Last updated: 7/3/2006
Victims Designation Of Receiver For Defendants HIV Or AIDS Test Results {JD-CR-140}
Start Your Free Trial $ 13.99What you get:
- Instant access to fillable Microsoft Word or PDF forms.
- Minimize the risk of using outdated forms and eliminate rejected fillings.
- Largest forms database in the USA with more than 80,000 federal, state and agency forms.
- Download, edit, auto-fill multiple forms at once in MS Word using our Forms Workflow Ribbon
- Trusted by 1,000s of Attorneys and Legal Professionals
Description
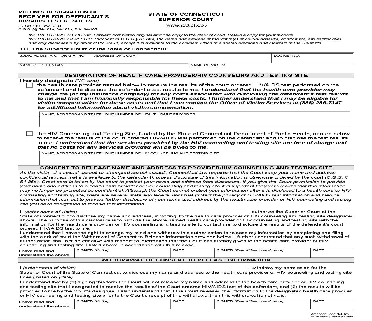
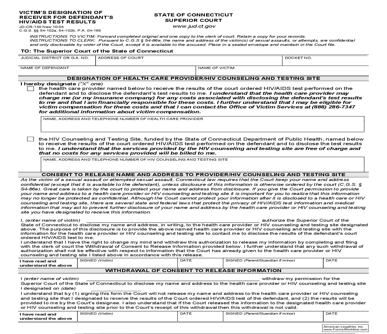
VICTIM'S DESIGNATION OF RECEIVER FOR DEFENDANT'S HIV/AIDS TEST RESULTS JD-CR-140 New 10-04 C.G.S. §§ 54-102a, 54-102b, P.A. 04-165 STATE OF CONNECTICUT SUPERIOR COURT www.jud.state.ct.us INSTRUCTIONS TO VICTIM: Forward completed original and one copy to the clerk of court. Retain a copy for your records. INSTRUCTIONS TO CLERK: Pursuant to C.G.S § 54-86e, the name and address of the victim(s) of sexual assaults, or attempts, are confidential and only disclosable by order of the Court, except it is available to the accused. Place in a sealed envelope and maintain in the Court file. TO: The Superior Court of the State of Connecticut JUDICIAL DISTRICT OR G.A. NO. NAME OF DEFENDANT ADDRESS OF COURT NAME OF VICTIM DOCKET NO. DESIGNATION OF HEALTH CARE PROVIDER/HIV COUNSELING AND TESTING SITE I hereby designate ("X" one) the health care provider named below to receive the results of the court ordered HIV/AIDS test performed on the defendant and to disclose the defendant's test results to me. I understand that the health care provider may charge me (or my insurance company) for any costs associated with disclosing the defendant's test results to me and that I am financially responsible for these costs. I further understand that I may be eligible for victim compensation for these costs and that I can contact the Office of Victim Services at (888) 286-7347 for additional information about victim compensation. NAME, ADDRESS AND TELEPHONE NUMBER OF HEALTH CARE PROVIDER the HIV Counseling and Testing Site, funded by the State of Connecticut Department of Public Health, named below to receive the results of the court ordered HIV/AIDS test performed on the defendant and to disclose the test results to me. I understand that the services provided by the HIV counseling and testing site are free of charge and that no costs for any services provided will be billed to me. NAME, ADDRESS AND TELEPHONE NUMBER OF HIV COUNSELING AND TESTING SITE CONSENT TO RELEASE NAME AND ADDRESS TO PROVIDER/HIV COUNSELING AND TESTING SITE As the victim of a sexual assault or attempted sexual assault, Connecticut law requires that the Court keep your name and address confidential (except that it is available to the defendant), unless disclosure of this information is otherwise ordered by the court (C.G.S. § 54-86e). Great care is taken by the court to protect your name and address from disclosure. If you give the Court permission to provide your name and address to a health care provider or HIV counseling and testing site it is important for you to realize that this information may no longer be protected as confidential. Although the Court cannot protect your information after it is disclosed to a health care or HIV counseling and testing site, there are several state and federal laws that protect the privacy of HIV/AIDS test information and medical information that may act to prevent further disclosure of your name and address by the health care provider or HIV counseling and testing site you have designated to receive this information. authorize the Superior Court of the I, (enter name of victim) State of Connecticut to disclose my name and address, in writing, to the health care provider or HIV counseling and testing site designated above. The purpose of this disclosure is to provide the above named health care provider or HIV counseling and testing site with the information for the health care provider or HIV counseling and testing site to contact me to disclose the results of the defendant's court ordered HIV/AIDS test to me. I understand that I have the right to change my mind and withdraw this authorization to release my information by completing and filing with the clerk of court the Withdrawal of Consent to Release Information provided below. I further understand that any such withdrawal of authorization shall not be effective with respect to information that the Court has already given to the health care provider or HIV counseling and testing site I listed above in accordance with this release. I have read and understand the above SIGNED (Victim) DATE SIGNED (Parent/Guardian if minor) DATE WITHDRAWAL OF CONSENT TO RELEASE INFORMATION I (enter name of victim) withdraw my permission for the Superior Court of the State of Connecticut to disclose my name and address to the health care provider or HIV counseling and testing site I designated on (date) I understand that by (1) signing this form the Court will not release my name and address to the health care provider or HIV counseling and testing site that I designated to receive the results of the Court ordered HIV/AIDS test of the defendant, and (2) the results will be provided to me by the Court's designee. I also understand that if the Court released the information to the designated health care provider or HIV counseling and testing site prior to the Court's receipt of this withdrawal then this withdrawal is not valid. I have read and understand the above SIGNED (Victim) DATE SIGNED (Parent/Guardian if minor) DATE American LegalNet, Inc. www.USCourtForms.com





