Last updated: 6/4/2021
Verification Of Qualification To Act As Mediator {LF-50}
Start Your Free Trial $ 13.99What you get:
- Instant access to fillable Microsoft Word or PDF forms.
- Minimize the risk of using outdated forms and eliminate rejected fillings.
- Largest forms database in the USA with more than 80,000 federal, state and agency forms.
- Download, edit, auto-fill multiple forms at once in MS Word using our Forms Workflow Ribbon
- Trusted by 1,000s of Attorneys and Legal Professionals
Description
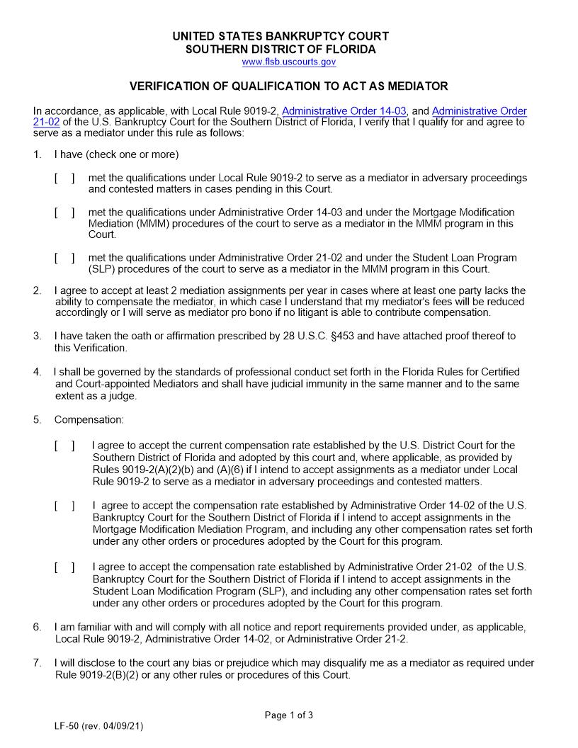
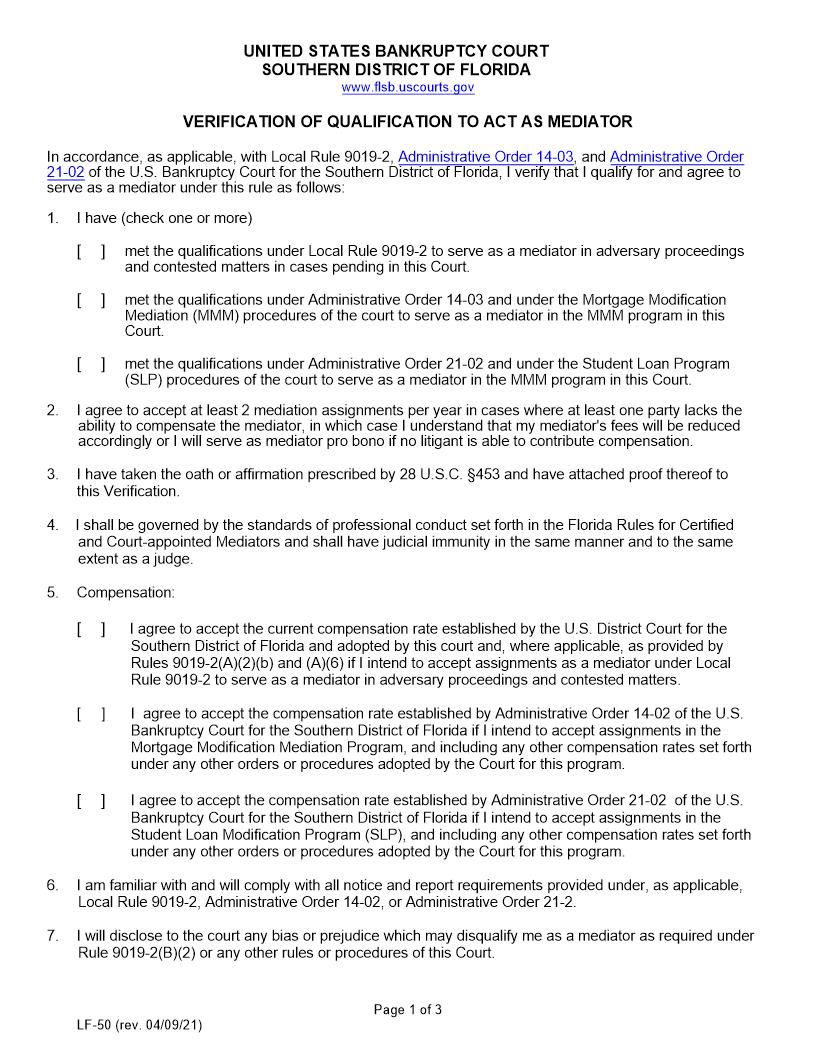
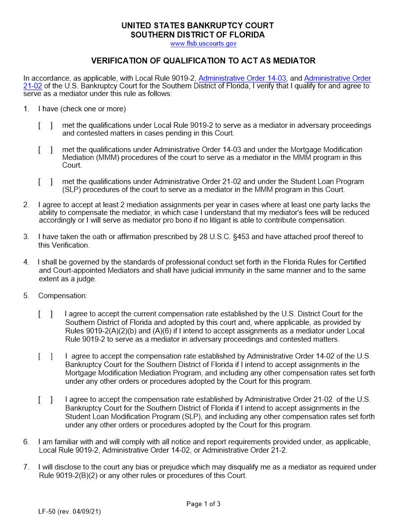
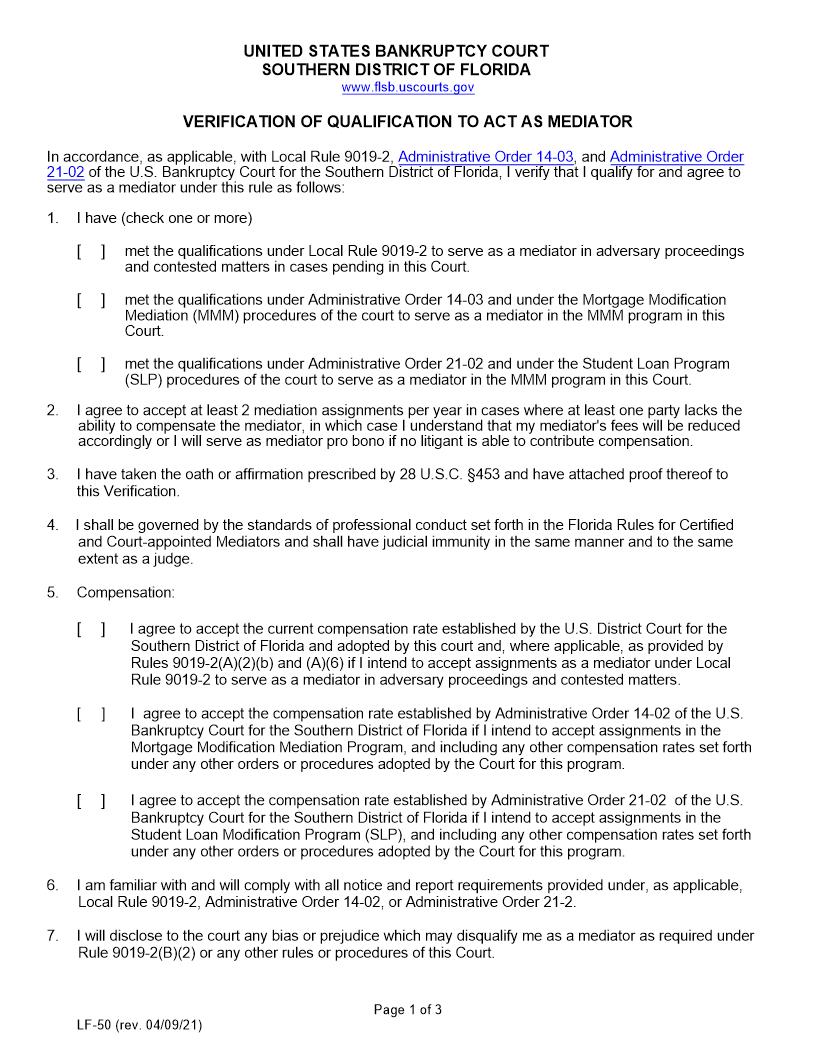
UNITED STATES BANKRUPTCY COURT SOUTHERN DISTRICT OF FLORIDA www.flsb.uscourts.gov VERIFICATION OF QUALIFICATION TO ACT AS MEDIATOR In accordance with Local Rule 9019-2 and Administrative Order 13-01 of the U.S. Bankruptcy Court for the Southern District of Florida, I verify that I qualify for and agree to serve as a mediator under this rule as follows: 1. I have (check one or more) [ ] completed a minimum of 40 hours in a circuit court mediation training program certified by the Florida Supreme Court; [ ] completed the American Bankruptcy Institute/St. John's University School of Law Bankruptcy Mediation Training [ ] a certification by the Florida Supreme Court as a circuit court mediator. I agree to accept at least 2 mediation assignments per year in cases where at least one party lacks the ability to compensate the mediator, in which case I understand that my mediator's fees will be reduced accordingly or I will serve as mediator pro bono if no litigant is able to contribute compensation. I have taken the oath or affirmation prescribed by 28 U.S.C. §453 and have attached proof thereof to this Verification. I agree to accept the current compensation rate established by the U.S. District Court for the Southern District of Florida and adopted by this court and, where applicable, as provided by Rules 9019-2(A)(2)(b) and (A)(6). I also agree to accept the compensation rate established by AO 13-01 of the U.S. Bankruptcy Court for the Southern District of Florida if I intend to accept assignments in the Mortgage Modification Mediation Program. I am familiar with and will comply with all notice and report requirements contained in Rule 9019-2. I will disclose to the court any bias or prejudice which may disqualify me as a mediator under Rule 90192(B)(2). I will accept referrals for cases in the following divisions: [ ] Miami [ ] Ft. Lauderdale [ ] West Palm Beach I[ ] will or [ ] will not accept assignments in the Mortgage Modification Program. 2. 3. 4. 5. 6. 7. 8. I certify under penalty of perjury that all the information on this form is true. _________________________________________ Signature Date: Name:___________________________________ (Printed or typed) Florida Bar No.(if applicable) Address: Attach proof of item #3 Phone: email: THIS FORM MUST BE FILED WITH THE CLERK'S OFFICE. YOU MAY ATTACH A ONE PAGE RESUME TO THIS VERIFICATION. Page 1 of 2 LF-50 (rev. 12/01/15) American LegalNet, Inc. www.FormsWorkFlow.com UNITED STATES BANKRUPTCY COURT SOUTHERN DISTRICT OF FLORIDA MEDIATOR'S OATH Each mediator of the United States Bankruptcy Court shall take the following oath or affirmation before performing the duties of his office: "I, do solemnly swear that I will administer justice without respect to persons, and do equal rights to the poor and to the rich, and that I will faithfully and impartially discharge and perform all the duties incumbent upon me as a mediator for the United States Bankruptcy Court, Southern District of Florida, under the Constitution and laws of the United States, so help me God". By: ___________________________ (Signature) ___________________________ (Print Name) SWORN TO AND SUBSCRIBED before me on by . . NOTARY PUBLIC, State of Florida at Large My Commission Expires: Page 2 of 2 LF-50 (rev. 12/01/15) American LegalNet, Inc. www.FormsWorkFlow.com
Related forms
-
Application To Withdraw Unclaimed Funds
Florida/Federal/USBC Southern/ -
Certificate Of Proponent Of Plan On Acceptance Of Plan Report On Amount To Be Deposited
Florida/Federal/USBC Southern/ -
Confirmation Affidavit
Florida/Federal/USBC Southern/ -
Debtor In Possessions Application For Employment Of Attorney
Florida/Federal/USBC Southern/ -
Notice Of Clerks Designation Of Mediator
Florida/Federal/USBC Southern/ -
Notice Of Selection Of Mediator
Florida/Federal/USBC Southern/ -
Order Approving Employment Of Trustees Attorney
Florida/Federal/USBC Southern/ -
Order Converting Case Under Chapter 7 To Case Under Chapter 12
Florida/Federal/USBC Southern/ -
Order Of Referral To Mediation
Florida/Federal/USBC Southern/ -
Order Reopening Case To Add Omitted Creditors
Florida/Federal/USBC Southern/ -
Order Reopening Case To Administer Additional Assets
Florida/Federal/USBC Southern/ -
Report Of Mediator
Florida/Federal/USBC Southern/ -
Application For Compensation For Professional Services Or Reimbursement Of Expenses-Attorney
Florida/Federal/USBC Southern/ -
Claim Of Exemption And Request For Hearing
Florida/Federal/USBC Southern/ -
Debtors Notice Of Filing Payroll And Sales Tax Reports
Florida/Federal/USBC Southern/ -
Notice Of Compliance By Attorney For Debtor-Local Rule 2083-1(B) Claims Review Requirement
Florida/Federal/USBC Southern/ -
Trustees Application For Employment Of Attorney
Florida/Federal/USBC Southern/ -
Writ Of Execution To The United States Marshall
Florida/Federal/USBC Southern/ -
Rights And Responsibilities Agreement
Florida/Federal/USBC Southern/ -
Ballot And Deadline For Filing Ballot Accepting Or Rejecting Plan
Florida/Federal/USBC Southern/ -
Order Establishing Procedures To Permit Monthly Payment Of Interim Fee Applications Of Chapter 11 Professionals
Florida/Federal/USBC Southern/ -
Order Jointly Administering Chapter 11 Cases
Florida/Federal/USBC Southern/ -
Order Jointly Administering Chapter 7 Cases
Florida/Federal/USBC Southern/ -
Debtor Certificate Of Compliance And Request For Confirmation Of Chapter 13 Plan
Florida/Federal/USBC Southern/ -
Pretrial Order In An Adversary Proceeding
Florida/Federal/USBC Southern/ -
Certificate Of Service (Certificate Of Compliance With Local Rule 9073-1(D)) (Sample And Form)
Florida/Federal/USBC Southern/ -
Declaration Regarding Payment Advices
Florida/Federal/USBC Southern/ -
Objection To Claim On Shortened Notice
Florida/Federal/USBC Southern/ -
Objection To Claim
Florida/Federal/USBC Southern/ -
Order Sustaining Objection To Claim
Florida/Federal/USBC Southern/ -
Ch 7 Trustees Motion Dismiss Debtor Failure To Appear 1st Creditors Meeting
Florida/Federal/USBC Southern/ -
Final Report And Motion For Entry Of Final Decree
Florida/Federal/USBC Southern/ -
Trustees Summary Of Requested Fees And Expenses
Florida/Federal/USBC Southern/ -
Affidavit Of Claimant (Sample And Form)
Florida/Federal/USBC Southern/ -
Affidavit Of Proposed Attorney For Debtor In Possession (Sample And Form)
Florida/Federal/USBC Southern/ -
Affidavit Of Proposed Attorney For Trustee (Sample And Form)
Florida/Federal/USBC Southern/ -
Order Granting Ex Parte Motion To Excuse Compliance Under Local Rule 5005-4 (Sample And Form)
Florida/Federal/USBC Southern/ -
Individual Debtor Certificate For Confirmation Re Payment Of Domestic Support - (For Ch11) Filing Of Required Tax
Florida/Federal/USBC Southern/ -
Order Granting Motion To Value And Determining Secured Status Of Lien On Real Property (Sample And Form)
Florida/Federal/USBC Southern/ -
Application For Approval Of Employment Of Auctioneer (Sample And Form)
Florida/Federal/USBC Southern/ -
Chapter 11 Case Management Summary (Sample And Form)
Florida/Federal/USBC Southern/ -
Notice Of Intent To Request Redaction Of Transcript (Sample And Form)
Florida/Federal/USBC Southern/ -
Order Approving Employment Of Auctioneer (Sample And Form)
Florida/Federal/USBC Southern/ -
Motion To Value And Determine Secured Status Of Lien On Personal Property
Florida/Federal/USBC Southern/ -
Order Granting Motion To Value And Determine Secured Status Of Lien On Personal Property
Florida/Federal/USBC Southern/ -
Order Jointly Administering Chapter 15 Cases
Florida/Federal/USBC Southern/ -
Order Reinstating Chapter 13 Case
Florida/Federal/USBC Southern/ -
Motion To Value And Determine Secured Status Of Lien On Real Property
Florida/Federal/USBC Southern/ -
Order Awarding Final Trustee And Professional Fees And Expenses
Florida/Federal/USBC Southern/ -
Order Awarding Final Trustees Fees And Expenses
Florida/Federal/USBC Southern/ -
Debtors Certificate Compliance Motion Discharge Pre Plan Completion Objection Deadline
Florida/Federal/USBC Southern/ -
Order Determining Debtor Has Cured Default Paid All Required Postpetition Amounts
Florida/Federal/USBC Southern/ -
Summary Of Fee Application Of Counsel Or Accountant
Florida/Federal/USBC Southern/ -
Ex Parte Motion To Approve Mortgage Modification Agreement With (Lender)
Florida/Federal/USBC Southern/ -
Order Granting Motion To Approve Mortgage Modification Agreement With (Lender)
Florida/Federal/USBC Southern/ -
Ex Parte Motion To Excuse Compliance Under Local Rule 5005-4(B) (Sample And Form)
Florida/Federal/USBC Southern/ -
Debtors Notice Of Compliance With Requirements For Amending Creditor Information
Florida/Federal/USBC Southern/ -
Final Report Of Mortgage Modification Mediator
Florida/Federal/USBC Southern/ -
Notice Of Clerks Designation Of Mortgage Modification Mediator
Florida/Federal/USBC Southern/ -
Lenders Consent To Attend And Participate In Mortgage Modification Mediation
Florida/Federal/USBC Southern/ -
Self-Represented Debtors Motion To Approve Mortgage Modification Agreement With (Lender)
Florida/Federal/USBC Southern/ -
Third Partys Consent To Attend And Participate In Mortgage Modification Mediation
Florida/Federal/USBC Southern/ -
Debtors Notice Of Selection Of Mortgage Modification Mediator
Florida/Federal/USBC Southern/ -
Request For Copies Of Archived Case Files (NARA)
Florida/Federal/USBC Southern/ -
Order Approving Employment Of Debtor In Possessions Attorney
Florida/Federal/USBC Southern/ -
Notice Of Deposit Of Funds With US Bankruptcy Court Clerk
Florida/Federal/USBC Southern/ -
Order Converting Case Under Chapter 7 To Chapter 11
Florida/Federal/USBC Southern/ -
Certificate Of Subchapter V Debtor Acceptance Of Plan Report On Deposit
Florida/4 Federal/USBC Southern/ -
Confirmation Affidavit For Subchapter V Debtor
Florida/4 Federal/USBC Southern/ -
Debtors Request To Receive Notices Electronically Under DeBN Program
Florida/4 Federal/USBC Southern/ -
Agreed Ex Parte Motion To Abate 3002.1 Notices And Reconcile Annually
Florida/4 Federal/USBC Southern/ -
Joint Pretrial Stipulation
Florida/4 Federal/USBC Southern/ -
Notice Of Substitution Of Counsel
Florida/4 Federal/USBC Southern/ -
Motion For Discharge Notice Of Deadline To Object (Deceased Debtor)
Florida/4 Federal/USBC Southern/ -
Order Granting Agreed Ex Parte Motion To Abate 3002.1 Notices
Florida/4 Federal/USBC Southern/ -
Attorney-Represented Debtors Ex Parte Motion Referral To Mortgage Mod Mediation
Florida/Federal/USBC Southern/ -
Attorney-Represented Debtors Verified Out Of Time Motion For Referral To MMM
Florida/Federal/USBC Southern/ -
Verification Of Qualification To Act As Mediator
Florida/Federal/USBC Southern/ -
Debtors Response To 3002.1 Notice In Relation To Claim
Florida/4 Federal/USBC Southern/ -
Application For Individuals To Pay The Filing Fee In Installments
Florida/4 Federal/USBC Southern/ -
Subpoena For Rule 2004 Examination
Florida/Federal/USBC Southern/ -
Notice Of Rule 2004 Examination
Florida/Federal/USBC Southern/ -
Acknowledgment Of Responsibility Live Access CM-ECF Full Attorney Privileges
Florida/Federal/USBC Southern/ -
Acknowledgment Of Responsibility Live Access CM-ECF Trustee-US Trustee Privileges
Florida/Federal/USBC Southern/ -
Notice Regarding Opposing Motions For Summary Judgment
Florida/Federal/USBC Southern/ -
Debtors Certificate Compliance Motion Discharge Objection Deadline Cases Filed 040122 On
Florida/Federal/USBC Southern/ -
Debtors Certificate Compliance-Motion Discharge-Deadline Objection (Cases Filed 040119 On)
Florida/Federal/USBC Southern/ -
Debtors Certificate Compliance-Motion Discharge-Deadline Objection (Cases Filed 040122 On)
Florida/Federal/USBC Southern/ -
Order Setting Filing And Disclosure Requirements For Pretrial And Trial
Florida/4 Federal/USBC Southern/ -
Order Approving Disclosure Statement Setting Hearings And Deadlines Describing Obligations
Florida/Federal/USBC Southern/ -
Motion To Appear Pro Hac Vice
Florida/Federal/USBC Southern/ -
Order Conditionally Approving Disclosure Statement Setting Hearing On Chap 11 Plan
Florida/Federal/USBC Southern/ -
Acknowledgment Of Responsibility Live Access To CM-ECF Limited Privileges
Florida/Federal/USBC Southern/ -
Affidavit Of Auctioneer (Sample And Form)
Florida/Federal/USBC Southern/ -
Order Of Dismissal (Adversary Proceeding Pursuant To Settlement)
Florida/Federal/USBC Southern/ -
Order Setting Evidentiary Hearing Chapter 13 (Deadlines) (Short Form) (Judge Isicoff)
Florida/Federal/USBC Southern/ -
Order Setting Requirements For Evidentiary Hearing Chapter 13 (Long Form) (Judge Isicoff)
Florida/Federal/USBC Southern/ -
Order Denying Approval Of Reaffirmation Agreement (Judge Isicoff)
Florida/Federal/USBC Southern/ -
Order Approving Reaffirmation Agreement (After Hearing) (Judge Isicoff)
Florida/Federal/USBC Southern/ -
Exhibit Register
Florida/Federal/USBC Southern/ -
Application For Search Of Bankruptcy Records
Florida/Federal/USBC Southern/ -
Archives Request Form
Florida/Federal/USBC Southern/ -
Order Admitting Attorney Pro Hac Vice
Florida/Federal/USBC Southern/ -
Order For Payment Of Unclaimed Funds
Florida/Federal/USBC Southern/ -
Order Granting Self-Represented Debtors Verified Motion For Referral To MMM
Florida/Federal/USBC Southern/ -
Order Reinstating Chapter 7 Case
Florida/Federal/USBC Southern/ -
Order Setting Hearing Approval Of Disclosure Statement Confirmation Of Ch 11 Plan
Florida/Federal/USBC Southern/ -
Order Setting Hearing Confirmation Of Plan Deadline For Filing Objections
Florida/4 Federal/USBC Southern/ -
Order Setting Hearing On Approval Of Disclosure Statement-Deadline For Filing Objections
Florida/Federal/USBC Southern/ -
Order Setting Hearing On Confirmation Of Plan Setting Deadline For Filing Objections (Sample And Form)
Florida/Federal/USBC Southern/ -
Self-Represented Debtors Verified Motion Referral To Mortgage Modification Mediation
Florida/Federal/USBC Southern/ -
Cover Sheet Items Conventionally Submitted Sealing Or In Camera Review (LF-72)
Florida/Federal/USBC Southern/ -
Order Granting Attorney-Represented Debtors Out Of Time Motion Referral To MMM
Florida/Federal/USBC Southern/ -
Order Granting Debtors Verified Ex Parte Motion For Referral To MMM
Florida/Federal/USBC Southern/ -
Transcript Request Form
Florida/Federal/USBC Southern/ -
Agreed Order To Employer To Deduct And Remit And For Related Matters
Florida/Federal/USBC Southern/ -
Bill Of Costs
Florida/Federal/USBC Southern/ -
Debtors Certificate Of Compliance Motion Issuance Of Discharge Filed On Or After 412025
Florida/Federal/USBC Southern/ -
Notice Of Deadline To Object To Debtors Statement Re 11 USC 522(q)(1)
Florida/Federal/USBC Southern/ -
Order Converting Case Under Chapter 11 To Case Under Chapter 7
Florida/Federal/USBC Southern/ -
Order Converting Case Under Chapter 13 To Chapter 11
Florida/Federal/USBC Southern/ -
Order Converting Case Under Chapter 13 To Case Under Chapter 7
Florida/Federal/USBC Southern/ -
Order Converting Case Under Chapter 7 To Case Under Chapter 13 (After Hearing)
Florida/Federal/USBC Southern/ -
Order Converting Case Under Chapter 7 To Case Under Chapter 13 (Negative Notice)
Florida/Federal/USBC Southern/ -
Request For Compact Disc (CD) Of Audio Recording Of Court Proceeding
Florida/4 Federal/USBC Southern/
Form Preview
Contact Us
Success: Your message was sent.
Thank you!




