Last updated: 5/2/2006
Notification Regarding Attempted Transmission Of Documents Via Telegraph Teleprinter {PCT-RO-140}
Start Your Free Trial $ 13.99What you get:
- Instant access to fillable Microsoft Word or PDF forms.
- Minimize the risk of using outdated forms and eliminate rejected fillings.
- Largest forms database in the USA with more than 80,000 federal, state and agency forms.
- Download, edit, auto-fill multiple forms at once in MS Word using our Forms Workflow Ribbon
- Trusted by 1,000s of Attorneys and Legal Professionals
Description
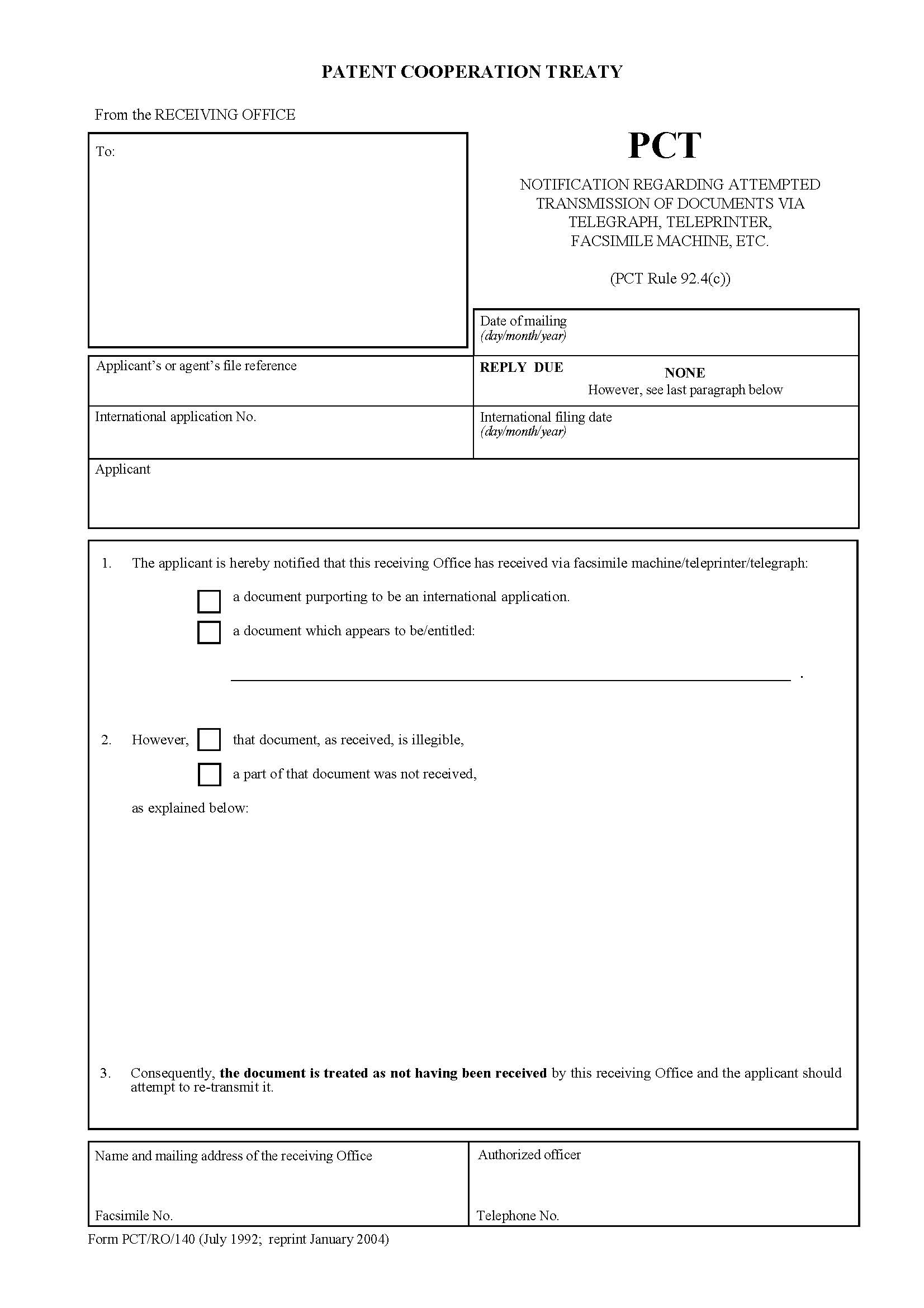
PATENT COOPERATION TREATY From the RECEIVING OFFICE To: PCT NOTIFICATION REGARDING ATTEMPTED TRANSMISSION OF DOCUMENTS VIA TELEGRAPH, TELEPRINTER, FACSIMILE MACHINE, ETC. (PCT Rule 92.4(c)) Date of mailing (day/month/year) Applicants or agents file reference REPLY DUE NONE However, see last paragraph below International application No. International filing date (day/month/year) Applicant 1. The applicant is hereby notified that this receiving Office has received via facsimile machine/teleprinter/telegraph: a document purporting to be an international application. a document which appears to be/entitled: . 2. However, that document, as received, is illegible, a part of that document was not received, as explained below: 3. Consequently, the document is treated as not having been received by this receiving Office and the applicant should attempt to re-transmit it. Name and mailing address of the receiving Office Authorized officer Facsimile No. Telephone No. Form PCT/RO/140 (July 1992; reprint January 2004)
Related forms
-
Invitation To Furnish Translation Of International Application And To Pay Where Applicable
Cooley IP Forms/US Patent Office/PCT/Receiving Office/ -
Communication In Cases For Which No Other Form Is Applicable
Cooley IP Forms/US Patent Office/PCT/Receiving Office/ -
Communication Regarding Extension Of Time Limit
Cooley IP Forms/US Patent Office/PCT/Receiving Office/ -
Communication Regarding The Right To Practice Before The Receiving Office
Cooley IP Forms/US Patent Office/PCT/Receiving Office/ -
Indication Relating To A Deposited Microorganism
Cooley IP Forms/US Patent Office/PCT/Receiving Office/ -
Invitation To Authorize Transmittal Of Purported International Application
Cooley IP Forms/US Patent Office/PCT/Receiving Office/ -
Invitation To Correct Declarations Made In The Request Under PCT Rule 4.17
Cooley IP Forms/US Patent Office/PCT/Receiving Office/ -
Invitation To Correct Defects In The International Application
Cooley IP Forms/US Patent Office/PCT/Receiving Office/ -
Invitation To Correct Priority Claim
Cooley IP Forms/US Patent Office/PCT/Receiving Office/ -
Invitation To Correct The Purported International Application
Cooley IP Forms/US Patent Office/PCT/Receiving Office/ -
Invitation To Furnish Original Of Document Transmitted By Telegraph Teleprinter Facsimile
Cooley IP Forms/US Patent Office/PCT/Receiving Office/ -
Invitation To Furnish Translation Of International Application And To Pay Where Applicable
Cooley IP Forms/US Patent Office/PCT/Receiving Office/ -
Invitation To Indicate Competent International Preliminary Examining Authority
Cooley IP Forms/US Patent Office/PCT/Receiving Office/ -
Invitation To Pay Fee For Preparation Of Copies
Cooley IP Forms/US Patent Office/PCT/Receiving Office/ -
Invitation To Pay Prescribed Fees Together With Late Payment Fee
Cooley IP Forms/US Patent Office/PCT/Receiving Office/ -
Invitation To Request Rectification
Cooley IP Forms/US Patent Office/PCT/Receiving Office/ -
Notification Concerning Documents Transmitted
Cooley IP Forms/US Patent Office/PCT/Receiving Office/ -
Notification Concerning Expressions Ect Not To Be Used In The International Application
Cooley IP Forms/US Patent Office/PCT/Receiving Office/ -
Notification Concerning Failure To Forward Record Copy And Search Copy
Cooley IP Forms/US Patent Office/PCT/Receiving Office/ -
Notification Concerning Later Submitted Sheets Or Drawings
Cooley IP Forms/US Patent Office/PCT/Receiving Office/ -
Notification Concerning Paper Being Disregarded Or Document
Cooley IP Forms/US Patent Office/PCT/Receiving Office/ -
Notification Concerning Payment Of Prescribed Fees
Cooley IP Forms/US Patent Office/PCT/Receiving Office/ -
Notification Concerning Representation
Cooley IP Forms/US Patent Office/PCT/Receiving Office/ -
Notification Of Date Of Receipt Of Priority Document Or Of Priority Application Number
Cooley IP Forms/US Patent Office/PCT/Receiving Office/ -
Notification Of Decision Concerning Request For Rectification
Cooley IP Forms/US Patent Office/PCT/Receiving Office/ -
Notification Of Decision Not To Issue Declaration That International Application Considered
Cooley IP Forms/US Patent Office/PCT/Receiving Office/ -
Notification Of Defective Power Of Attorney Or Defective Revocation Of Power Of Attorney
Cooley IP Forms/US Patent Office/PCT/Receiving Office/ -
Notification Of Defects With Regard To Correspondence Submitted By The Applicant
Cooley IP Forms/US Patent Office/PCT/Receiving Office/ -
Notification Of Intention To Make Declaration That International Application Considered
Cooley IP Forms/US Patent Office/PCT/Receiving Office/ -
Notification Of Non-Inclusion Of Drawings With The International Application
Cooley IP Forms/US Patent Office/PCT/Receiving Office/ -
Notification Of Receipt Of Papers Purporting To Be An International Application
Cooley IP Forms/US Patent Office/PCT/Receiving Office/ -
Notification Of Refund Of Fees
Cooley IP Forms/US Patent Office/PCT/Receiving Office/ -
Notification Of The International Application Number And Of The International Filing Date
Cooley IP Forms/US Patent Office/PCT/Receiving Office/ -
Notification Of Transmittal Of Demand To The International Bureau Or To The Competent
Cooley IP Forms/US Patent Office/PCT/Receiving Office/ -
Notification Of Transmittal Of Purported International Application To The International
Cooley IP Forms/US Patent Office/PCT/Receiving Office/ -
Notification Of Transmittal Of Requested Documents
Cooley IP Forms/US Patent Office/PCT/Receiving Office/ -
Notification Of Withdrawal
Cooley IP Forms/US Patent Office/PCT/Receiving Office/ -
Notification Regarding Attempted Transmission Of Documents Via Telegraph Teleprinter
Cooley IP Forms/US Patent Office/PCT/Receiving Office/ -
Notification Regarding Certain Corrections Made Ex Officio
Cooley IP Forms/US Patent Office/PCT/Receiving Office/ -
Notification Regarding Receipt Of Documents Via Telegraph Teleprinter Facsimile Machine
Cooley IP Forms/US Patent Office/PCT/Receiving Office/ -
Notification Relating To Priority Claim
Cooley IP Forms/US Patent Office/PCT/Receiving Office/ -
Notification Relating To Requested Documents
Cooley IP Forms/US Patent Office/PCT/Receiving Office/ -
Notification That Demand Considered Not To Have Been Submitted
Cooley IP Forms/US Patent Office/PCT/Receiving Office/ -
Notification That International Application Considered To Be Withdrawn
Cooley IP Forms/US Patent Office/PCT/Receiving Office/ -
Notification That International Application Considered To Be Withdrawn
Cooley IP Forms/US Patent Office/PCT/Receiving Office/ -
Notification That The Purported International Application Is Not And Will Not Be Treated
Cooley IP Forms/US Patent Office/PCT/Receiving Office/ -
Request For The Recording Of A Change
Cooley IP Forms/US Patent Office/PCT/Receiving Office/ -
PCT Request
Cooley IP Forms/US Patent Office/PCT/Receiving Office/ -
Notification Of Decision On Request To Restore Right Of Priority
Cooley IP Forms/US Patent Office/PCT/Receiving Office/ -
Notification Of Intended Refusal Of Request To Restore Right
Cooley IP Forms/US Patent Office/PCT/Receiving Office/ -
Notification On Decision Of Confirmation Of Incorporation By Reference
Cooley IP Forms/US Patent Office/PCT/Receiving Office/ -
Additional Continuation Sheets (For 6 Or More Applicants And-Or Inventors)
Cooley IP Forms/US Patent Office/PCT/Receiving Office/ -
Invitation To Request Omission Of Information From International Publication
Cooley IP Forms/US Patent Office/PCT/Receiving Office/
Form Preview
Contact Us
Success: Your message was sent.
Thank you!




