Last updated: 2/15/2023
Defendants Statement Of Understanding Of Consequences Of Plea CVC 23103.5 {SC-3029}
Start Your Free Trial $ 13.99What you get:
- Instant access to fillable Microsoft Word or PDF forms.
- Minimize the risk of using outdated forms and eliminate rejected fillings.
- Largest forms database in the USA with more than 80,000 federal, state and agency forms.
- Download, edit, auto-fill multiple forms at once in MS Word using our Forms Workflow Ribbon
- Trusted by 1,000s of Attorneys and Legal Professionals
Description
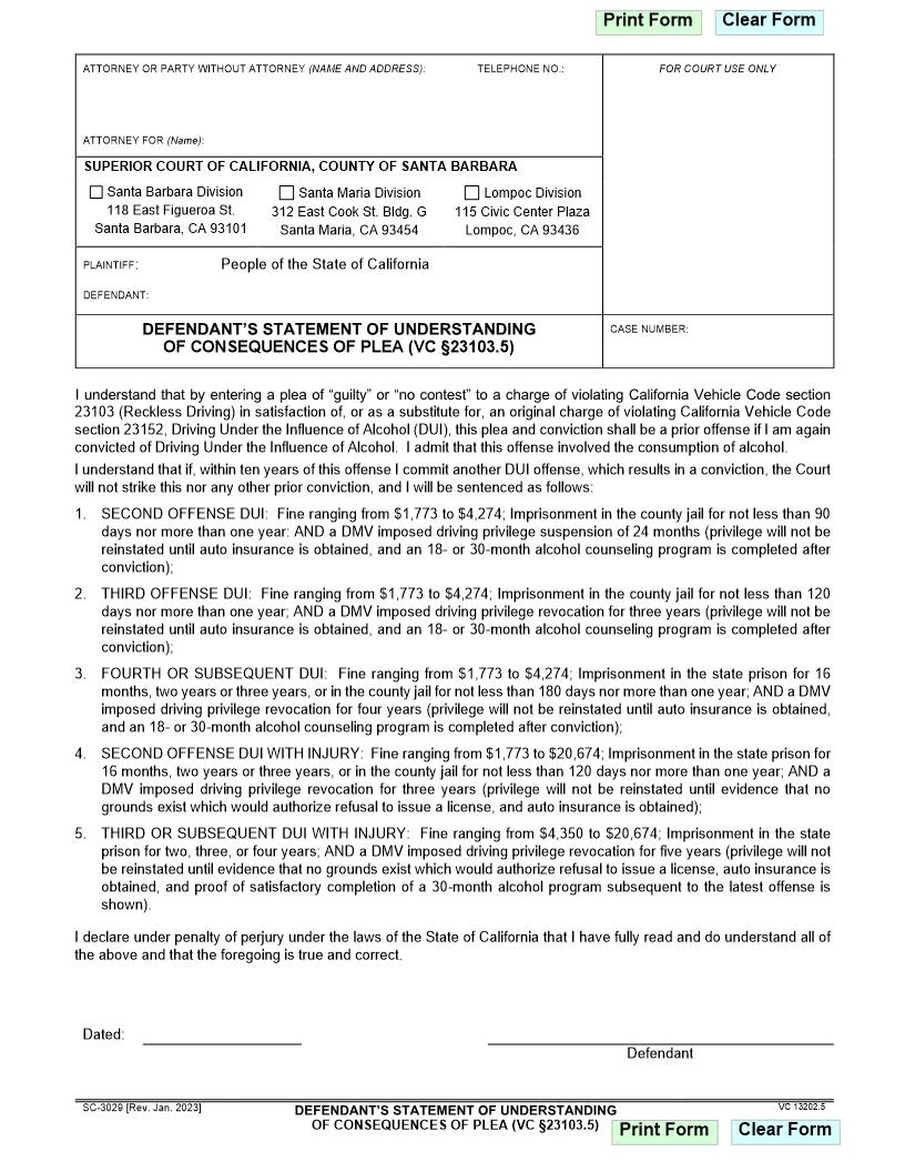
Choose a location ATTORNEY OR PARTY WITHOUT ATTORNEY (NAME AND ADDRESS): TELEPHONE NO.: FOR COURT USE ONLY ATTORNEY FOR (NAME): SUPERIOR COURT OF CALIFORNIA, COUNTY OF SANTA BARBARA STREET ADDRESS: CITY AND ZIP CODE: BRANCH NAME: PLAINTIFF: DEFENDANT: People of the State of California DEFENDANT'S STATEMENT OF UNDERSTANDING OF CONSEQUENCES OF PLEA (CVC §23103.5) CASE NUMBER: I understand that by entering a plea of "guilty" or "no contest" to a charge of violating California Vehicle Code section 23103 (Reckless Driving) in satisfaction of, or as a substitute for, an original charge of violating California Vehicle Code section 23152, Driving Under the Influence of Alcohol (DUI), this plea and conviction shall be a prior offense if I am again convicted of Driving Under the Influence of Alcohol. I admit that this offense involved the consumption of alcohol. I understand that if, within ten years of this offense I commit another DUI offense, which results in a conviction, the Court will not strike this nor any other prior conviction, and I will be sentenced as follows: 1. SECOND OFFENSE DUI: Fine ranging from $1,754 to $4,377; Imprisonment in the county jail for not less than 90 days nor more than one year: AND a driving privilege suspension of 24 months (privilege will not be reinstated until auto insurance is obtained, and an 18- or 30-month alcohol counseling program is completed after conviction); 2. THIRD OFFENSE DUI: Fine ranging from $1,754 to $4,377; Imprisonment in the county jail for not less than 120 days nor more than one year; AND a driving privilege revocation for three years (privilege will not be reinstated until auto insurance is obtained, and an 18- or 30-month alcohol counseling program is completed after conviction); 3. FOURTH OR SUBSEQUENT DUI: Fine ranging from $1,754 to $4,377; Imprisonment in the state prison for 16 months, two years or three years, or in the county jail for not less than 180 days nor more than one year; AND a driving privilege revocation for three years (privilege will not be reinstated until auto insurance is obtained, and an 18- or 30-month alcohol counseling program is completed after conviction); 4. SECOND OFFENSE DUI WITH INJURY: Fine ranging from $1,754 to $21,577; Imprisonment in the state prison for 16 months, two years or three years, or in the county jail for not less than 120 days nor more than one year; AND a driving privilege revocation for three years (privilege will not be reinstated until evidence that no grounds exist which would authorize refusal to issue a license, and auto insurance is obtained); 5. THIRD OR SUBSEQUENT DUI WITH INJURY: Fine ranging from $4,457 to $21,577; Imprisonment in the state prison for two, three, or four years; AND a driving privilege revocation for five years (privilege will not be reinstated until evidence that no grounds exist which would authorize refusal to issue a license, auto insurance is obtained, and proof of satisfactory completion of a 30-month alcohol program subsequent to the latest offense is shown). I declare under penalty of perjury under the laws of the State of California that I have fully read and do understand all of the above and that the foregoing is true and correct. Dated: Defendant SC-3029 [Rev. Jan. 1, 2009] DEFENDANT'S STATEMENT OF UNDERSTANDING OF CONSEQUENCES OF PLEA (CVC §23103.5) VC 23103.5 American LegalNet, Inc. www.FormsWorkflow.com ATTORNEY OR PARTY WITHOUT ATTORNEY (NAME AND ADDRESS): TELEPHONE NO.: FOR COURT USE ONLY ATTORNEY FOR (NAME): SUPERIOR COURT OF CALIFORNIA, COUNTY OF SANTA BARBARA STREET ADDRESS: CITY AND ZIP CODE: BRANCH NAME: PLAINTIFF: People of the State of California DEFENDANT: DECLARACIÓN DE QUE EL ACUSADO ENTIENDE LAS CONSECUENCIAS DE SU DELCLARACIÓN (Secc. 23103.5 del Código de Vehículos de California) CASE NUMBER: Entiendo que al declararme "culpable" o "no me opongo" al cargo de violar la sección 23103 del Código de Vehículos de California (Manejar Imprudencialmente) en satisfacción o como sustitución de un cargo original de violar la sección 23152 del Código de Vehículos de California, Manejar bajo la Influencia de Alcohol ("DUI"), esta declaración de culpable y la condena correspondiente se considerarán como un antecedente penal si soy encontrado culpable nuevmente de Manejar bajo la Influencia de Alcohol. Admito que este delito involucró el condumo de alcohol. Entiendo que si dentro de los diez años a partir de la comisión de este delito cometo otro delito de manejar bajo la influencia que resulte en una condena, el Trubunal no sobreseerá ésta ni ninguna otra condena previa, y seré sentenciado de la siguiente manera: 1. SEGUNDA DELITO DE "DUI": Multa que va de $1,754 to $4,377dólares; encarcelamiento en la carcel del condado durante no menos de 90 días ni más de un ano; Y la suspensión de mis privilegios de conducir durante 24 meses (el privilegio no será restablecido sino hasta que se obtenga seguro de automóvil y se complete un programa de terapia contra el alcoholismo de 18 o de 30 meses de duración después de la condena); 2. TERCER DELITO DE "DUI": Multa que va de $1,754 to $4,377dólares; encarcelamiento en la carcel del condado durante no menos de 120 días ni más de un año; Y la revocación de mis privilegios de conducir durante tres anos (el privilegio no será restablecido sino hasta que se obtenga seguro de automovil y se complete un programa de terapia contra el alcoholismo de 18 o de 30 meses de duracion después de la condena); 3. CUARTO O SUBSECUENTE DELITO DE "DUI": Multa que va de $1,754 to $4,377 dolares; encarcelamiento en la penitenciaría del estado durante 16 meses, dos años o tres años, o en la carcel del condado durante no menos de 120 días ni mas de un ano; Y la revocacion de mis privilegios de conducir durante tres años (el privilegio no será restablecido sino hasta que se obtenga seguro de automóvil y se complete un programa de terapia contra el alcoholismo de 18 o de 30 meses de duración despues de la condena); 4. SEGUNDO DELITO DE "DUI" CON LESIONES: Multa que va de $1,754 to $21,577 dólares; encarcelamiento en la penitenciaría del estado durante 16 meses, dos años o tres años, o en la carcel del condado durante no menos de 120 días ni más de un año: Y la revocación de mis privilegios de conducir durante tres años (el privilegio no será restablecido sino hasta que se compruebe que no existe ninguna causal que autorizaría la denegacion de la expedición de una licencia; que se obtenga seguro de automóvil y se presente





