Last updated: 1/14/2022
Misdemeanor Diversion Advisements {SC-3106}
Start Your Free Trial $ 18.00What you get:
- Instant access to fillable Microsoft Word or PDF forms.
- Minimize the risk of using outdated forms and eliminate rejected fillings.
- Largest forms database in the USA with more than 80,000 federal, state and agency forms.
- Download, edit, auto-fill multiple forms at once in MS Word using our Forms Workflow Ribbon
- Trusted by 1,000s of Attorneys and Legal Professionals
Description
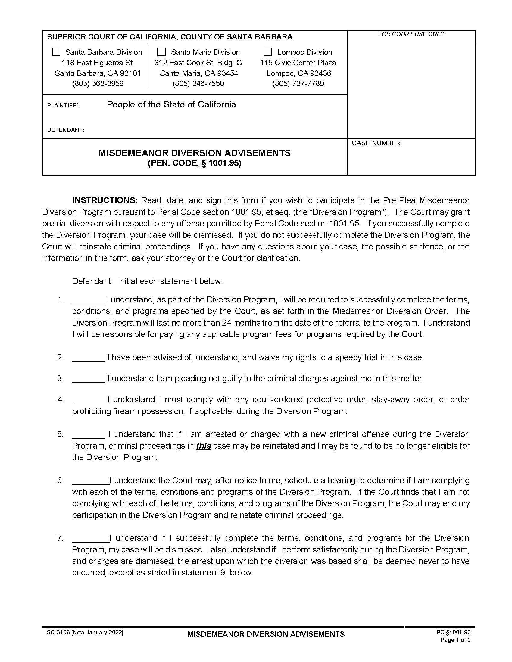
SC-3106 - MISDEMEANOR DIVERSION ADVISEMENTS (PEN. CODE, § 1001.95). This form is used in the Superior Court of California, County of Santa Barbara, to inform and document a defendant’s agreement to participate in a pretrial misdemeanor diversion program. This program allows eligible defendants to avoid a criminal conviction by completing court-ordered terms and conditions without entering a plea of guilty or no contest. The form outlines key advisements that the defendant must understand and acknowledge, including the requirement to comply with the court’s conditions, the waiver of the right to a speedy trial, the understanding that they are pleading not guilty, and the possibility of case reinstatement if the defendant fails to comply with program terms or is arrested for a new offense. Successful completion of the diversion program, which lasts no more than 24 months, can result in dismissal of the case and the underlying arrest being treated as if it never occurred—with limited exceptions such as disclosure during peace officer background checks. The defendant is also advised of the responsibility to pay restitution to any victims. By signing the form, the defendant affirms understanding and agreement with the program’s conditions, and if represented by an attorney or interpreter, their review and confirmation of the defendant’s understanding is also recorded. www.FormsWorkflow.com
Related forms
-
Court Ordered Program Notice Of Non-Compliance North County
California/Local County/Santa Barbara/Criminal/ -
Court Ordered Program Notice Of Non-Compliance South County
California/Local County/Santa Barbara/Criminal/ -
Declaration And Application By Defendant PC 1203.4-1203.4a
California/Local County/Santa Barbara/Criminal/ -
Declaration And Application By Defendant
California/Local County/Santa Barbara/Criminal/ -
Declaration In Support Of Waiver Of Vehicle Impoundment
California/Local County/Santa Barbara/Criminal/ -
Petition To Waive Mandatory Installment Of Ignition Interlock
California/Local County/Santa Barbara/Criminal/ -
Court Ordered Program Notice Of Non-Compliance (Domestic Violence Program)
California/Local County/Santa Barbara/Criminal/ -
Ex Parte Motion To Vacate Bail Forfeiture (PC 1305.2) (Infraction And Misdemeanor Cases Only)
California/Local County/Santa Barbara/Criminal/ -
Fax-Counter Arraignment (Lomac-Miller Divisions)
California/Local County/Santa Barbara/Criminal/ -
Fax-Counter Arraignment Procedures (Lomac-Miller Divisions)
California/Local County/Santa Barbara/Criminal/ -
Inmate Hearing Transcript Request
California/Local County/Santa Barbara/Criminal/ -
Petition-Application For Resentencing-Reduction
California/Local County/Santa Barbara/Criminal/ -
Instructions For Declaration And Application By Defendent
California/Local County/Santa Barbara/Criminal/ -
Pre-Trial Agreement (13202.5 VC)
California/Local County/Santa Barbara/Criminal/ -
Order For Destruction Of Weapons And-Or Transfer To Department Of Justice
California/2 Local County/Santa Barbara/Criminal/ -
Order For Return Of Weapon (Criminal)
California/2 Local County/Santa Barbara/Criminal/ -
Order Terminating Deferred Entry Of Judgment (PC 1000) And Entry Of Judgment
California/2 Local County/Santa Barbara/Criminal/ -
Stipulation And Order For Return Of Exhibits (Criminal)
California/2 Local County/Santa Barbara/Criminal/ -
Consent To Conduct Sentencing By Two-Way Electronic Audio-Video Communication
California/2 Local County/Santa Barbara/Criminal/ -
Referral Form–OR-BR Reports
California/2 Local County/Santa Barbara/Criminal/ -
Consent To Conduct Arraignment By Two-Way Electronic Audio-Video Communication
California/2 Local County/Santa Barbara/Criminal/ -
Notice Of Appearance (Criminal Cases)
California/2 Local County/Santa Barbara/Criminal/ -
Declaration Of Prejudice CCP 170.6 Peremptory Challenge
California/Local County/Santa Barbara/Criminal/ -
Misdemeanor Diversion Advisements
California/2 Local County/Santa Barbara/Criminal/ -
Misdemeanor Diversion Order
California/2 Local County/Santa Barbara/Criminal/ -
Order For Victim Restitution (Misdemeanor Diversion)
California/2 Local County/Santa Barbara/Criminal/ -
Request To Calendar
California/Local County/Santa Barbara/Criminal/ -
Order To Be Booked
California/Local County/Santa Barbara/Criminal/ -
Misdemeanor Restitution Order
California/Local County/Santa Barbara/Criminal/ -
Defendants Statement Of Understanding Of Consequences Of Plea CVC 23103.5
California/Local County/Santa Barbara/Criminal/ -
Advisement Of Rights Waiver And Plea Form (Misdemeanor)
California/Local County/Santa Barbara/Criminal/ -
Abandonment Of Appeal
California/Local County/Santa Barbara/Criminal/ -
Order Granting Deferred Entry Of Judgment PC 1000
California/Local County/Santa Barbara/Criminal/ -
Addendum To Advisement, Waiver And Plea Form CVC 1302.5
California/Local County/Santa Barbara/Criminal/ -
Advisement And Waiver Of Right To Counsel (Faretta Waiver) (Criminal)
California/Local County/Santa Barbara/Criminal/ -
Waiver Of Defendants Personal Presence (Criminal)
California/2 Local County/Santa Barbara/Criminal/ -
Order Setting Bail Modification
California/2 Local County/Santa Barbara/Criminal/ -
Order For OR Release (Unsupervised)
California/2 Local County/Santa Barbara/Criminal/ -
Order For Supervised Release Of Prisoner
California/2 Local County/Santa Barbara/Criminal/
Form Preview
Contact Us
Success: Your message was sent.
Thank you!




