Last updated: 3/29/2013
5(b). Model Form of Verdict for Emergency Medical Treatment - FS 768.13(2)(b) Issue
Start Your Free Trial $ 5.99What you get:
- Instant access to fillable Microsoft Word or PDF forms.
- Minimize the risk of using outdated forms and eliminate rejected fillings.
- Largest forms database in the USA with more than 80,000 federal, state and agency forms.
- Download, edit, auto-fill multiple forms at once in MS Word using our Forms Workflow Ribbon
- Trusted by 1,000s of Attorneys and Legal Professionals
Description
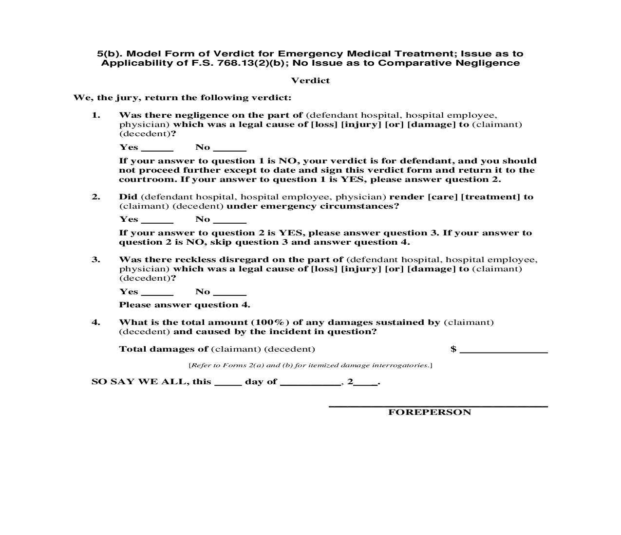
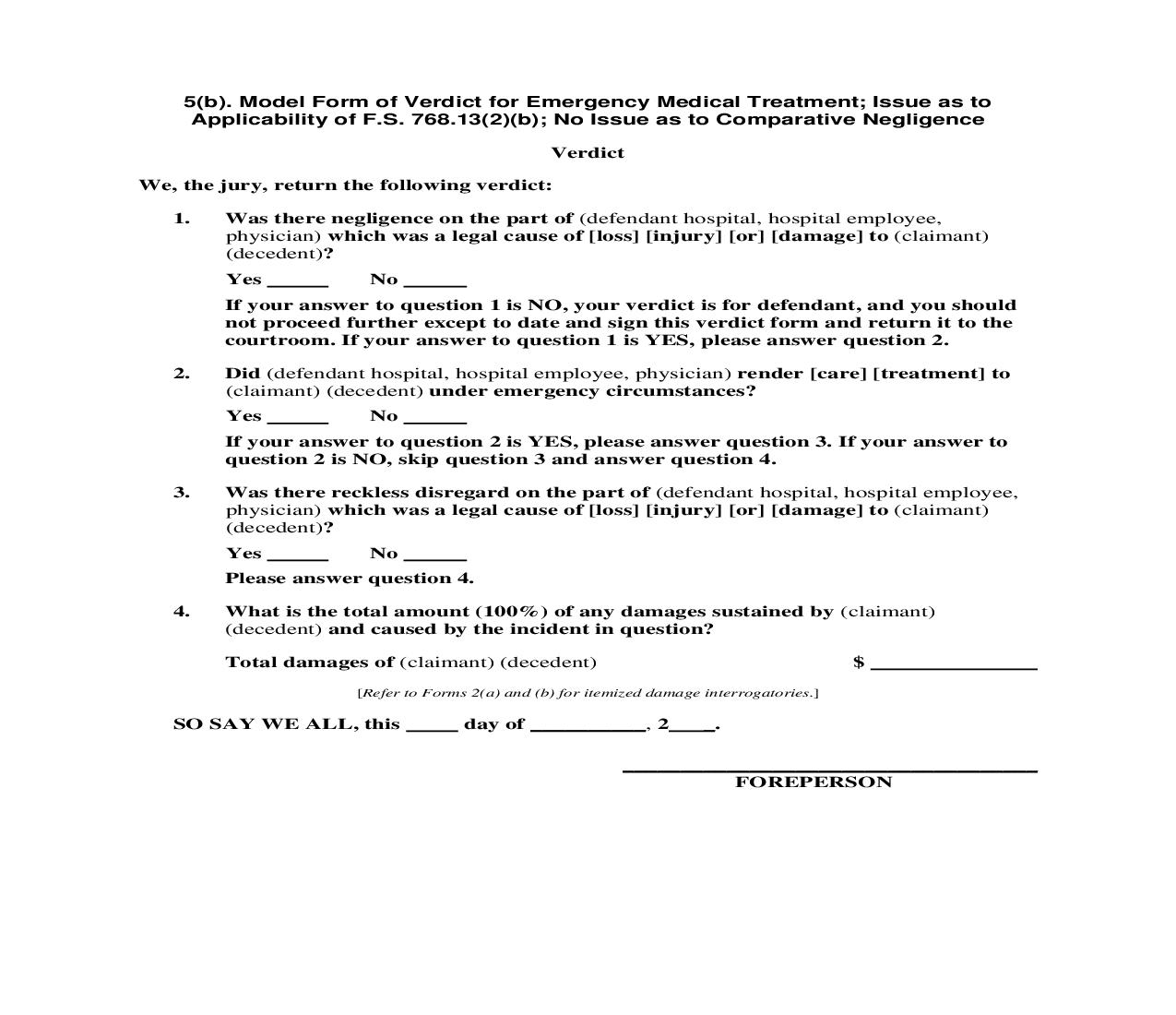
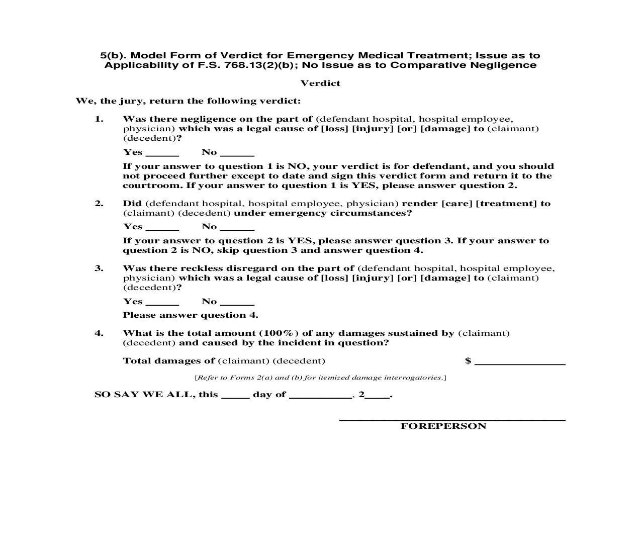
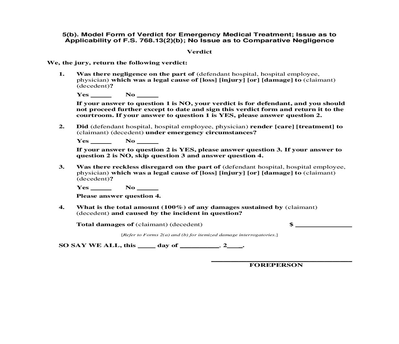
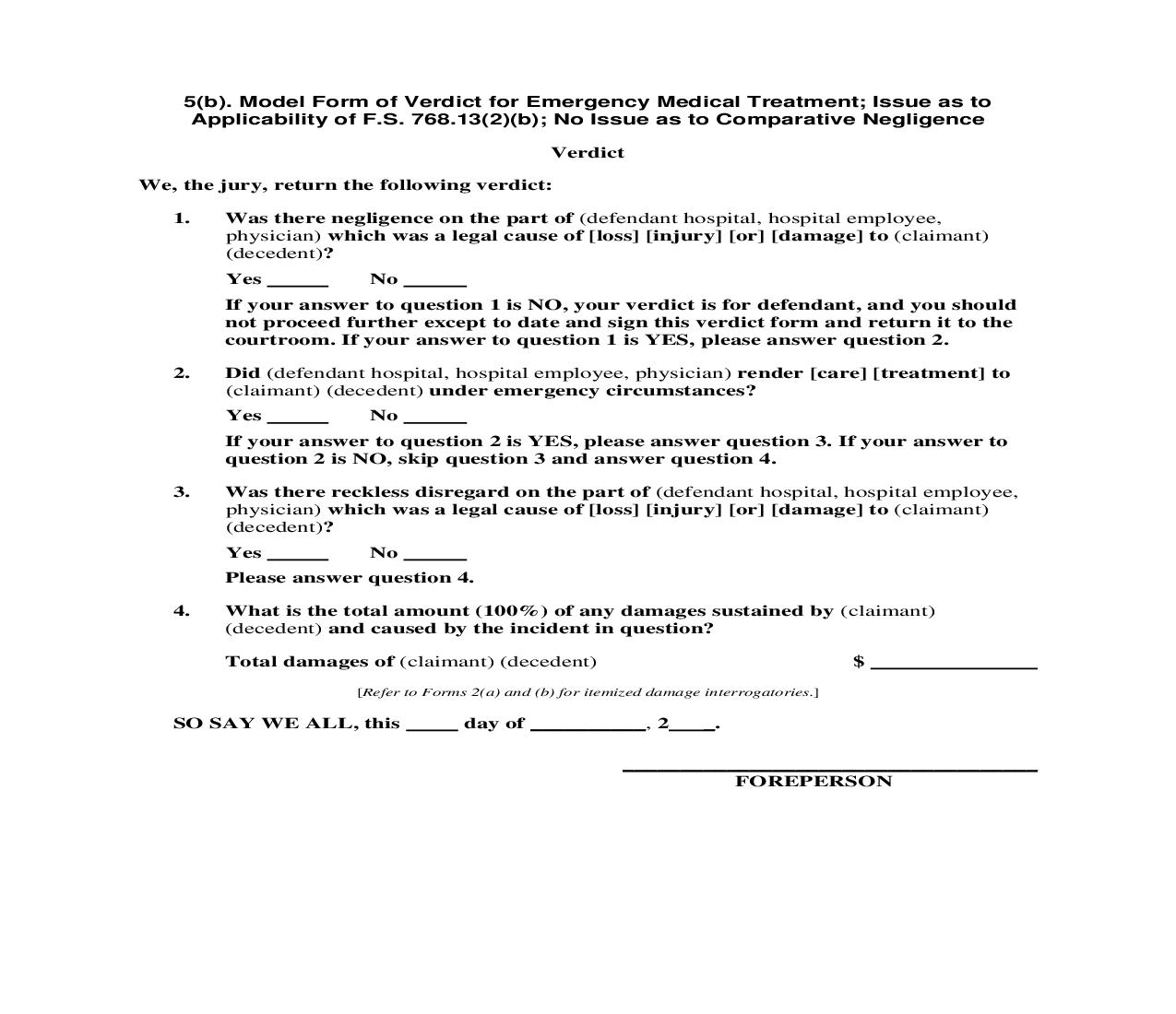
5(b). Model Form of Verdict for Emergency Medical Treatment; Issue as to Applicability of F.S. 768.13(2)(b); No Issue as to Comparative Negligence Verdict We, the jury, return the following verdict: 1. Was there negligence on the part of (defendant hospital, hospital employee, physician) which was a legal cause of [loss] [injury] [or] [damage] to (claimant) (decedent)? Yes No If your answer to question 1 is NO, your verdict is for defendant, and you should not proceed further except to date and sign this verdict form and return it to the courtroom. If your answer to question 1 is YES, please answer question 2. 2. Did (defendant hospital, hospital employee, physician) render [care] [treatment] to (claimant) (decedent) under emergency circumstances? Yes No If your answer to question 2 is YES, please answer question 3. If your answer to question 2 is NO, skip question 3 and answer question 4. 3. Was there reckless disregard on the part of (defendant hospital, hospital employee, physician) which was a legal cause of [loss] [injury] [or] [damage] to (claimant) (decedent)? Yes No Please answer question 4. 4. What is the total amount (100%) of any damages sustained by (claimant) (decedent) and caused by the incident in question? Total damages of (claimant) (decedent) [Refer to Forms 2(a) and (b) for itemized damage interrogatories.] $ SO SAY WE ALL, this day of __________, 2 _. ____________________________________ FOREPERSON





