Last updated: 5/25/2006
Facing Page-Uniform Franchise Registration Application {A}
Start Your Free Trial $ 13.99What you get:
- Instant access to fillable Microsoft Word or PDF forms.
- Minimize the risk of using outdated forms and eliminate rejected fillings.
- Largest forms database in the USA with more than 80,000 federal, state and agency forms.
- Download, edit, auto-fill multiple forms at once in MS Word using our Forms Workflow Ribbon
- Trusted by 1,000s of Attorneys and Legal Professionals
Description
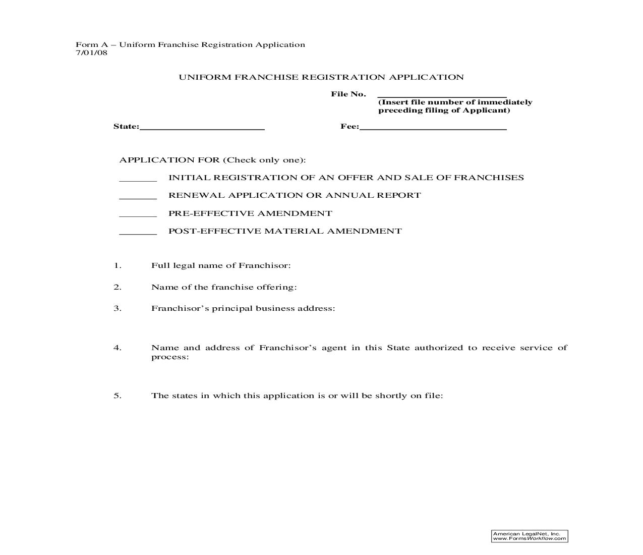
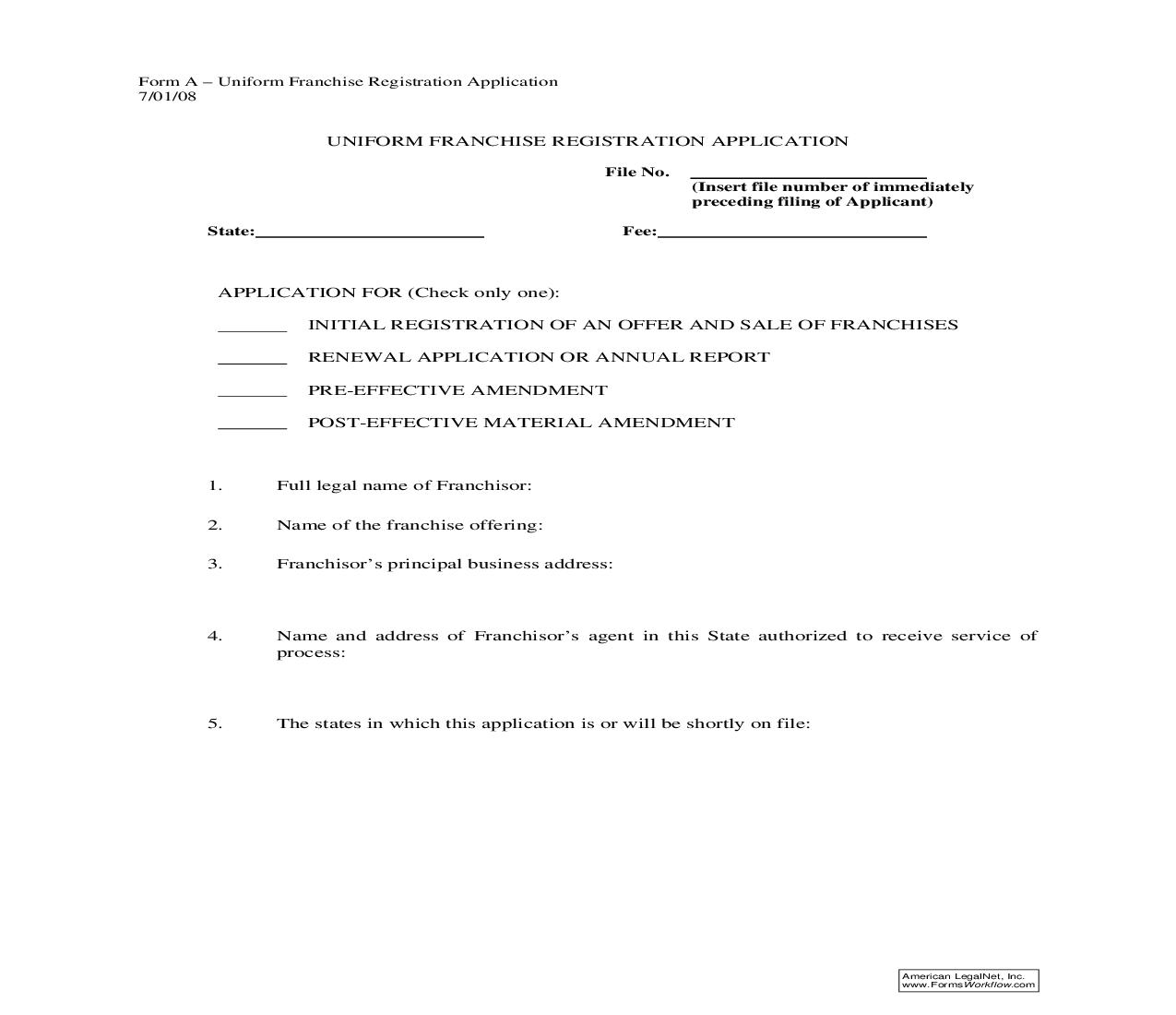
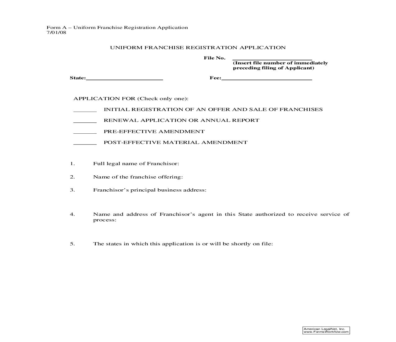
Form A - Facing Page 7/1/95 UNIFORM FRANCHISE REGISTRATION APPLICATION (Insert file number of previous filings of Applicant) _______ FEE: _____________ (Enclosed when application is initially filed) APPLICATION FOR (Check only one): _____ REGISTRATION OF AN OFFER AND SALE OF FRANCHISES _____ REGISTRATION RENEWAL STATEMENT OR ANNUAL REPORT AMENDMENT NUMBER ____TO APPLICATION FILED UNDER SECTION __________ DATED _____________________ _____ POST-EFFECTIVE _____ PRE-EFFECTIVE 1. Name of Franchisor. (If applicant is subfranchisor, the name of the subfranchisor.) Name under which the Franchisor is doing or intends to do business. 2. Franchisor's principal business address. Name and address of Franchisor's agent in the State of (Name of State) authorized to receive process. 3. Name, address and telephone number of subfranchisors, if any, for this state. 4. Name, address and telephone number of person to whom communications regarding this application should be directed. American LegalNet, Inc. www.USCourtForms.com
Related forms
-
Affidavit For Waiver Of Examination
Virginia/Secretary Of State/Blue Sky/Securities And Franchising/ -
Affidavit Of Compliance-Franchise Amendment Renewal
Virginia/Secretary Of State/Blue Sky/Securities And Franchising/ -
Affidavit Regarding Offers Of SCOR Securities By Issuer-Agents
Virginia/Secretary Of State/Blue Sky/Securities And Franchising/ -
Agents To Be Canceled (Records Clear)
Virginia/Secretary Of State/Blue Sky/Securities And Franchising/ -
Agents To Be Canceled (Without Clear Records)
Virginia/Secretary Of State/Blue Sky/Securities And Franchising/ -
Agents To Be Renewed
Virginia/Secretary Of State/Blue Sky/Securities And Franchising/ -
Application For Coordinated Review Of Franchise Registration
Virginia/Secretary Of State/Blue Sky/Securities And Franchising/ -
Application For Renewal Of A Broker-Dealers Registration
Virginia/Secretary Of State/Blue Sky/Securities And Franchising/ -
Application For Renewal Of Registration As An Agent Of An Issuer
Virginia/Secretary Of State/Blue Sky/Securities And Franchising/ -
Broker Dealers Surety Bond
Virginia/Secretary Of State/Blue Sky/Securities And Franchising/ -
Escrow Agreement
Virginia/Secretary Of State/Blue Sky/Securities And Franchising/ -
Franchisors Surety Bond
Virginia/Secretary Of State/Blue Sky/Securities And Franchising/ -
Guarantee Of Performance-Franchise
Virginia/Secretary Of State/Blue Sky/Securities And Franchising/ -
Impounding Agreement
Virginia/Secretary Of State/Blue Sky/Securities And Franchising/ -
Investment Adviser Representative Multiple Employment Agreement
Virginia/Secretary Of State/Blue Sky/Securities And Franchising/ -
Investment Advisors Surety Bond
Virginia/Secretary Of State/Blue Sky/Securities And Franchising/ -
Model Accredited Investor Exemption Uniform Notice Of Transaction
Virginia/Secretary Of State/Blue Sky/Securities And Franchising/ -
Notice Of Limited Offering Of Securities
Virginia/Secretary Of State/Blue Sky/Securities And Franchising/ -
Registration By Notification (Non-Issuer Distribution)
Virginia/Secretary Of State/Blue Sky/Securities And Franchising/ -
Registration By Notification (Non-Issuer Distribution-Secondary Trading)
Virginia/Secretary Of State/Blue Sky/Securities And Franchising/ -
Registration By Notification (Original Issue)
Virginia/Secretary Of State/Blue Sky/Securities And Franchising/ -
Registration By Qualification
Virginia/Secretary Of State/Blue Sky/Securities And Franchising/ -
Uniform Investment Company Notice Filing
Virginia/Secretary Of State/Blue Sky/Securities And Franchising/ -
Application For Coordinated State Review (CR-EQUITY-1)
Virginia/Secretary Of State/Blue Sky/Securities And Franchising/ -
Facing Page-Uniform Franchise Registration Application
Virginia/Secretary Of State/Blue Sky/Securities And Franchising/ -
Uniform Franchise Consent To Service Of Process
Virginia/Secretary Of State/Blue Sky/Securities And Franchising/ -
Franchisors Costs And Sources Of Funds
Virginia/Secretary Of State/Blue Sky/Securities And Franchising/ -
Agent Multiple Employment Agreement
Virginia/Secretary Of State/Blue Sky/Securities And Franchising/ -
Escrow Agreement
Virginia/Secretary Of State/Blue Sky/Securities And Franchising/ -
Notice Of Claim Exemption
Virginia/Secretary Of State/Blue Sky/Securities And Franchising/ -
Intrastate Crowdfunding Exemption
Virginia/4 Secretary Of State/Blue Sky/Securities And Franchising/
Form Preview
Contact Us
Success: Your message was sent.
Thank you!




