Last updated: 2/28/2006
18.2. Perjury By Contradictory Statements
Start Your Free Trial $ 13.99What you get:
- Instant access to fillable Microsoft Word or PDF forms.
- Minimize the risk of using outdated forms and eliminate rejected fillings.
- Largest forms database in the USA with more than 80,000 federal, state and agency forms.
- Download, edit, auto-fill multiple forms at once in MS Word using our Forms Workflow Ribbon
- Trusted by 1,000s of Attorneys and Legal Professionals
Description
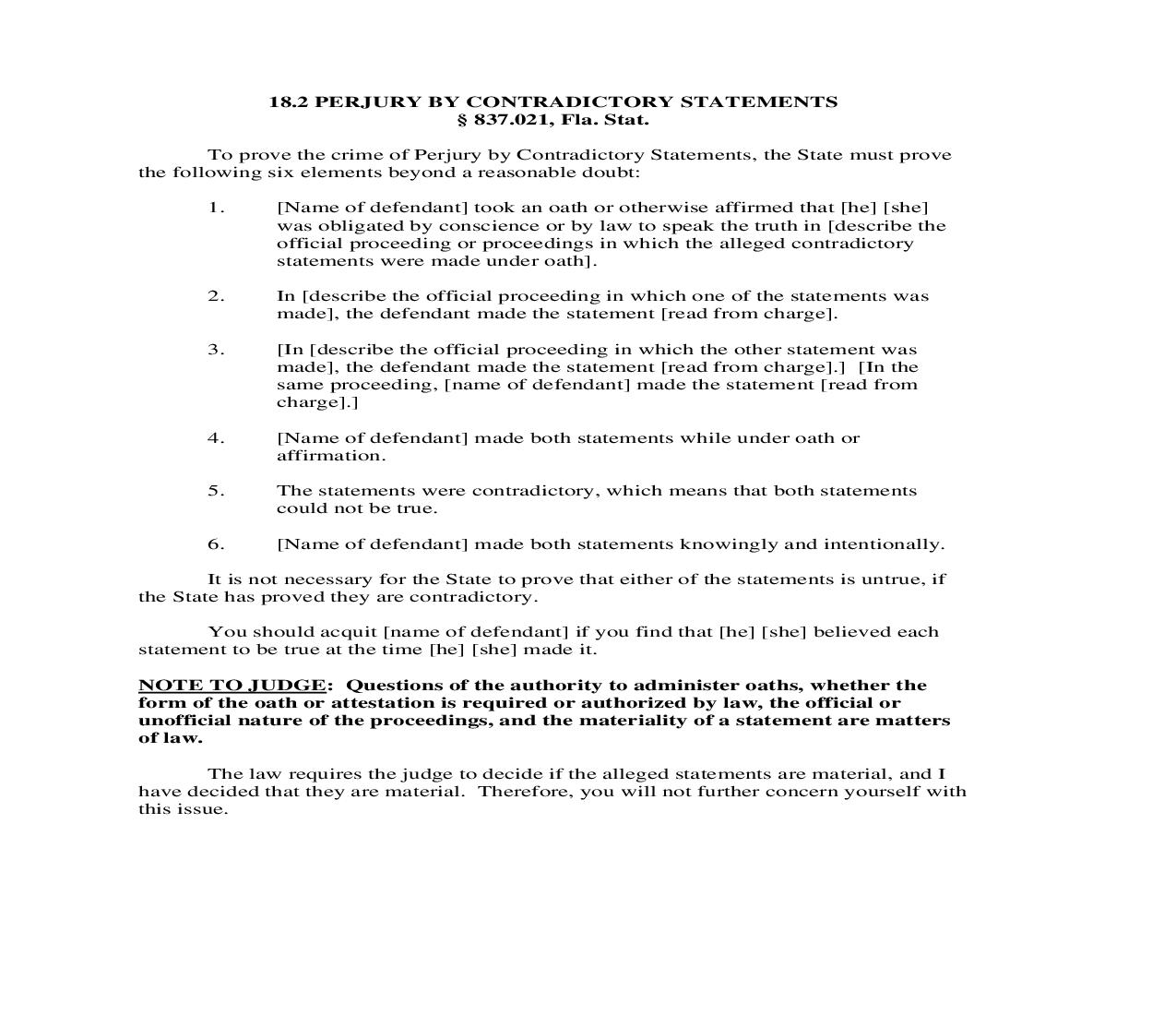
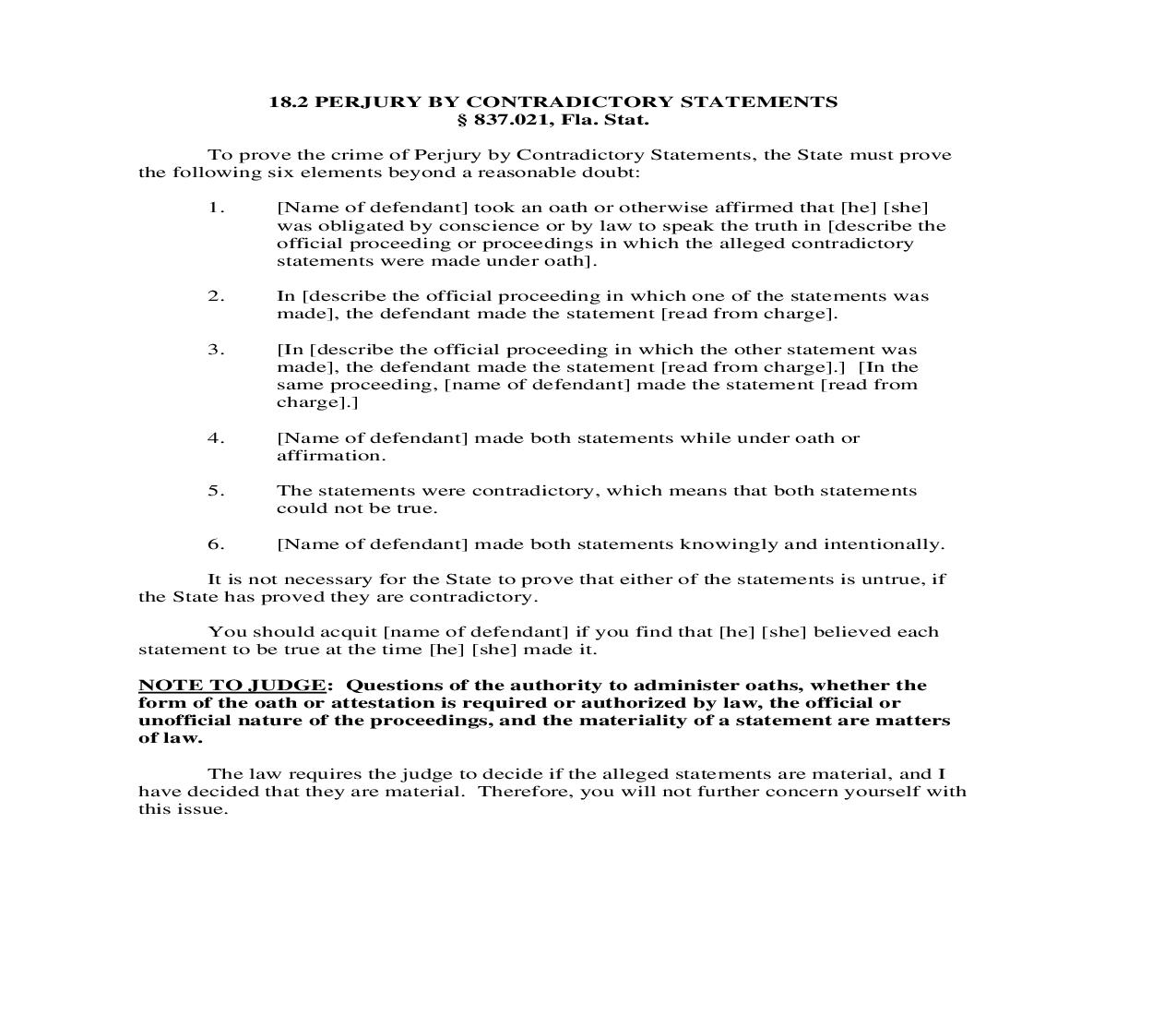
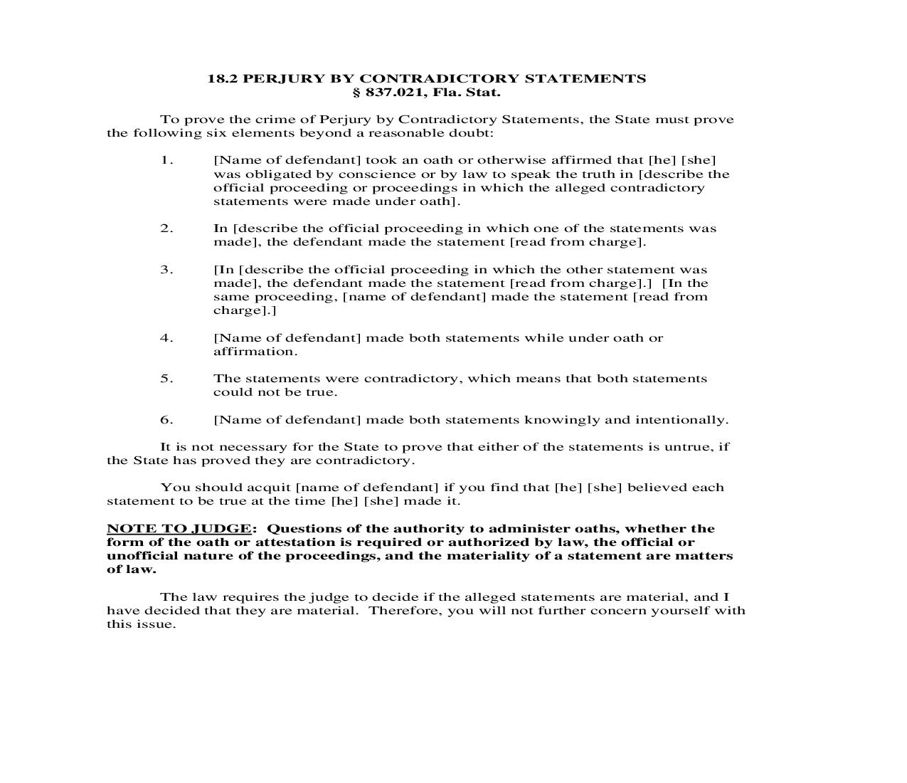
18.2 PERJURY BY CONTRADI CTORY STATEMENTS 837.021, Fla. Stat. To prove the crime of Pedrjury by Contraictory Statements, the State must prove the following six elements beyond a reasonable doubt: 1. [Name of defendant] took an oath or otherwise affirmed that [he] [she] was obligated by conscience or by law to speak the truth in e the official proceeding or proceedings in which the alleged contradictory [describe the . 2. In e the official proceeding in which one of the statements was [describ, the defendant me the official proceedade the stateming in which one of the statement [read from charge]. ents was 3. i ng in which the other statement was e of defendant charge].] 4. [Name of defendant] made both statements while under oath or affirmation. 5. The statements were contradictory, which means that both statements could not be true. 6. [Name of defendant] made both statements knowingly and intentionally. It is not necessary for the State to prove that either of the statements is untrue, if the State has proved they are contradictory. You should acquit [name of defendant] if you find that [he] [she] believed each statement to be true at the tim[he] [she]e made it. NOTE TO JUDGE: Questions of the authority to administer oaths, whether the form of the oath or attestation is required or authorized by law, the official or unofficial nature of the proceedings, and the materiality of a statement are matters of law. The law requires the judge to decide ifthe alleged statem ents are material, and I have decided that they are material. Therefore, you will not further concern yourself with this issue.





