California
Judicial Council
Alternative Dispute Resolution
Last updated: 5/30/2015
Stipulation Or Motion For Order Appointing Referee (Alternative Dispute Resolution) {ADR-109}
Start Your Free Trial $ 11.99What you get:
- Instant access to fillable Microsoft Word or PDF forms.
- Minimize the risk of using outdated forms and eliminate rejected fillings.
- Largest forms database in the USA with more than 80,000 federal, state and agency forms.
- Download, edit, auto-fill multiple forms at once in MS Word using our Forms Workflow Ribbon
- Trusted by 1,000s of Attorneys and Legal Professionals
Description
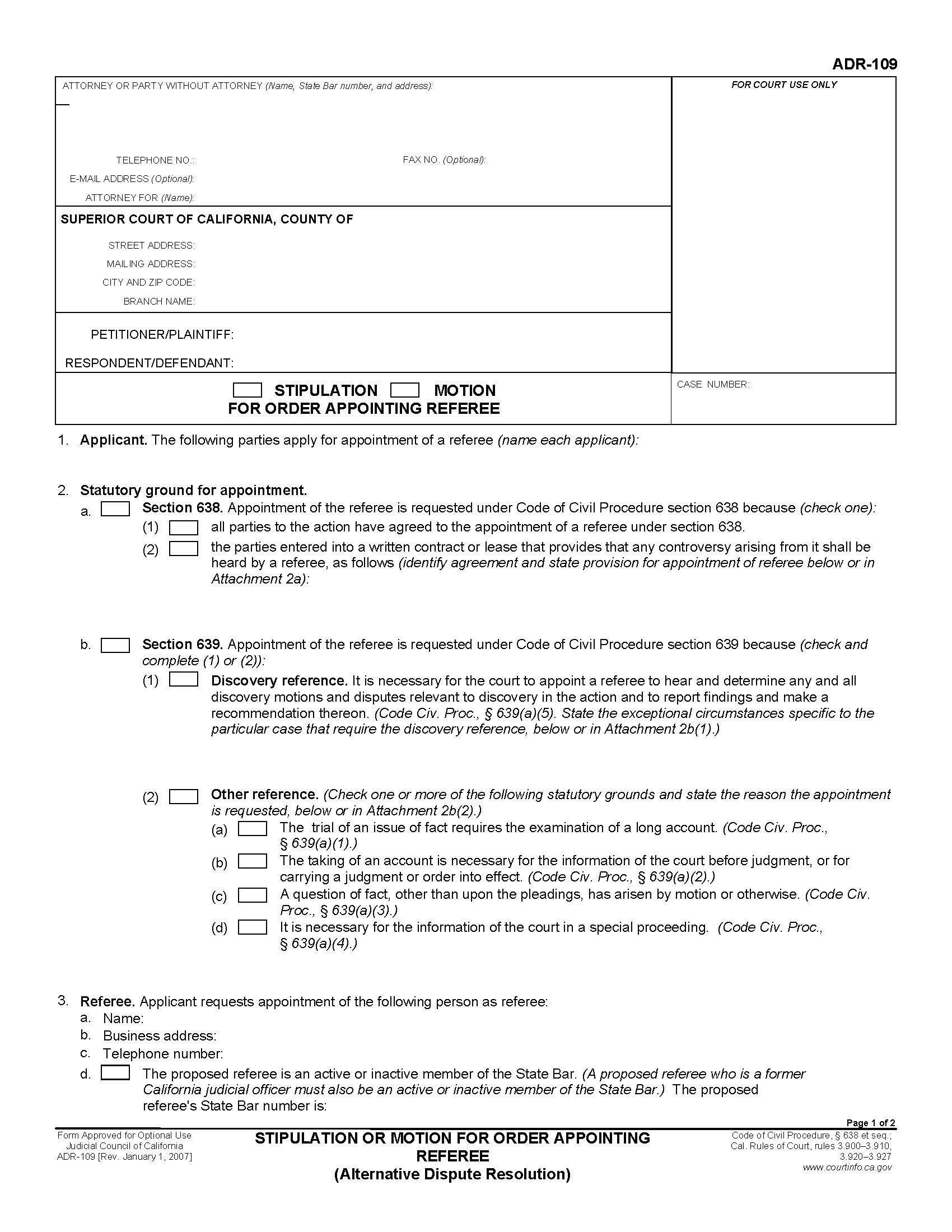
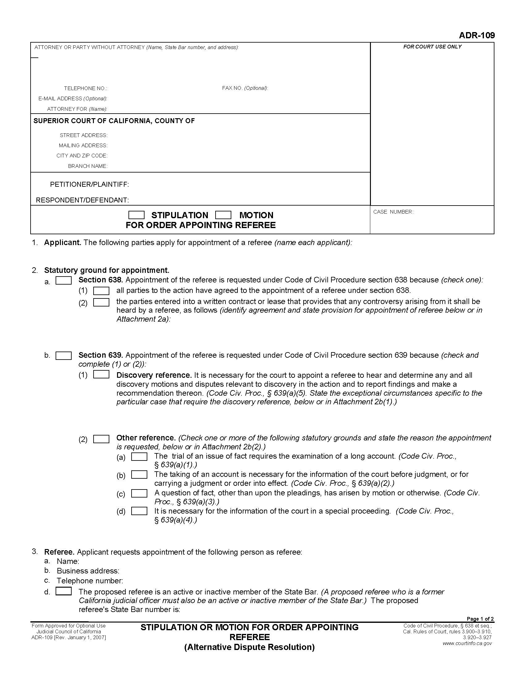
ADR-109, STIPULATION OR MOTION FOR ORDER APPOINTING REFEREE (Alternative Dispute Resolution), this form is used to ask the court to appoint a referee (a person other than the judge who will make decisions or recommendations to the court about all or some of the issues in your case). Form Approved for Optional Use, Judicial Council of California, ADR-109 [Rev. January 1, 2007] Code of Civil Procedure, § 638 et seq.; Cal. Rules of Court, rules 3.900–3.910, 3.920–3.927 www.FormsWorkflow.com
Related forms
Our Products





