Last updated: 5/27/2025
Appointment Of A Campaign Treasurer By A Candidate {CTA}
Start Your Free Trial $ 13.99What you get:
- Instant access to fillable Microsoft Word or PDF forms.
- Minimize the risk of using outdated forms and eliminate rejected fillings.
- Largest forms database in the USA with more than 80,000 federal, state and agency forms.
- Download, edit, auto-fill multiple forms at once in MS Word using our Forms Workflow Ribbon
- Trusted by 1,000s of Attorneys and Legal Professionals
Description
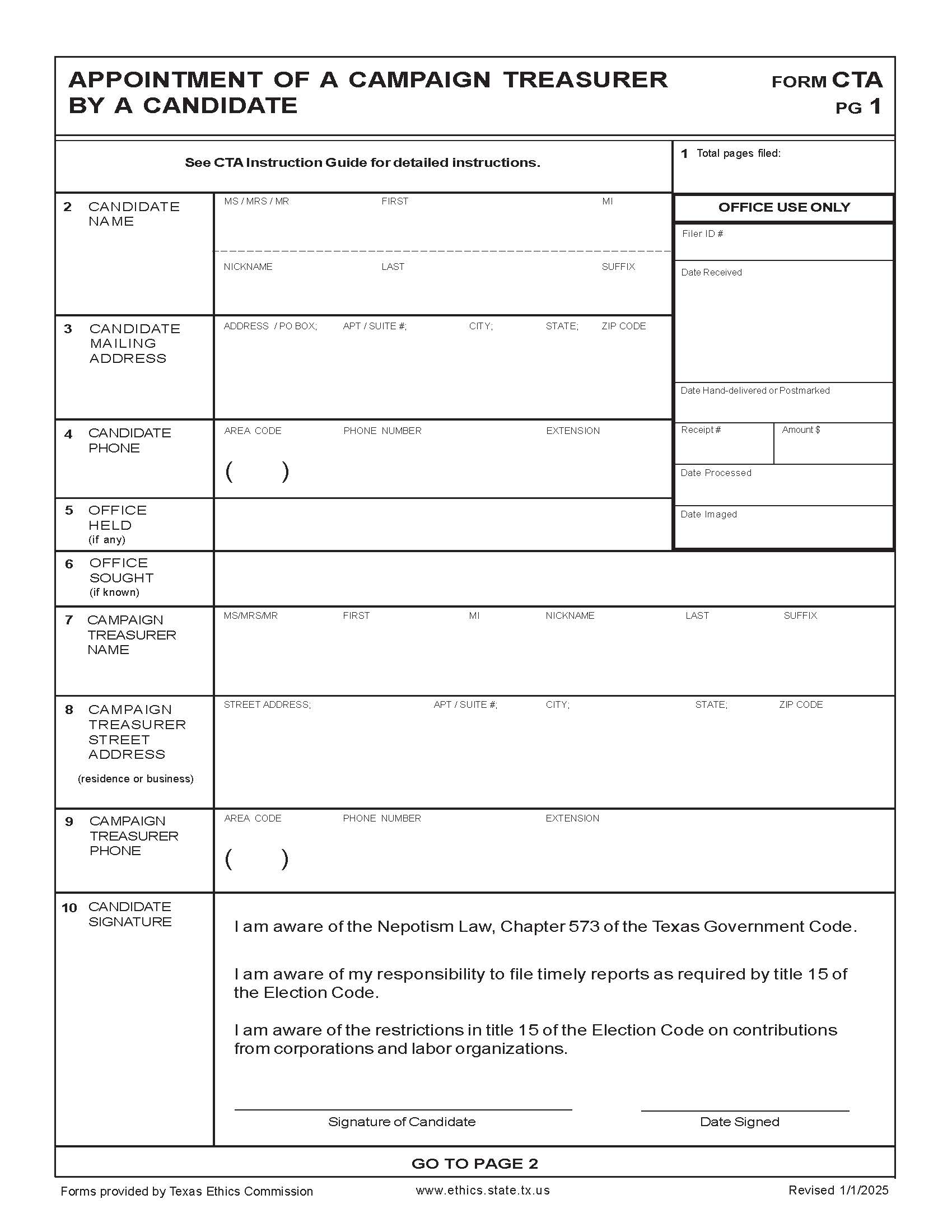
FORM CTA - APPOINTMENT OF A CAMPAIGN TREASURER BY A CANDIDATE. This form is used by candidates to appoint a campaign treasurer and to provide the necessary contact information for both the candidate and the campaign treasurer. It also includes a declaration for candidates who opt for modified reporting, which applies if the candidate does not intend to accept or spend more than $1,080 in political contributions or expenditures during the election cycle. The form must be filed with the appropriate filing authority and is used to ensure that the candidate complies with reporting requirements set by the Texas Election Code. www.FormsWorkflow.com
Related forms
-
Confidential Social Security Information
Texas/Statewide/Ethics Commission/ -
Corrected Form LA And Good-Faith Affidavit
Texas/Statewide/Ethics Commission/ -
Corrected Form REG-AREG and Good Faith Affidavit
Texas/Statewide/Ethics Commission/ -
Affidavit To Cease Dual Reporting Obligations
Texas/Statewide/Ethics Commission/ -
Correction Affidavit For Legislative Caucus
Texas/Statewide/Ethics Commission/ -
Governor For A Day Report
Texas/Statewide/Ethics Commission/ -
Political Committee Special Pre-Election Report Of Contributions
Texas/Statewide/Ethics Commission/ -
Lobby Termination Notice
Texas/Statewide/Ethics Commission/ -
Notice Filed By Legislator Concerning Relative Who Is A Lobbyist
Texas/Statewide/Ethics Commission/ -
Notice Filed By Lobbyist Related To Legislator
Texas/Statewide/Ethics Commission/ -
Correction Affidavit For Political Party Report Regarding Funds From Corporationpty
Texas/Statewide/Ethics Commission/ -
Declaration Of Speaker Candidacy
Texas/Statewide/Ethics Commission/ -
Former Candidate For Speaker
Texas/Statewide/Ethics Commission/ -
Appointment Of A Campaign Treasurer By A General-Purpose Committee
Texas/Statewide/Ethics Commission/ -
Amendment-Appointment Of A Campaign Treasurer By A General-Purpose Committee
Texas/Statewide/Ethics Commission/ -
Local Government Officer Conflicts Disclosure Statement
Texas/Statewide/Ethics Commission/ -
Code Of Fair Campaign Practices
Texas/Statewide/Ethics Commission/ -
Conflict Of Interest Questionaire
Texas/Statewide/Ethics Commission/ -
Legislavtive Caucus
Texas/Statewide/Ethics Commission/ -
Conflict Of Interest Statement Filed With Texas Ethics Commission By Lobbyist
Texas/Statewide/Ethics Commission/ -
Transfer Of Appointment
Texas/Statewide/Ethics Commission/ -
Conflict Of Interest Notice To Client By Lobbyist
Texas/Statewide/Ethics Commission/ -
Correction Amendment Affidavit For Political Committee
Texas/Statewide/Ethics Commission/ -
Affidavit For Lobbyist-Electronic Filing Exemption
Texas/Statewide/Ethics Commission/ -
Sworn Complaint
Texas/Statewide/Ethics Commission/ -
Speakers Reunion Day Report
Texas/Statewide/Ethics Commission/ -
Appointment Of A Campaign Treasurer By A Candidate
Texas/Statewide/Ethics Commission/ -
Amendment - Appointment Of A Campaign Treasurer By A Candidate
Texas/Statewide/Ethics Commission/ -
General-Purpose Committee Campaign Finance Report
Texas/Statewide/Ethics Commission/ -
Judicial Specific-Purpose Committee Campaign Finance Report
Texas/Statewide/Ethics Commission/ -
Lobby Activities Report
Texas/Statewide/Ethics Commission/ -
Correction AmendmentAffidavit For Candidate-Officeholder
Texas/Statewide/Ethics Commission/ -
Candidate-Officeholder Campaign Finance Report
Texas/Statewide/Ethics Commission/ -
Appointment Of A Campaign Treasurer By A Judicial Candidate
Texas/Statewide/Ethics Commission/ -
Appointment Of A Campaign Treasurer By A Specific-Purpose Committee
Texas/Statewide/Ethics Commission/ -
Specific-Purpose Committee Special Session Report
Texas/Statewide/Ethics Commission/ -
Texas Ethics Commissoin Statement Of Defense
Texas/Statewide/Ethics Commission/ -
State-County Chair Specific-Purpose Committee Campaign Finance Report
Texas/Statewide/Ethics Commission/ -
Candidate-Officeholder Report Of Unexpended Contributions
Texas/Statewide/Ethics Commission/ -
Amendment Appointment Of A Campaign Treasurer By A Candidate
Texas/Statewide/Ethics Commission/ -
Amendment-Appointment Of A Campaign Treasurer By A Specific-Purpose Committee
Texas/Statewide/Ethics Commission/ -
Monthly Filing General-Purpose Committee Campaign Finance Report
Texas/Statewide/Ethics Commission/ -
Affidavit For Candidate Or Officeholder-Electronic Filing Exemption
Texas/Statewide/Ethics Commission/ -
State-County Chair Campaign Finance Report
Texas/Statewide/Ethics Commission/ -
Candidate-Officeholder Special Session Report
Texas/Statewide/Ethics Commission/ -
Judicial Candidate-Officeholder Campaign Finance Report
Texas/Statewide/Ethics Commission/ -
Specific-Purpose Committee Campaign Finance Report
Texas/Statewide/Ethics Commission/ -
Political Party Report Regarding Funds From Corporations And Labor Organizations
Texas/Statewide/Ethics Commission/ -
Affidavit For Committee-Electronic Filing Exemption
Texas/Statewide/Ethics Commission/
Form Preview
Contact Us
Success: Your message was sent.
Thank you!




