Last updated: 2/28/2006
20.5. Welfare Fraud - Change In Circumstances
Start Your Free Trial $ 13.99What you get:
- Instant access to fillable Microsoft Word or PDF forms.
- Minimize the risk of using outdated forms and eliminate rejected fillings.
- Largest forms database in the USA with more than 80,000 federal, state and agency forms.
- Download, edit, auto-fill multiple forms at once in MS Word using our Forms Workflow Ribbon
- Trusted by 1,000s of Attorneys and Legal Professionals
Description
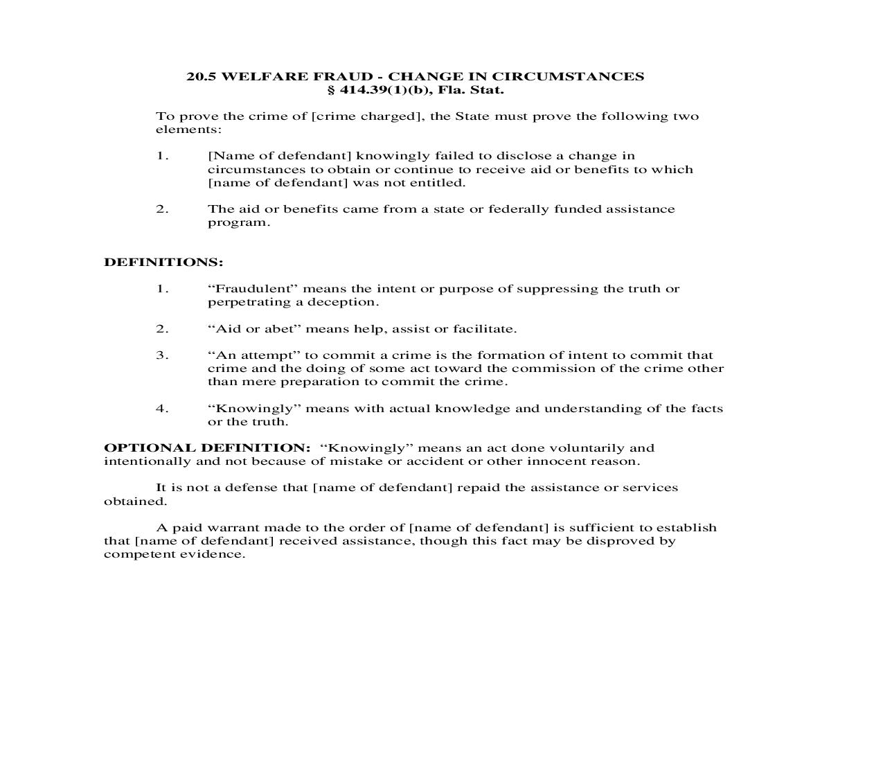
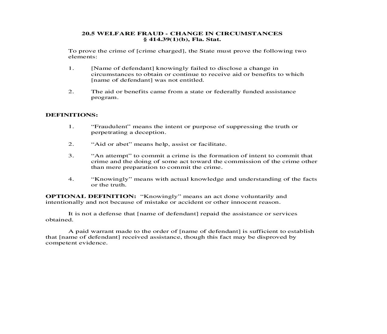
20.5 WELFARE FRAUD - CHANGE IN CIRCUMSTANCES 414.39(1)(b), Fla. Stat. To prove the crime of [crime charged], the State must prove the following two elements: 1. [Name of defendant] knowingly failed to disclose a change in circum receive aid or benefits to which stances to obtain or continue to [name of defendant] was not entitled. 2. The aid or benefits came fromstate or federally funded assistance a program. DEFINITIONS: 1. Fraudulent m purpose of suppressing the truth or eans the intent or perpetrating a deception. 2. Aid or abet means help, assist or facilitate. 3. An attempt to commit a crime is the formation of intent to commit that crime and the doing of some act toward the commission of the crime other than mere preparation to commit the crime. 4. Knowingly means with actual knowledge and understanding of the facts or the truth. OPTIONAL DEFINITION: Knowingly means an act done voluntarily and intentionally and not because of mistake or accident or other innocent reason. It is not a defense that [name of defendant] repaid the assistance or services obtained. A paid warrant made to the order of [name of defendant] is sufficient to establish that [name of defendant] received assistance, though this fact may be disproved by competent evidence.





