California
Judicial Council
Summons
Last updated: 5/29/2015
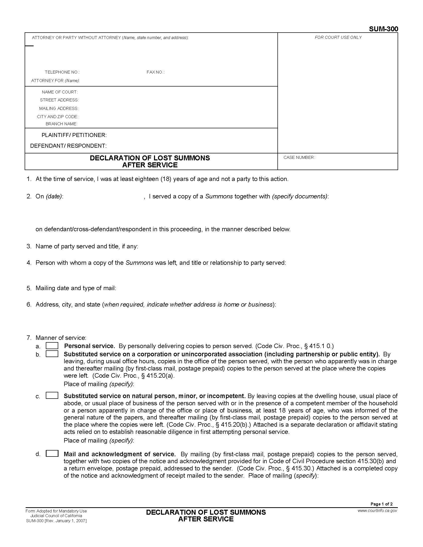
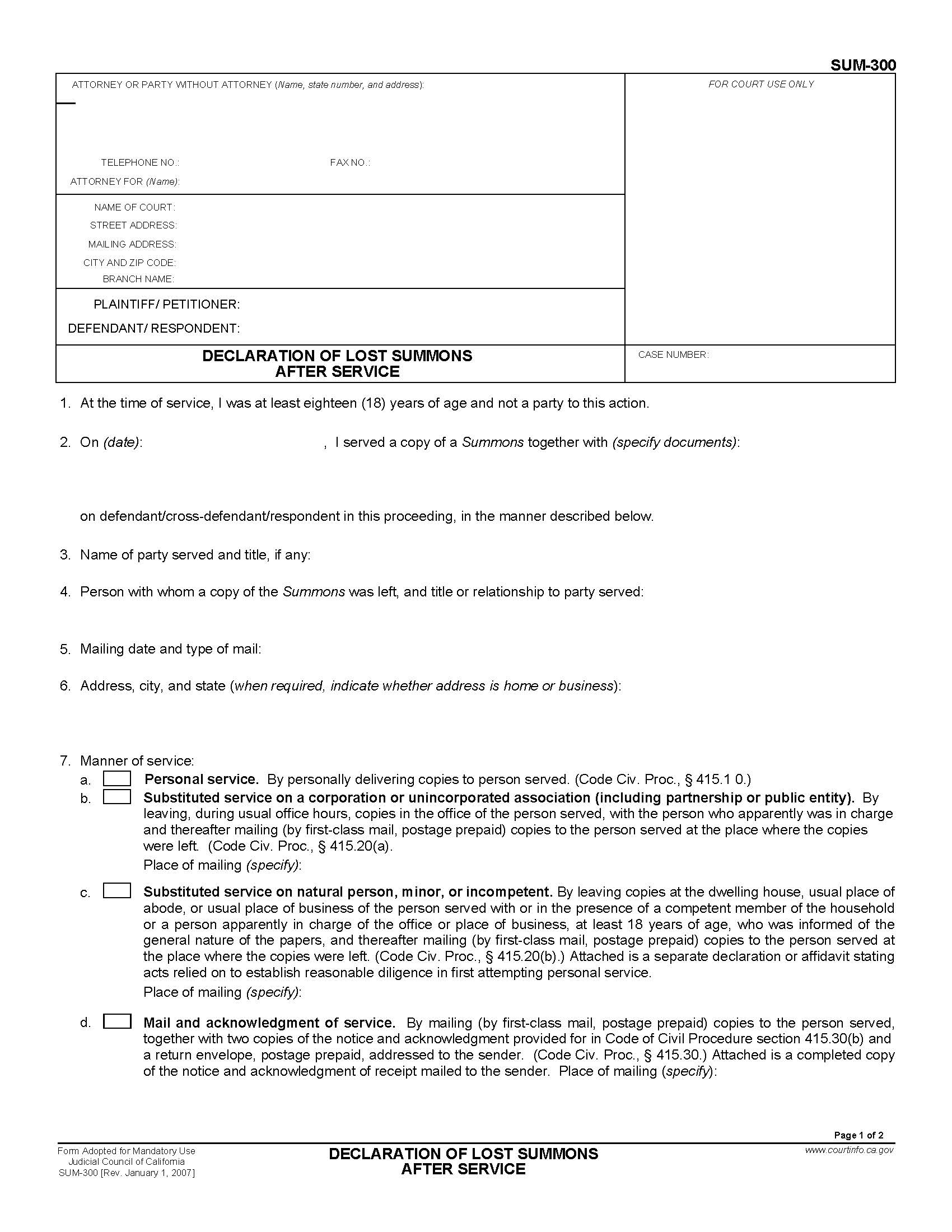
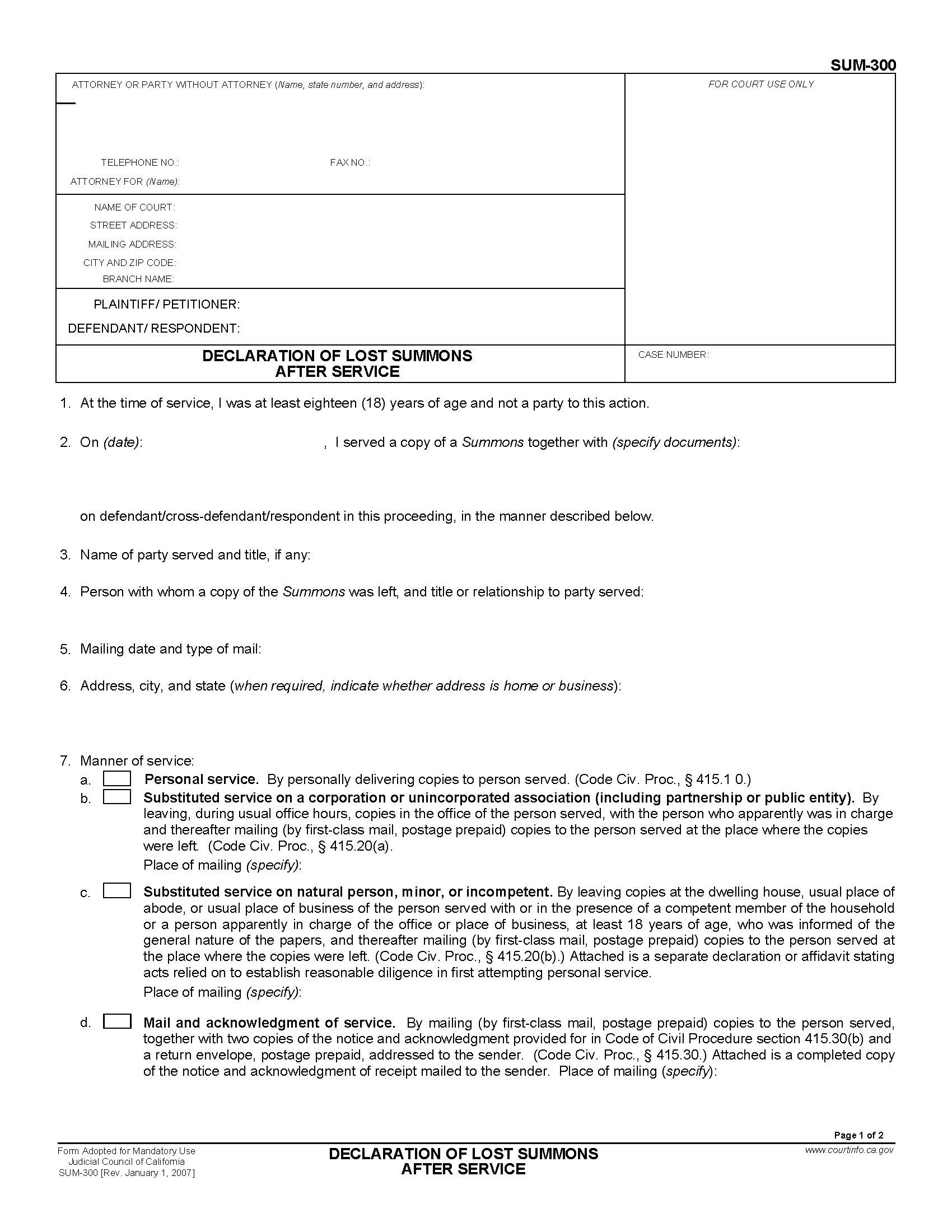
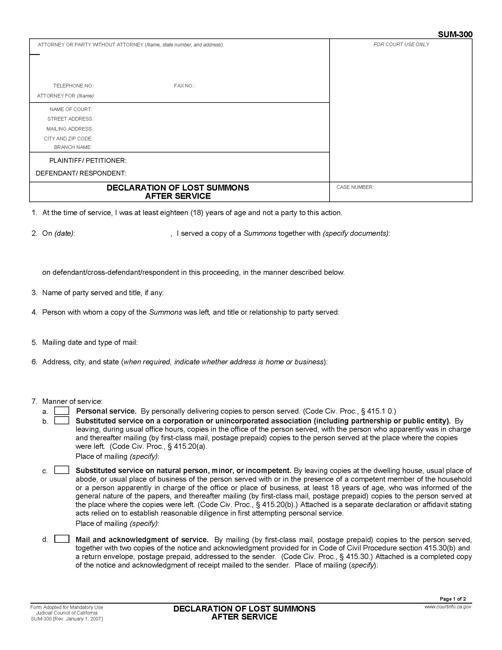
Declaration Of Lost Summons After Service {SUM-300}
Start Your Free Trial $ 12.99What you get:
- Instant access to fillable Microsoft Word or PDF forms.
- Minimize the risk of using outdated forms and eliminate rejected fillings.
- Largest forms database in the USA with more than 80,000 federal, state and agency forms.
- Download, edit, auto-fill multiple forms at once in MS Word using our Forms Workflow Ribbon
- Trusted by 1,000s of Attorneys and Legal Professionals
Description
SUM-300, DECLARATION OF LOST SUMMONS AFTER SERVICE, this form is used to tell the court that you had a copy of the summons delivered to (served on) the other party and that you are returning this form to the court instead of the original summons. Form Adopted for Mandatory Use, Judicial Council of California, SUM-300 [Rev. January 1, 2007] www.FormsWorkflow.com
Related forms
Our Products





