Last updated: 1/3/2007
Endorsement On Search Warrant Application {Rule 2.36 Form 3}
Start Your Free Trial $ 13.99What you get:
- Instant access to fillable Microsoft Word or PDF forms.
- Minimize the risk of using outdated forms and eliminate rejected fillings.
- Largest forms database in the USA with more than 80,000 federal, state and agency forms.
- Download, edit, auto-fill multiple forms at once in MS Word using our Forms Workflow Ribbon
- Trusted by 1,000s of Attorneys and Legal Professionals
Description
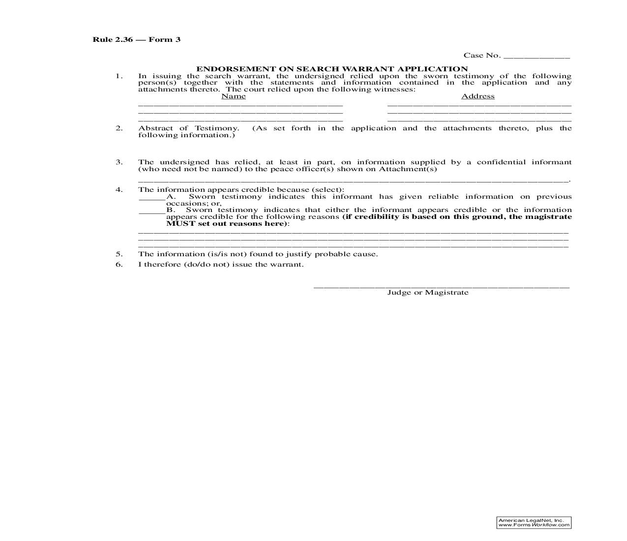
Rule 2.36 -- Form 3 Case No. _____________ February 2002 1. 2. ENDORSEMENT ON SEARCH WARRANT APPLICATION In issuing the search warrant, the undersigned relied upon the sworn testimony of the following person(s) together with the statements and information contained in the application and any attachments thereto. The court relied upon the following witnesses: Name Address ________________________________________ ____________________________________ ________________________________________ ____________________________________ ________________________________________ ____________________________________ Abstract of Testimony. (As set forth in the application and the attachments thereto, plus the following information.) 3. 4. 5. 6. The undersigned has relied, at least in part, on information supplied by a confidential informant (who need not be named) to the peace officer(s) shown on Attachment(s) ____________________________________________________________________________________. The information appears credible because (select): A. Sworn testimony indicates this informant has given reliable information on previous occasions; or, B. Sworn testimony indicates that either the informant appears credible or the information appears credible for the following reasons (if credibility is based on this ground, the magistrate MUST set out reasons here): ____________________________________________________________________________________ ____________________________________________________________________________________ ____________________________________________________________________________________ The information (is/is not) found to justify probable cause. I therefore (do/do not) issue the warrant. __________________________________________________ Judge or Magistrate American LegalNet, Inc. www.FormsWorkflow.com





