 6/17/2024
Terms Of Sale Remote Bidding Authorized (Foreclosure)
Start Your Free Trial $ 14.00What you get:
- Instant access to fillable Microsoft Word or PDF forms.
- Minimize the risk of using outdated forms and eliminate rejected fillings.
- Largest forms database in the USA with more than 80,000 federal, state and agency forms.
- Download, edit, auto-fill multiple forms at once in MS Word using our Forms Workflow Ribbon
- Trusted by 1,000s of Attorneys and Legal Professionals
Description
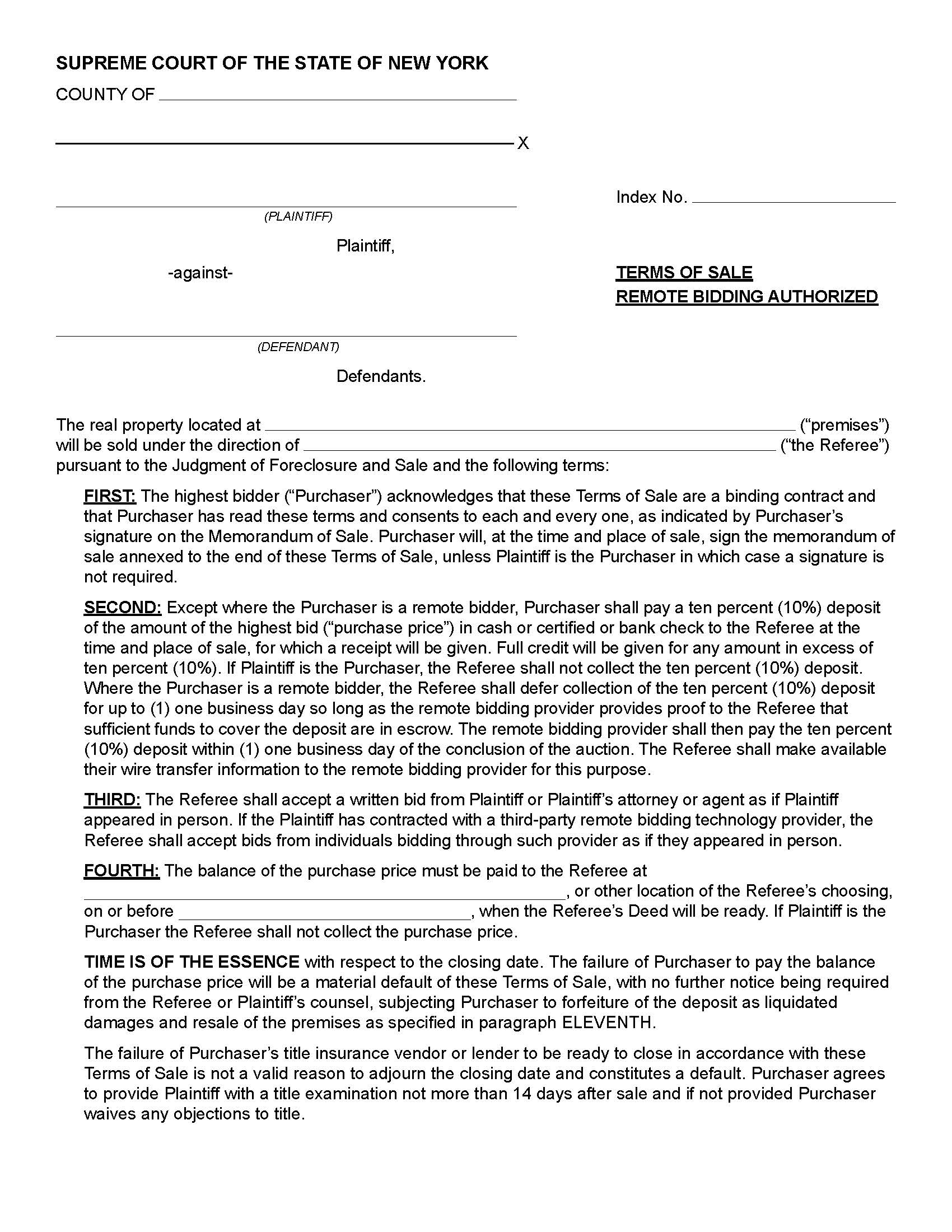
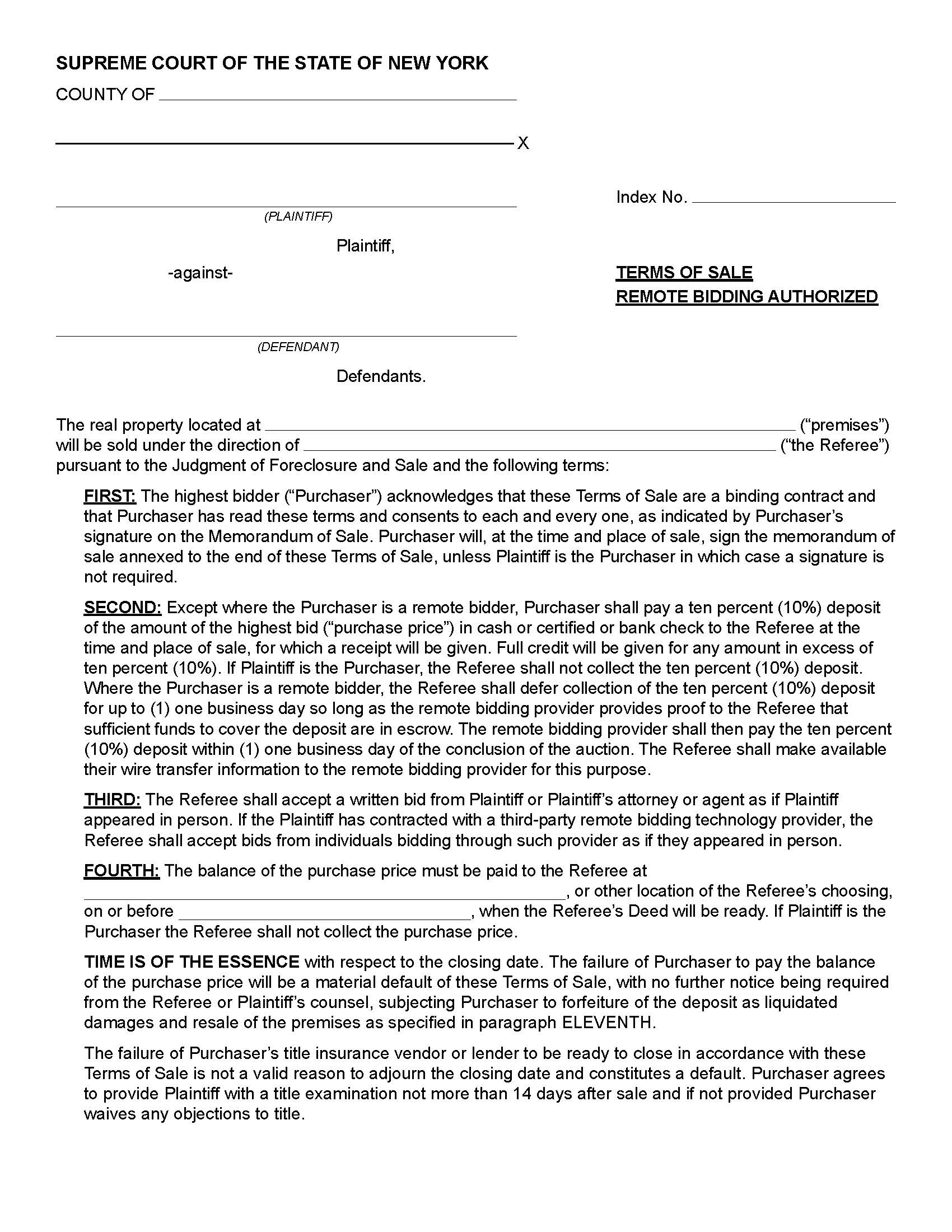
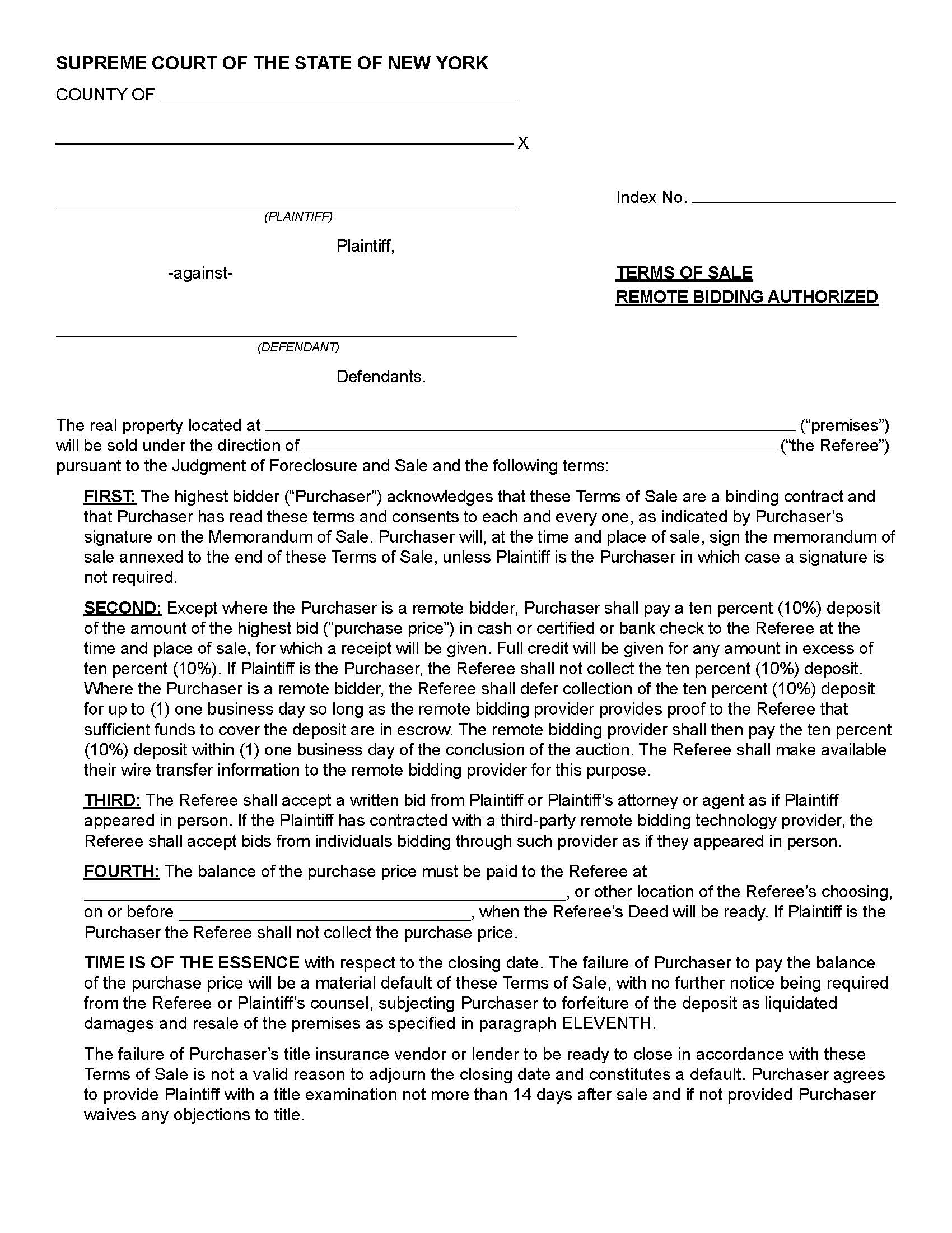
TERMS OF SALE REMOTE BIDDING AUTHORIZED. This form is used in the Supreme Court of New York for the sale of real property through a judicial foreclosure. It outlines the terms and conditions for the sale, specifying the responsibilities and obligations of the purchaser and seller. The highest bidder must acknowledge and agree to the terms, including a 10% deposit at the time of sale, except for remote bidders who have different deposit conditions. The remaining purchase price must be paid by a specified date, with time being of the essence. The sale is "as is," and the purchaser accepts all existing conditions, rights, and liens. The purchaser is responsible for all closing costs, taxes, and any additional expenses arising from delays. The form details procedures for handling title defects and adjustments for calculation errors. If the purchaser defaults, they forfeit the deposit, and the property may be resold. The form includes clauses about non-reliance on outside representations, the binding nature of the terms, and severability. www.FormsWorkflow.com
Related forms
-
Summons
New York/Statewide/Supreme Court/General/ -
Notice Of Motion
New York/Statewide/Supreme Court/General/ -
Authorization Of Agent For Service
New York/Statewide/Supreme Court/General/ -
Revocation Of Authorization - Agent For Service
New York/Statewide/Supreme Court/General/ -
Notice Of Commencement Of Action Subject To Mandatory Electronic Filing
New York/Statewide/Supreme Court/General/ -
Notice of Opt-Out From Participation In Action Subject To Mandatory Electronic Filing
New York/Statewide/Supreme Court/General/ -
Notice Of Hard Copy Submission - E-Filed Case
New York/Statewide/Supreme Court/General/ -
EF-22 Notice To County Clerk-CPLR 8019(c)
New York/Statewide/Supreme Court/General/ -
Revocation Of Authorization For Electronic Filing - Managing Attorney
New York/Statewide/Supreme Court/General/ -
Revocation Of Authorization For Electronic Filing - Single Attorney
New York/Statewide/Supreme Court/General/ -
Statement Of Authorization For Electronic Filing (Managing Attorney Authorizing Filing Agent Entity)
New York/Statewide/Supreme Court/General/ -
Statement Of Authorization For Electronic Filing (Managing Attorney Authorizing Individual Filing Agent)
New York/Statewide/Supreme Court/General/ -
Statement Of Authorization For Electronic Filing (Single Attorney Authorizing Filing Agent Entity)
New York/Statewide/Supreme Court/General/ -
Statement Of Authorization For Electronic Filing (Single Attorney Authorizing Individual Filing Agent)
New York/Statewide/Supreme Court/General/ -
Certification Of Signature (Judge)
New York/Statewide/Supreme Court/General/ -
Notice To County Clerk Amendment To Caption
New York/Statewide/Supreme Court/General/ -
Attorney Exemption Certification
New York/Statewide/Supreme Court/General/ -
Notification Of Case Number E-Filed Original Proceedings
New York/Statewide/Supreme Court/General/ -
Certification Of Signature (Attorney)
New York/Statewide/Supreme Court/General/ -
Notification Of Case Number E-Filed Appeals Or Transferred Matters
New York/Statewide/Supreme Court/General/ -
Notification Of Order Extending Restriction
New York/Statewide/Supreme Court/General/ -
Request For Restricted Status
New York/Statewide/Supreme Court/General/ -
Notification Of Confidentiality Issue Or Error In Filing And Intent To Seek Judicial Relief
New York/Statewide/Supreme Court/General/ -
Non-Attorneys Representing Themselves Filing Agent PHV NYSCEF Registration
New York/1 Statewide/Supreme Court/General/ -
Notice Of Filing During The COVID-19 Public Health Emergency
New York/1 Statewide/Supreme Court/General/ -
Defect Checklist CPLR 3215(a) Default Judgments For Credit Card Debt
New York/1 Statewide/Supreme Court/General/ -
Stipulation And Consent To E-Filing
New York/Statewide/Supreme Court/General/ -
Notice Of Conversion To Electronic Filing (Converted Action To E-Filing)
New York/1 Statewide/Supreme Court/General/ -
ADR Initiation Form
New York/1 Statewide/Supreme Court/General/ -
Foreclosure Settlement Conference Additional Information
New York/1 Statewide/Supreme Court/General/ -
Order Confirming Referee Report And Judgment Of Foreclosure And Sale
New York/1 Statewide/Supreme Court/General/ -
Default Judgment And Judgment Of Foreclosure And Sale
New York/1 Statewide/Supreme Court/General/ -
Foreclosure Settlement Conference Intake Form
New York/1 Statewide/Supreme Court/General/ -
Order Of Reference And Default Judgment (Foreclosure)
New York/1 Statewide/Supreme Court/General/ -
Foreclosure Settlement Conference Status Form
New York/1 Statewide/Supreme Court/General/ -
Foreclosure Action Referees Report Of Sale
New York/1 Statewide/Supreme Court/General/ -
Notice Of Motion For Default Judgment And Order Of Reference (Foreclosure)
New York/1 Statewide/Supreme Court/General/ -
(Attorney) Affirmation And Affidavit (Foreclosure)
New York/1 Statewide/Supreme Court/General/ -
Affidavit Of Service
New York/1 Statewide/Supreme Court/General/ -
Foreclosure Action Surplus Monies Form
New York/1 Statewide/Supreme Court/General/ -
Notice Of Motion Confirm Referee Report And Judgment Of Foreclosure
New York/1 Statewide/Supreme Court/General/ -
Notice Of Motion Default Judgment Order Of Reference Judgment Of Foreclosure
New York/1 Statewide/Supreme Court/General/ -
Affirmation (COVID-19)
New York/1 Statewide/Supreme Court/General/ -
Certificate Of Merit Pursuant To CPLR 3012-b (Foreclosure)
New York/1 Statewide/Supreme Court/General/ -
Notice Of Limited Appearance
New York/1 Statewide/Supreme Court/General/ -
Letter Application For Order Directing Anonymous Caption Publicly Viewable Listings
New York/1 Statewide/Supreme Court/General/ -
Notice Of Electronic Filing (Mandatory Commencement) (Uniform Rule 202.5-bb(a)(2)(v) And (vi))
New York/Statewide/Supreme Court/General/ -
Letter Application To Convert Pending Action To E-Filing
New York/1 Statewide/Supreme Court/General/ -
Notice To Mortgagor - Mortgagors Declaration Of COVID-19 Related Hardship
New York/1 Statewide/Supreme Court/General/ -
Verified Pro Se Answer To Foreclosure Complaint (And Counterclaims)
New York/1 Statewide/Supreme Court/General/ -
Tax Lien Foreclosure Conference Form
New York/1 Statewide/Supreme Court/General/ -
Notification For Sealing In Electronically-Filed Case
New York/1 Statewide/Supreme Court/General/ -
Notice Of Electronic Filing (Consensual Case) (Uniform Rule 202.5-b)
New York/Statewide/Supreme Court/General/ -
Notice Of Electronic Filing (Mandatory Case) (Uniform Rule 202.5-bb)
New York/Statewide/Supreme Court/General/ -
Stipulation And Order For Production And Exchange Of Confidential Information
New York/1 Statewide/Supreme Court/General/ -
Request To Remove From Further Consent-Representation (New York City Corporation Counsel)
New York/Statewide/Supreme Court/General/ -
Out Of State Subpoena-Subpoena Duces Tecum (Template)
New York/Statewide/Supreme Court/General/ -
Application To Waive Extreme Risk Protection Order FIling Fees
New York/Statewide/Supreme Court/General/ -
Alternative Dispute Resolution (ADR) Attorney Certification (Commercial Division)
New York/Statewide/Supreme Court/General/ -
Terms Of Sale Remote Bidding Authorized (Foreclosure)
New York/Statewide/Supreme Court/General/ -
Consent To Cancel Notice Of Pendency
New York/Statewide/Supreme Court/General/ -
Guardian Ad Litem Designation And Consent
New York/Statewide/Supreme Court/General/ -
Order Authorizing Substituted Service And Appointing Guardian Ad Litem
New York/Statewide/Supreme Court/General/ -
Guardian Ad Litem (Foreclosure) Qualifying Affirmation
New York/Statewide/Supreme Court/General/ -
Order Denying Leave To Serve By Publication And To Appoint Guardian Ad Litem
New York/Statewide/Supreme Court/General/ -
Application To Amend Or Vacate Extreme Risk Protection Order
New York/Statewide/Supreme Court/General/ -
Application For Renewal Of An Extreme Risk Protection Order
New York/Statewide/Supreme Court/General/ -
Application To Return Firearms Rifles Or Shotguns To Lawful Owner
New York/Statewide/Supreme Court/General/ -
Application To Return Firearms Rifles Or Shotguns Respondent
New York/Statewide/Supreme Court/General/ -
Application For A Temporary Extreme Risk Protection Order
New York/Statewide/Supreme Court/General/
Form Preview
Contact Us
Success: Your message was sent.
Thank you!




