Last updated: 5/2/2006
Notifcation By Non-Competent International Preliminary Examining Authority {PCT-IPEA-444}
Start Your Free Trial $ 13.99What you get:
- Instant access to fillable Microsoft Word or PDF forms.
- Minimize the risk of using outdated forms and eliminate rejected fillings.
- Largest forms database in the USA with more than 80,000 federal, state and agency forms.
- Download, edit, auto-fill multiple forms at once in MS Word using our Forms Workflow Ribbon
- Trusted by 1,000s of Attorneys and Legal Professionals
Description
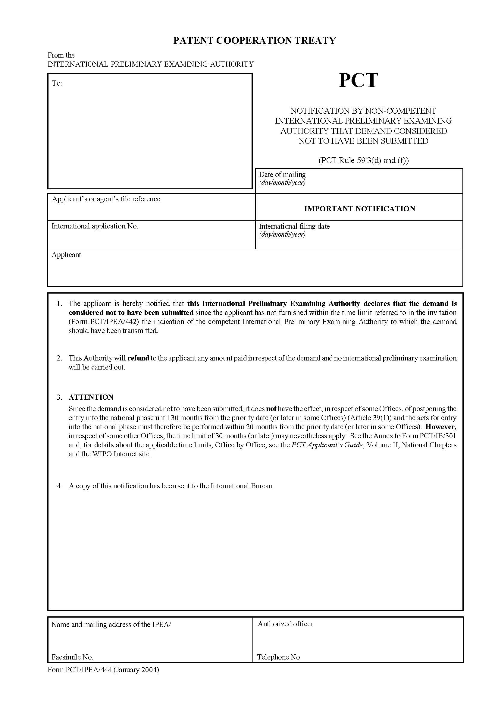
PATENT COOPERATION TREATY From the INTERNATIONAL PRELIMINARY EXAMINING AUTHORITY To: PCT NOTIFICATION BY NON-COMPETENT INTERNATIONAL PRELIMINARY EXAMINING AUTHORITY THAT DEMAND CONSIDERED NOT TO HAVE BEEN SUBMITTED (PCT Rule 59.3(d) and (f)) Date of mailing (day/month/year) Applicants or agents file reference IMPORTANT NOTIFICATION International application No. International filing date (day/month/year) Applicant 1. The applicant is hereby notified that this International Preliminary Examining Authority declares that the demand is considered not to have been submitted since the applicant has not furnished within the time limit referred to in the invitation (Form PCT/IPEA/442) the indication of the competent International Preliminary Examining Authority to which the demand should have been transmitted. 2. This Authority will refund to the applicant any amount paid in respect of the demand and no international preliminary examination will be carried out. 3. ATTENTION Since the demand is considered not to have been submitted, it does not have the effect, in respect of some Offices, of postponing the entry into the national phase until 30 months from the priority date (or later in some Offices) (Article 39(1)) and the acts for entry into the national phase must therefore be performed within 20 months from the priority date (or later in some Offices). However, in respect of some other Offices, the time limit of 30 months (or later) may nevertheless apply. See the Annex to Form PCT/IB/301 and, for details about the applicable time limits, Office by Office, see the PCT Applicants Guide, Volume II, National Chapters and the WIPO Internet site. 4. A copy of this notification has been sent to the International Bureau. Name and mailing address of the IPEA/ Authorized officer Facsimile No. Telephone No. Form PCT/IPEA/444 (January 2004)
Related forms
-
International Preliminary Report On Patentability
Cooley IP Forms/US Patent Office/PCT/International Preliminary Examining Authority/ -
Invitation To Furnish Nucleotide And-Or Amino Acid Sequence Listing And-Or Tables
Cooley IP Forms/US Patent Office/PCT/International Preliminary Examining Authority/ -
Invitation To Furnish Translation For The Purposes Of International Preliminary
Cooley IP Forms/US Patent Office/PCT/International Preliminary Examining Authority/ -
Invitation To Restrict Or Pay Additional Fees
Cooley IP Forms/US Patent Office/PCT/International Preliminary Examining Authority/ -
Notification Of Decision On Protest
Cooley IP Forms/US Patent Office/PCT/International Preliminary Examining Authority/ -
Written Opinion Of The International Preliminary Examination Authority
Cooley IP Forms/US Patent Office/PCT/International Preliminary Examining Authority/ -
Communication In Cases For Which No Other Form Is Applicable
Cooley IP Forms/US Patent Office/PCT/International Preliminary Examining Authority/ -
Communication Regarding Amendments Not Taken Into Account
Cooley IP Forms/US Patent Office/PCT/International Preliminary Examining Authority/ -
Communication Regarding Extension Of Time Limit
Cooley IP Forms/US Patent Office/PCT/International Preliminary Examining Authority/ -
Invitation To Correct Defects In Correspondence Submitted By The Applicant
Cooley IP Forms/US Patent Office/PCT/International Preliminary Examining Authority/ -
Invitation To Correct Defects In The Demand
Cooley IP Forms/US Patent Office/PCT/International Preliminary Examining Authority/ -
Invitation To Furnish Translation Of Priority Document
Cooley IP Forms/US Patent Office/PCT/International Preliminary Examining Authority/ -
Invitation To Pay For Requested Copies Of Cited Documents
Cooley IP Forms/US Patent Office/PCT/International Preliminary Examining Authority/ -
Invitation To Pay For Requested Copies Of Documents In The File
Cooley IP Forms/US Patent Office/PCT/International Preliminary Examining Authority/ -
Invitation To Pay Prescribed Fees Together With Late Payment Fee
Cooley IP Forms/US Patent Office/PCT/International Preliminary Examining Authority/ -
Invitation To Request Rectification
Cooley IP Forms/US Patent Office/PCT/International Preliminary Examining Authority/ -
Invitation To Submit Amendments
Cooley IP Forms/US Patent Office/PCT/International Preliminary Examining Authority/ -
Note On Informal Communication With The Applicant
Cooley IP Forms/US Patent Office/PCT/International Preliminary Examining Authority/ -
Notifcation By Non-Competent International Preliminary Examining Authority
Cooley IP Forms/US Patent Office/PCT/International Preliminary Examining Authority/ -
Notification Concerning Documents Transmitted
Cooley IP Forms/US Patent Office/PCT/International Preliminary Examining Authority/ -
Notification Concerning Informal Communication With The Applicant
Cooley IP Forms/US Patent Office/PCT/International Preliminary Examining Authority/ -
Notification Of Cancellation Of Certain Elections
Cooley IP Forms/US Patent Office/PCT/International Preliminary Examining Authority/ -
Notification Of Decision Concerning Request For Rectification
Cooley IP Forms/US Patent Office/PCT/International Preliminary Examining Authority/ -
Notification Of Transmittal Of Demand To The International Bureau
Cooley IP Forms/US Patent Office/PCT/International Preliminary Examining Authority/ -
Notification Of Transmittal Of Requested Copies Of Cited Documents
Cooley IP Forms/US Patent Office/PCT/International Preliminary Examining Authority/ -
Notification Of Transmittal Of Requested Copies Of Documents In File
Cooley IP Forms/US Patent Office/PCT/International Preliminary Examining Authority/ -
Notification Regarding Attempted Transmission Of Documents Via Telegraph
Cooley IP Forms/US Patent Office/PCT/International Preliminary Examining Authority/ -
Notification That Demand Considered Not To Have Been Submitted
Cooley IP Forms/US Patent Office/PCT/International Preliminary Examining Authority/ -
Request For Information As To Right To Practice
Cooley IP Forms/US Patent Office/PCT/International Preliminary Examining Authority/ -
PCT Demand
Cooley IP Forms/US Patent Office/PCT/International Preliminary Examining Authority/ -
Invitation To Furnish Orginal Of Document Transmitted By Telegraph Teleprinter Facsimile Machine
Cooley IP Forms/US Patent Office/PCT/International Preliminary Examining Authority/ -
Invitation To Indicate Competent International Preliminary Examing Authority
Cooley IP Forms/US Patent Office/PCT/International Preliminary Examining Authority/ -
Notification Concerning Payment Of The Preliminary Examination And Handling Fees
Cooley IP Forms/US Patent Office/PCT/International Preliminary Examining Authority/ -
Notification Of Receipt Of Demand By Competent International Preliminary Examining Authority
Cooley IP Forms/US Patent Office/PCT/International Preliminary Examining Authority/ -
Notification Of Transmittal Of International Preliminary Report On Patentability
Cooley IP Forms/US Patent Office/PCT/International Preliminary Examining Authority/ -
Notification Regarding Receipt Of Documents Via Telegraph Teleprinter Facsimile Machine
Cooley IP Forms/US Patent Office/PCT/International Preliminary Examining Authority/ -
Notification Concerning Paper Being Disregarded
Cooley IP Forms/US Patent Office/PCT/International Preliminary Examining Authority/ -
PCT Demand (Continuation Sheets)
Cooley IP Forms/US Patent Office/PCT/International Preliminary Examining Authority/
Form Preview
Contact Us
Success: Your message was sent.
Thank you!




