Last updated: 4/16/2025
Debtors Motion For Entry Of Hardship Discharge And Statement Regarding Bankruptcy Rule 1007(b)(8)
Start Your Free Trial $ 13.99What you get:
- Instant access to fillable Microsoft Word or PDF forms.
- Minimize the risk of using outdated forms and eliminate rejected fillings.
- Largest forms database in the USA with more than 80,000 federal, state and agency forms.
- Download, edit, auto-fill multiple forms at once in MS Word using our Forms Workflow Ribbon
- Trusted by 1,000s of Attorneys and Legal Professionals
Description
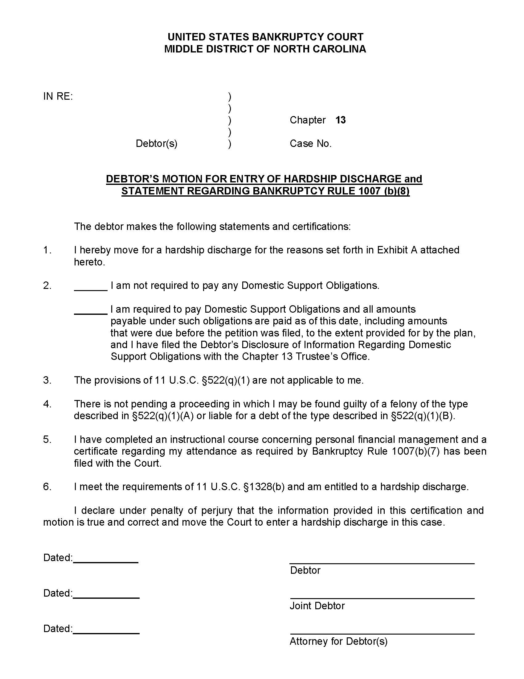
DEBTOR’S MOTION FOR ENTRY OF HARDSHIP DISCHARGE and STATEMENT REGARDING BANKRUPTCY RULE 1007 (b)(8). This form is used in Chapter 13 bankruptcy cases filed in the United States Bankruptcy Court for the Middle District of North Carolina. This form is submitted by a debtor who is unable to complete their Chapter 13 repayment plan due to circumstances beyond their control—such as serious illness, job loss, or other significant financial hardship—and is requesting the court to grant a hardship discharge under 11 U.S.C. §1328(b). The debtor must certify that they have met all legal requirements for such a discharge, including payment of any domestic support obligations, that they are not subject to certain felony or civil liability proceedings, and that they have completed a mandatory personal financial management course. The motion also includes a certification of service, confirming that all relevant parties, including the Chapter 13 Trustee and creditors, have been notified. www.FormsWorkflow.com
Related forms
-
Election To Opt Out Of Presumptive Base Fee
North Carolina/Federal/USBC Middle/ -
Case Management Electronic Case Filer Registration Form
North Carolina/Federal/USBC Middle/ -
Debtors Motion To Avoid Security Interest Of
North Carolina/Federal/USBC Middle/ -
Debtors Disclosure Of Information Regarding Domestic Support Obligations
North Carolina/Federal/USBC Middle/ -
Certification Of Exigent Circumstances
North Carolina/Federal/USBC Middle/ -
Notice Of Intent To Request Redaction Of Transcript
North Carolina/Federal/USBC Middle/ -
Motion For Exemption From Credit Counseling
North Carolina/Federal/USBC Middle/ -
Joint Scheduling Memorandum (Adversary)
North Carolina/3 Federal/USBC Middle/ -
Scheduling Memorandum (Adversary)
North Carolina/3 Federal/USBC Middle/ -
Order Extending Time (Adversary)
North Carolina/3 Federal/USBC Middle/ -
Default Judgment
North Carolina/3 Federal/USBC Middle/ -
Memorandum To Debtor Regardig Designated Depository
North Carolina/3 Federal/USBC Middle/ -
Motion For Loan Modification Management Pre Confirmation
North Carolina/3 Federal/USBC Middle/ -
Certification Of LMM Eligibility And Readiness
North Carolina/3 Federal/USBC Middle/ -
Contract For LMM Representation
North Carolina/3 Federal/USBC Middle/ -
Order For Loan Modification Management Pre Confirmation
North Carolina/3 Federal/USBC Middle/ -
Order For Loan Modification Management Post Confirmation And Plan Modification
North Carolina/3 Federal/USBC Middle/ -
Motion To Terminate Loan Modification Management Program
North Carolina/3 Federal/USBC Middle/ -
Notice Of Termination Of Loan Modification Management Program Due To Dismissal Of Case
North Carolina/3 Federal/USBC Middle/ -
Certificate Of Non Compliance In Loan Modification Management Program
North Carolina/3 Federal/USBC Middle/ -
Motion To Extend Loan Modification Management Period
North Carolina/3 Federal/USBC Middle/ -
Order Extending Loan Modification Management Peroiod
North Carolina/3 Federal/USBC Middle/ -
Notice Of Substitution Of Creditor In Loan Modification Management Program
North Carolina/3 Federal/USBC Middle/ -
Motion To Approve Trial Loan Modification Agreement
North Carolina/3 Federal/USBC Middle/ -
Motion For Loan Modification Management Post Confirmation And Plan Modification
North Carolina/3 Federal/USBC Middle/ -
Order Approving Trial Loan Modification Agreement
North Carolina/3 Federal/USBC Middle/ -
Motion To Approve Final Loan Modification Agreement
North Carolina/3 Federal/USBC Middle/ -
Final Loan Modification Summary
North Carolina/3 Federal/USBC Middle/ -
Order Approving Final Loan Modification Agreement
North Carolina/3 Federal/USBC Middle/ -
Debtors Motion For Entry Of Discharge (Section 1328(i))
North Carolina/3 Federal/USBC Middle/ -
Conversion From Chapter 13 To Chapter 7 Forms And Information
North Carolina/Federal/USBC Middle/ -
Entry Of Default
North Carolina/Federal/USBC Middle/ -
Status Conference Report
North Carolina/3 Federal/USBC Middle/ -
Chapter 11 Quarterly Fee Statement
North Carolina/Federal/USBC Middle/ -
Notice Of Objection To Claim
North Carolina/Federal/USBC Middle/ -
Notice Of Objection To Mortgage Claim
North Carolina/Federal/USBC Middle/ -
Request For Temporary Waiver Of Credit Counseling Requirement
North Carolina/Federal/USBC Middle/ -
Application For Base Fee (Chapter 13)
North Carolina/Federal/USBC Middle/ -
Order For Relief From The Automatic Stay (Real Property)
North Carolina/Federal/USBC Middle/ -
Order For Relief From The Automatic Stay (Personal Property)
North Carolina/Federal/USBC Middle/ -
Order Terminating Loan Modification Management Program
North Carolina/3 Federal/USBC Middle/ -
Motion To Approve Sale Of Debtors Residence And Brokers Commission
North Carolina/3 Federal/USBC Middle/ -
Order Allowing Substitution Of Collateral And Attorney Fees (Hearing Held)
North Carolina/3 Federal/USBC Middle/ -
Order Allowing Substitution Of Collateral And Attorney Fees (No Hearing Held)
North Carolina/3 Federal/USBC Middle/ -
Motion To Avoid Security Interest
North Carolina/Federal/USBC Middle/ -
Order Avoiding The Security Interest Of
North Carolina/Federal/USBC Middle/ -
Scheduling Order (Adversary)
North Carolina/3 Federal/USBC Middle/ -
Motion For Order Declaring Secured Claim Has Been Satisfied
North Carolina/3 Federal/USBC Middle/ -
Order Declaring Secured Claim Has Been Satisfied And Real Property Released
North Carolina/3 Federal/USBC Middle/ -
USB Drive (Court Proceedings) Request Form
North Carolina/Federal/USBC Middle/ -
Motion To Avoid Judicial Lien
North Carolina/Federal/USBC Middle/ -
Order Avoiding Judicial Lien
North Carolina/Federal/USBC Middle/ -
Order For Relief From The Automatic Stay
North Carolina/Federal/USBC Middle/ -
Notice Of Case Specific Address
North Carolina/Federal/USBC Middle/ -
Debtors Motion For Entry Of Hardship Discharge And Statement Regarding Bankruptcy Rule 1007(b)(8)
North Carolina/Federal/USBC Middle/ -
Verification Of List Required By Rule 1007(a)
North Carolina/Federal/USBC Middle/ -
Electronic Device Request And Acknowledgment Form
North Carolina/Federal/USBC Middle/ -
Order Granting Relief From The Automatic Stay (No Hearing Ch 7)
North Carolina/Federal/USBC Middle/ -
Schedule Of Additional Creditors
North Carolina/Federal/USBC Middle/ -
Debtors Motion For Entry Of Discharge (Completed Plan)
North Carolina/3 Federal/USBC Middle/ -
Chapter 13 Plan
North Carolina/Federal/USBC Middle/ -
Debtors Claim For Property Exemptions
North Carolina/Federal/USBC Middle/
Form Preview
Contact Us
Success: Your message was sent.
Thank you!




