Last updated: 5/19/2022
Notice Of Registered Agent Resignation
Start Your Free Trial $ 13.99What you get:
- Instant access to fillable Microsoft Word or PDF forms.
- Minimize the risk of using outdated forms and eliminate rejected fillings.
- Largest forms database in the USA with more than 80,000 federal, state and agency forms.
- Download, edit, auto-fill multiple forms at once in MS Word using our Forms Workflow Ribbon
- Trusted by 1,000s of Attorneys and Legal Professionals
Description
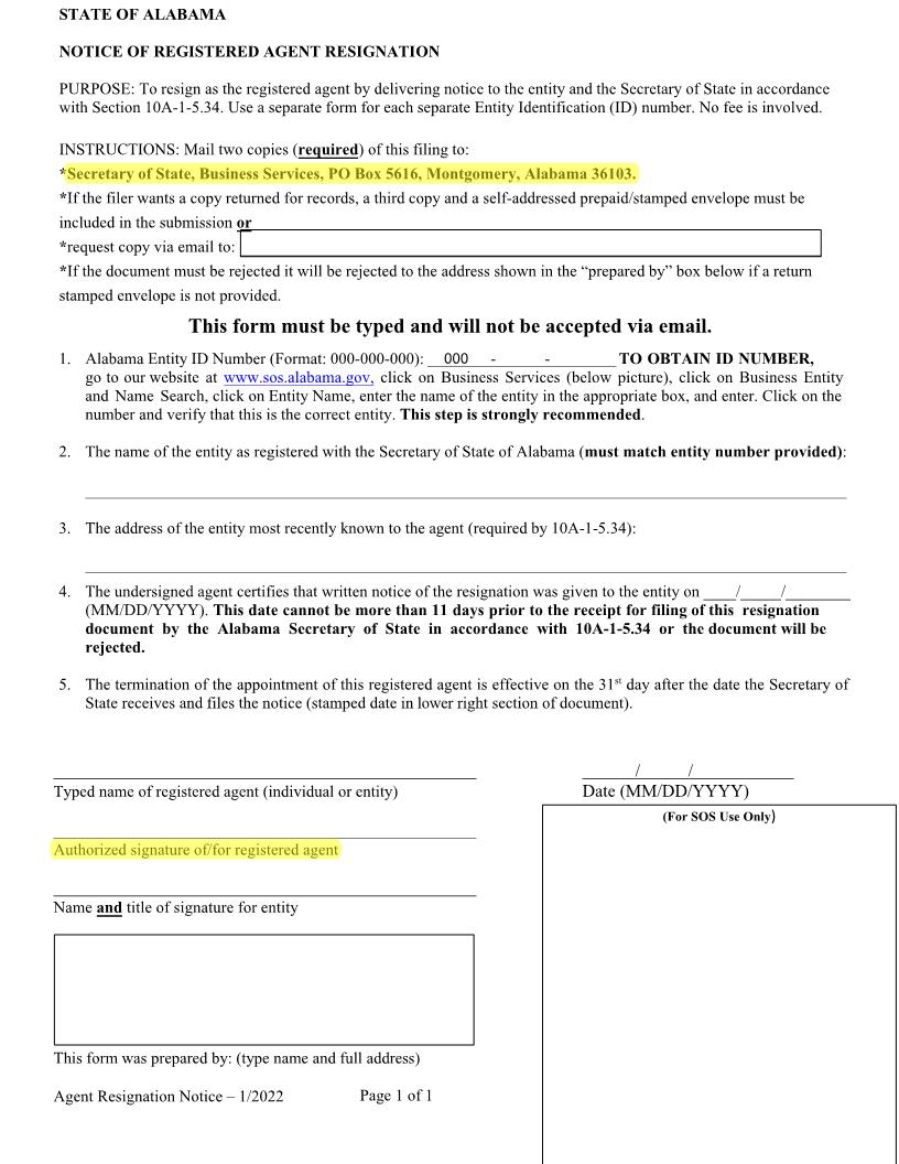
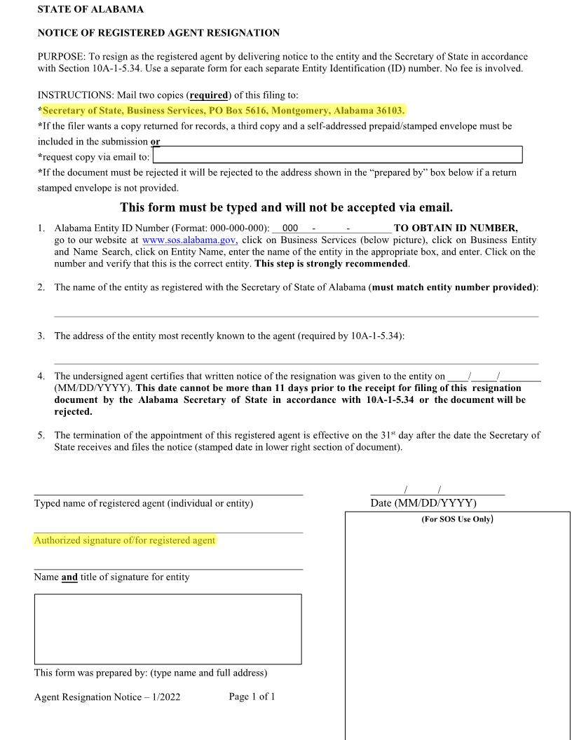
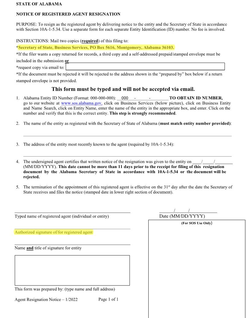
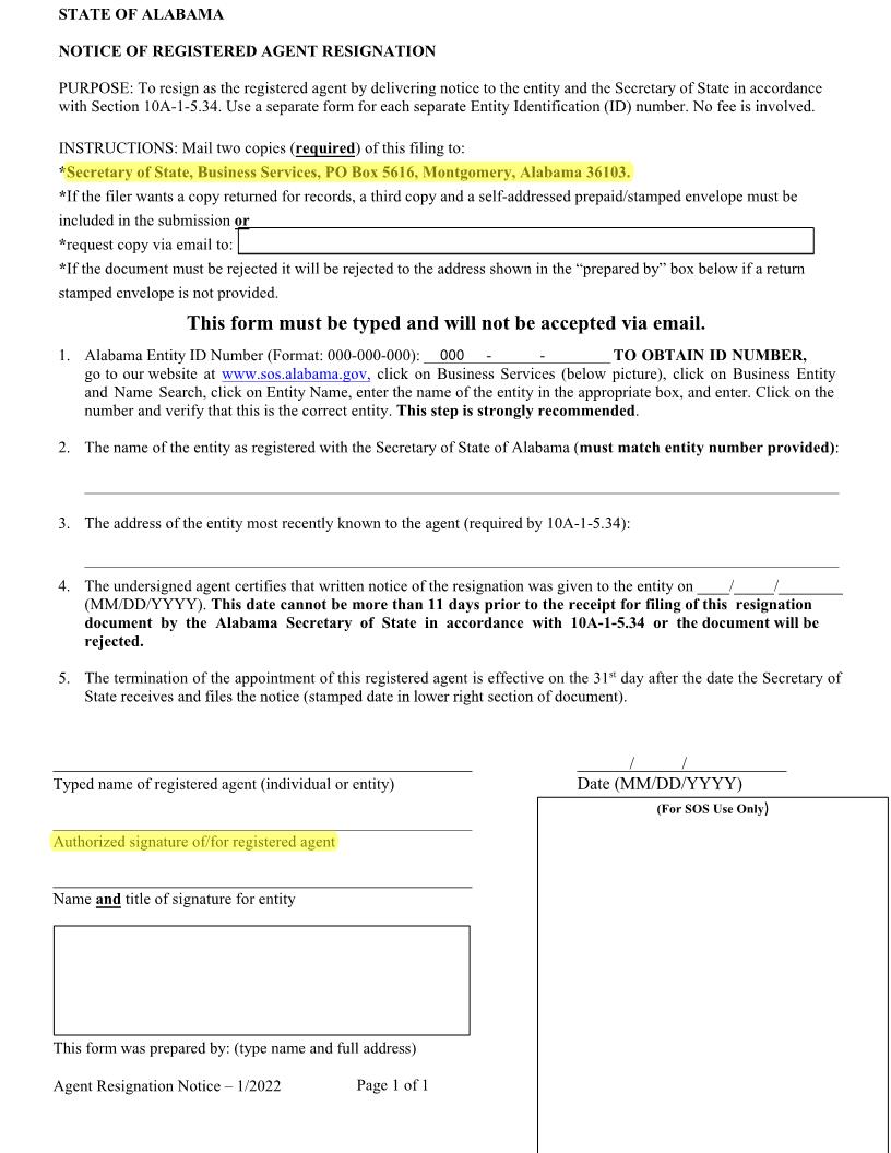
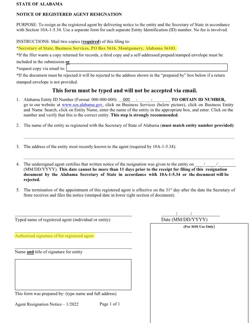
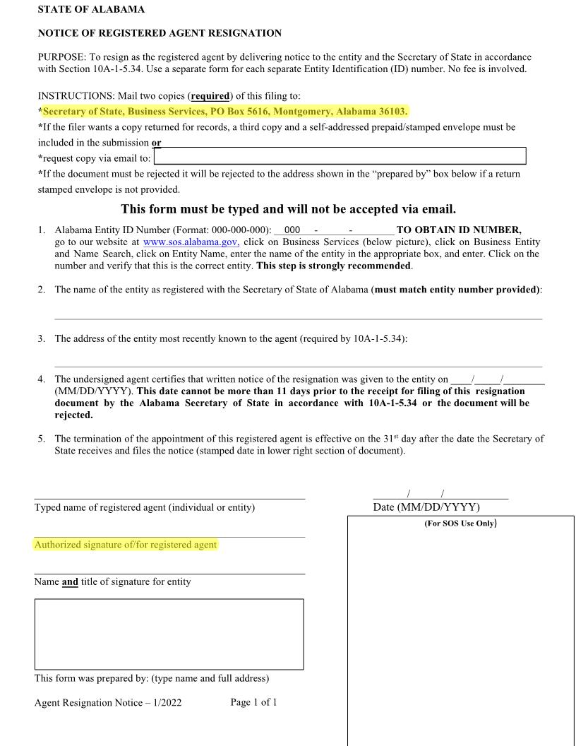
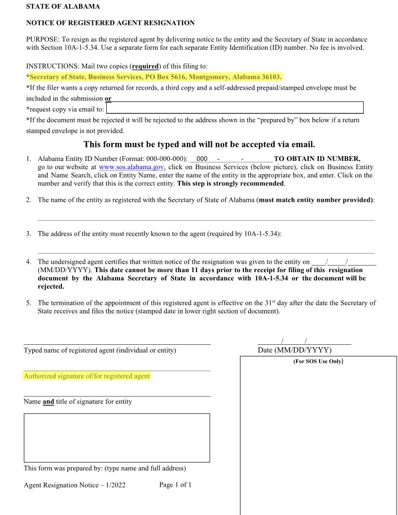
STATE OF ALABAMA NOTICE OF REGISTERED AGENT RESIGNATION AgentResignationNotice2261/2019Page1of1 PURPOSE: To resign as the registered agent by delivering notice to the entity and the Secretary of State in accordance with 10A-1-5.34. Use a separate form for each separate Entity Identification (ID) number. INSTRUCTIONS TO OBTAIN INFORMATION TO COMPLETE THIS FORM: You may obtain the Entity ID Number on our website at www.sos.alabama.gov Click on Business Services (below the picture), Scroll down to Business Entity Search, click on entity Name, type the registered name of the entity in the appropriate box (following search instructions on the webpage), and enter. The six (6) digit number containing a dash to the left of the name is the entity ID number (item 1 below). If you click on that number, you can view the Business Entity Details page to determine that you have located the correct entity. This verification step is strongly recommended. Mail two copies (required) of this filing to the Secretary of State, Business Services Division, PO Box 5616, Montgomery, Alabama, 36103-5616. No fee is involved. If the filer wants a copy returned for records, a third copy and a self-addressed prepaid/ stamped envelope must be included in the submission or request copy via email to: . If the document must be rejected it will be rejected to the address shown on the Secretary of State222s record for Agent for the Entity identified if no return envelope is provided. All the required information is in this form - no cover letter is required and any cover letters submitted will be discarded without review. The information completing this form must be typed. Email deliveries will not be acknowledged, processed, or returned. 1. Alabama Entity ID Number (Format: 000-000): - The notice will not be processed without this number since the entity cannot accurately be identified without this information based on the information required in this form. 2. The name of the entity as registered with the Secretary of State of Alabama (information must agree with item 1 above): 3. The address of the entity most recently known to the agent (required by 10A-1-5.34): 4. The undersigned agent certifies that written notice of the resignation was given to the entity on / / (MM/DD/YYYY). This date cannot be more than 11 days prior to the receipt for filing of this resignation document by the Alabama Secretary of State in accordance with 10A-1-5.34 or the document will be rejected. 5. The termination of the appointment of this registered agent is effective on the 31st day after the date the Secretary of State receives and files the notice (stamped date in upper right section of document). Date (MM/DD/YYYY) Typed Name of Registered Agent (Individual or Entity) Authorized Signature of/for Registered Agent Typed Name and Title of Signature for Entity ( For SOS Office Use Onl y) American LegalNet, Inc. www.FormsWorkFlow.com





